Номер 98, страница 33 - гдз по алгебре 9 класс учебник Солтан, Солтан

Авторы: Солтан Г. Н., Солтан А. Е., Жумадилова А. Ж.
Тип: Учебник
Издательство: Кокшетау
Год издания: 2019 - 2025
Цвет обложки:
ISBN: 978-601-317-424-2
Рекомендовано Министерством образования и науки Республики Казахстан
Популярные ГДЗ в 9 классе
2. Системы нелинейных уравнений с двумя переменными. I. Уравнения, неравенства с двумя переменными и их системы - номер 98, страница 33.
№98 (с. 33)
Условие. №98 (с. 33)
скриншот условия

98. Решите систему симметрических уравнений:
a)
$\begin{cases} x + xy + y = 5, \\ x^2 + xy + y^2 = 7; \end{cases}$
б)
$\begin{cases} x + xy + y = 4, \\ x^2 + xy + y^2 = 8. \end{cases}$
Решение. №98 (с. 33)



Решение 2 (rus). №98 (с. 33)
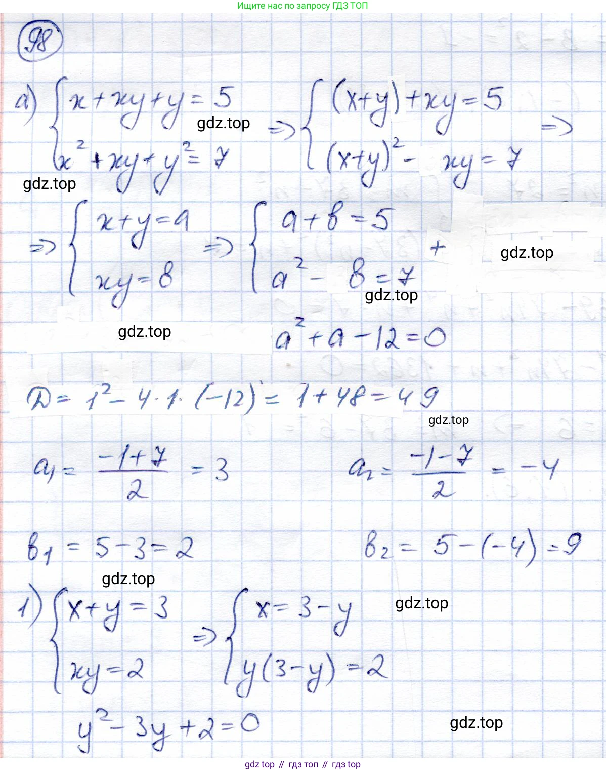
а)Дана система симметрических уравнений:$ \begin{cases} x + xy + y = 5 \\ x^2 + xy + y^2 = 7 \end{cases} $
Для решения введем новые переменные, используя элементарные симметрические многочлены: $u = x + y$ и $v = xy$.
Выразим уравнения системы через $u$ и $v$.
Первое уравнение: $(x + y) + xy = 5 \implies u + v = 5$.
Для второго уравнения преобразуем выражение $x^2 + y^2$. Мы знаем, что $(x+y)^2 = x^2 + 2xy + y^2$, откуда $x^2 + y^2 = (x+y)^2 - 2xy = u^2 - 2v$.
Тогда второе уравнение примет вид: $(x^2 + y^2) + xy = 7 \implies (u^2 - 2v) + v = 7 \implies u^2 - v = 7$.
Получаем систему уравнений относительно $u$ и $v$:$ \begin{cases} u + v = 5 \\ u^2 - v = 7 \end{cases} $
Из первого уравнения выразим $v$: $v = 5 - u$.
Подставим это выражение во второе уравнение:$u^2 - (5 - u) = 7$
$u^2 + u - 5 = 7$
$u^2 + u - 12 = 0$
Это квадратное уравнение относительно $u$. Найдем его корни по теореме Виета: $u_1 + u_2 = -1$, $u_1 \cdot u_2 = -12$. Корни: $u_1 = 3$ и $u_2 = -4$.
Теперь рассмотрим два случая.
Случай 1: $u = 3$.
Тогда $v = 5 - u = 5 - 3 = 2$.
Возвращаемся к переменным $x$ и $y$:$ \begin{cases} x + y = 3 \\ xy = 2 \end{cases} $
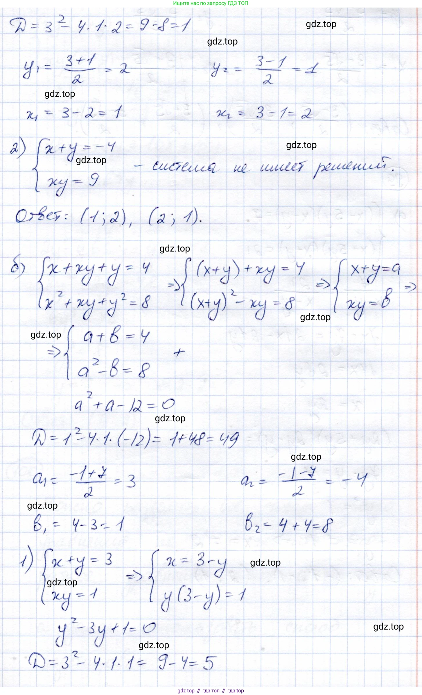
Согласно обратной теореме Виета, $x$ и $y$ являются корнями квадратного уравнения $t^2 - 3t + 2 = 0$.
Корни этого уравнения: $t_1 = 1, t_2 = 2$.
Следовательно, получаем две пары решений: $(1, 2)$ и $(2, 1)$.
Случай 2: $u = -4$.
Тогда $v = 5 - u = 5 - (-4) = 9$.
Возвращаемся к переменным $x$ и $y$:$ \begin{cases} x + y = -4 \\ xy = 9 \end{cases} $
$x$ и $y$ являются корнями квадратного уравнения $t^2 - (-4)t + 9 = 0$, то есть $t^2 + 4t + 9 = 0$.
Найдем дискриминант этого уравнения: $D = 4^2 - 4 \cdot 1 \cdot 9 = 16 - 36 = -20$.
Поскольку $D < 0$, это уравнение не имеет действительных корней.
Таким образом, система имеет только два действительных решения.
Ответ: $(1, 2), (2, 1)$.
б)Дана система симметрических уравнений:$ \begin{cases} x + xy + y = 4 \\ x^2 + xy + y^2 = 8 \end{cases} $
Используем тот же метод замены переменных: $u = x + y$ и $v = xy$.
Преобразуем систему:
Первое уравнение: $(x + y) + xy = 4 \implies u + v = 4$.
Второе уравнение: $(x^2 + y^2) + xy = 8 \implies (u^2 - 2v) + v = 8 \implies u^2 - v = 8$.
Получаем систему уравнений относительно $u$ и $v$:$ \begin{cases} u + v = 4 \\ u^2 - v = 8 \end{cases} $
Из первого уравнения выразим $v$: $v = 4 - u$.
Подставим во второе уравнение:$u^2 - (4 - u) = 8$
$u^2 + u - 4 = 8$
$u^2 + u - 12 = 0$
Корни этого квадратного уравнения: $u_1 = 3$ и $u_2 = -4$.
Рассмотрим два случая.
Случай 1: $u = 3$.
Тогда $v = 4 - u = 4 - 3 = 1$.
Возвращаемся к переменным $x$ и $y$:$ \begin{cases} x + y = 3 \\ xy = 1 \end{cases} $
$x$ и $y$ являются корнями квадратного уравнения $t^2 - 3t + 1 = 0$.
Найдем корни с помощью формулы для корней квадратного уравнения:$t = \frac{-(-3) \pm \sqrt{(-3)^2 - 4 \cdot 1 \cdot 1}}{2 \cdot 1} = \frac{3 \pm \sqrt{9 - 4}}{2} = \frac{3 \pm \sqrt{5}}{2}$.
Получаем две пары решений: $(\frac{3 + \sqrt{5}}{2}, \frac{3 - \sqrt{5}}{2})$ и $(\frac{3 - \sqrt{5}}{2}, \frac{3 + \sqrt{5}}{2})$.
Случай 2: $u = -4$.
Тогда $v = 4 - u = 4 - (-4) = 8$.
Возвращаемся к переменным $x$ и $y$:$ \begin{cases} x + y = -4 \\ xy = 8 \end{cases} $
$x$ и $y$ являются корнями уравнения $t^2 - (-4)t + 8 = 0$, то есть $t^2 + 4t + 8 = 0$.
Найдем дискриминант: $D = 4^2 - 4 \cdot 1 \cdot 8 = 16 - 32 = -16$.
Поскольку $D < 0$, это уравнение не имеет действительных корней.
Таким образом, система имеет только два действительных решения.
Ответ: $(\frac{3 + \sqrt{5}}{2}, \frac{3 - \sqrt{5}}{2}), (\frac{3 - \sqrt{5}}{2}, \frac{3 + \sqrt{5}}{2})$.
Другие задания:
Помогло решение? Оставьте отзыв в комментариях ниже.
Присоединяйтесь к Телеграм-группе @top_gdz
ПрисоединитьсяМы подготовили для вас ответ c подробным объяснением домашего задания по алгебре за 9 класс, для упражнения номер 98 расположенного на странице 33 к учебнику 2019 года издания для учащихся школ и гимназий.
Теперь на нашем сайте ГДЗ.ТОП вы всегда легко и бесплатно найдёте условие с правильным ответом на вопрос «Как решить ДЗ» и «Как сделать» задание по алгебре к упражнению №98 (с. 33), авторов: Солтан (Генадий Николаевич), Солтан (Алла Евгеньевна), Жумадилова (Аманбала Жумадиловна), учебного пособия издательства Кокшетау.