Номер 86, страница 31 - гдз по алгебре 9 класс учебник Солтан, Солтан

Авторы: Солтан Г. Н., Солтан А. Е., Жумадилова А. Ж.
Тип: Учебник
Издательство: Кокшетау
Год издания: 2019 - 2025
Цвет обложки:
ISBN: 978-601-317-424-2
Рекомендовано Министерством образования и науки Республики Казахстан
Популярные ГДЗ в 9 классе
2. Системы нелинейных уравнений с двумя переменными. I. Уравнения, неравенства с двумя переменными и их системы - номер 86, страница 31.
№86 (с. 31)
Условие. №86 (с. 31)
скриншот условия

86. Являются ли равносильными системы уравнений:
a) $\begin{cases} 3x - 2y = 0, \\ 4x^2 + 3y = 9 \end{cases}$ и $\begin{cases} 3xy = 2y^2, \\ 4x^2 + 3y = 9 \end{cases}$;
б) $\begin{cases} x^2 + y^2 = 10, \\ xy = 3 \end{cases}$ и $\begin{cases} (x + y)^2 = 16, \\ xy = 3 \end{cases}$;
в) $\begin{cases} x^2 + y^2 = 5, \\ xy = 2 \end{cases}$ и $\begin{cases} (x - y)^2 = 1, \\ xy = 2 \end{cases}$;
г) $\begin{cases} 5xy = 4x - 1, \\ 2x - y = 3 \end{cases}$ и $\begin{cases} 5xy = 4x - 1, \\ (y - 2x)^2 = 9 \end{cases}$?
Решение. №86 (с. 31)




Решение 2 (rus). №86 (с. 31)
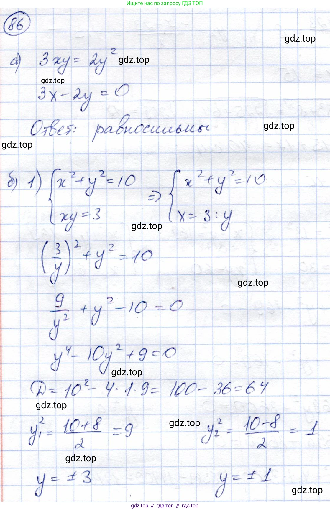
а) Две системы уравнений называются равносильными, если множества их решений совпадают. Рассмотрим две заданные системы: $ \begin{cases} 3x - 2y = 0 \\ 4x^2 + 3y = 9 \end{cases} $ и $ \begin{cases} 3xy = 2y^2 \\ 4x^2 + 3y = 9 \end{cases} $. Вторые уравнения в обеих системах одинаковы, поэтому равносильность систем зависит от равносильности их первых уравнений. Первое уравнение второй системы $3xy = 2y^2$ можно преобразовать к виду $y(3x - 2y) = 0$. Это уравнение равносильно совокупности двух уравнений: $y=0$ или $3x - 2y = 0$. Первое уравнение первой системы — это только $3x - 2y = 0$. Следовательно, множество решений второй системы является объединением решений первой системы и системы $ \begin{cases} y = 0 \\ 4x^2 + 3y = 9 \end{cases} $. Решим последнюю систему: подставив $y=0$ во второе уравнение, получаем $4x^2 = 9$, откуда $x = \pm 3/2$. Таким образом, вторая система имеет решения $(3/2, 0)$ и $(-3/2, 0)$. Проверим, удовлетворяют ли эти решения первому уравнению первой системы $3x - 2y = 0$. Для $(3/2, 0)$ имеем $3(3/2) - 2(0) = 9/2 \neq 0$. Для $(-3/2, 0)$ имеем $3(-3/2) - 2(0) = -9/2 \neq 0$. Эти решения не принадлежат множеству решений первой системы. Значит, системы не равносильны. Ответ: нет.
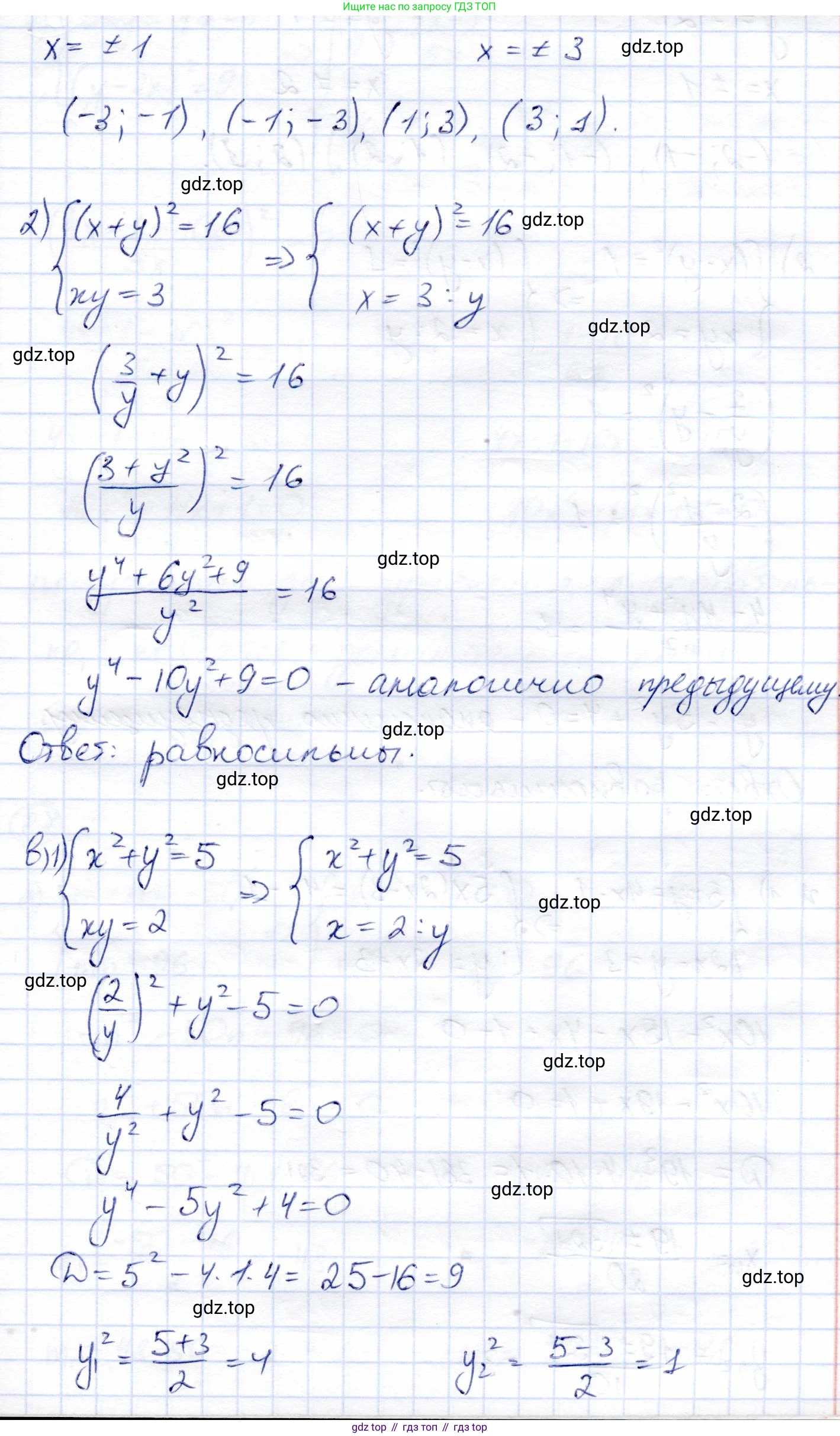
б) Рассмотрим системы: $ \begin{cases} x^2 + y^2 = 10 \\ xy = 3 \end{cases} $ и $ \begin{cases} (x+y)^2 = 16 \\ xy = 3 \end{cases} $. Вторые уравнения систем совпадают. Преобразуем первое уравнение второй системы: $(x+y)^2 = 16 \Rightarrow x^2 + 2xy + y^2 = 16$. Используя второе уравнение $xy=3$, получим $x^2 + 2(3) + y^2 = 16$, что упрощается до $x^2 + y^2 = 10$. Это в точности первое уравнение первой системы. Обратно, из уравнений первой системы $x^2 + y^2 = 10$ и $xy=3$ следует, что $(x+y)^2 = x^2 + y^2 + 2xy = 10 + 2(3) = 16$. Это первое уравнение второй системы. Так как любое решение одной системы является решением другой, и наоборот, множества их решений совпадают. Системы равносильны. Ответ: да.
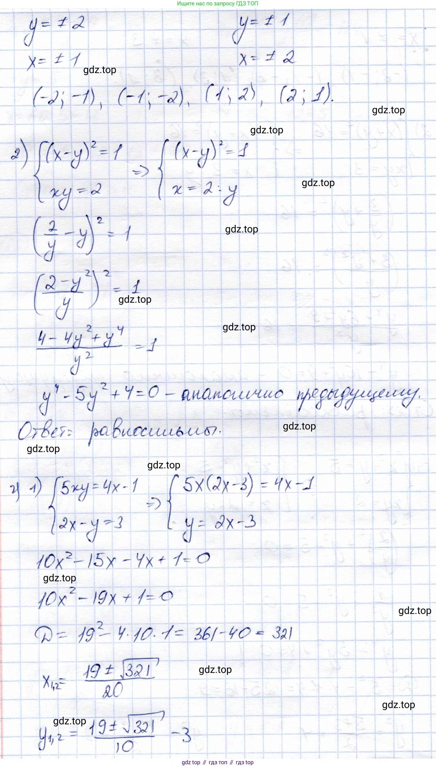
в) Рассмотрим системы: $ \begin{cases} x^2 + y^2 = 5 \\ xy = 2 \end{cases} $ и $ \begin{cases} (x-y)^2 = 1 \\ xy = 2 \end{cases} $. Вторые уравнения совпадают. Преобразуем первое уравнение второй системы: $(x-y)^2 = 1 \Rightarrow x^2 - 2xy + y^2 = 1$. С учётом второго уравнения $xy=2$, получаем $x^2 - 2(2) + y^2 = 1$, что равносильно $x^2 + y^2 = 5$. Это первое уравнение первой системы. Обратно, из уравнений первой системы $x^2 + y^2 = 5$ и $xy=2$ следует, что $(x-y)^2 = x^2 + y^2 - 2xy = 5 - 2(2) = 1$. Это первое уравнение второй системы. Множества решений систем совпадают, следовательно, они равносильны. Ответ: да.
г) Рассмотрим системы: $ \begin{cases} 5xy = 4x - 1 \\ 2x - y = 3 \end{cases} $ и $ \begin{cases} 5xy = 4x - 1 \\ (y - 2x)^2 = 9 \end{cases} $. Первые уравнения совпадают. Сравним вторые уравнения. Второе уравнение второй системы $(y - 2x)^2 = 9$ равносильно $(2x-y)^2 = 9$, что распадается на два случая: $2x-y=3$ или $2x-y=-3$. Второе уравнение первой системы — это только $2x-y=3$. Таким образом, вторая система равносильна совокупности первой системы и системы $ \begin{cases} 5xy = 4x - 1 \\ 2x - y = -3 \end{cases} $. Чтобы исходные системы были равносильны, у последней системы не должно быть решений. Проверим это. Из $2x - y = -3$ выразим $y = 2x+3$. Подставим в первое уравнение: $5x(2x+3) = 4x-1 \Rightarrow 10x^2+15x = 4x-1 \Rightarrow 10x^2+11x+1=0$. Дискриминант этого уравнения $D = 11^2 - 4(10)(1) = 121 - 40 = 81 > 0$. Так как дискриминант положителен, существуют два действительных решения. Эти решения удовлетворяют второй системе, но не первой. Следовательно, системы не равносильны. Ответ: нет.
Другие задания:
Помогло решение? Оставьте отзыв в комментариях ниже.
Присоединяйтесь к Телеграм-группе @top_gdz
ПрисоединитьсяМы подготовили для вас ответ c подробным объяснением домашего задания по алгебре за 9 класс, для упражнения номер 86 расположенного на странице 31 к учебнику 2019 года издания для учащихся школ и гимназий.
Теперь на нашем сайте ГДЗ.ТОП вы всегда легко и бесплатно найдёте условие с правильным ответом на вопрос «Как решить ДЗ» и «Как сделать» задание по алгебре к упражнению №86 (с. 31), авторов: Солтан (Генадий Николаевич), Солтан (Алла Евгеньевна), Жумадилова (Аманбала Жумадиловна), учебного пособия издательства Кокшетау.