Номер 104, страница 37 - гдз по алгебре 9 класс учебник Солтан, Солтан

Авторы: Солтан Г. Н., Солтан А. Е., Жумадилова А. Ж.
Тип: Учебник
Издательство: Кокшетау
Год издания: 2019 - 2025
Цвет обложки:
ISBN: 978-601-317-424-2
Рекомендовано Министерством образования и науки Республики Казахстан
Популярные ГДЗ в 9 классе
3. Решение текстовых задач с использованием систем нелинейных уравнений с двумя переменными. I. Уравнения, неравенства с двумя переменными и их системы - номер 104, страница 37.
№104 (с. 37)
Условие. №104 (с. 37)
скриншот условия

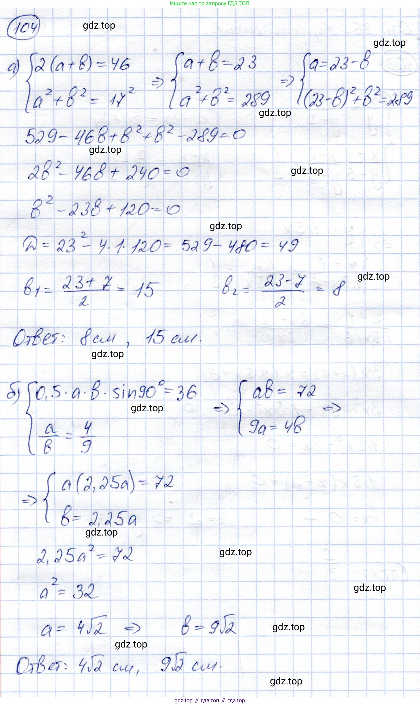
104. а) Диагональ прямоугольника равна 17 см, а его периметр – 46 см. Найдите стороны этого прямоугольника.
б) Четырехугольник, диагонали которого перпендикулярны, имеет площадь, равную $36 \text{ см}^2$. Найдите длины его диагоналей, если их отношение равно $\frac{4}{9}$.
Решение. №104 (с. 37)

Решение 2 (rus). №104 (с. 37)
а)
Пусть стороны прямоугольника равны $a$ и $b$. Периметр прямоугольника $P$ вычисляется по формуле $P = 2(a + b)$. По условию, $P = 46$ см, следовательно:
$2(a + b) = 46$
$a + b = 23$
Диагональ прямоугольника $d$, его длина $a$ и ширина $b$ образуют прямоугольный треугольник. По теореме Пифагора, квадрат диагонали равен сумме квадратов сторон: $a^2 + b^2 = d^2$. По условию, $d = 17$ см, следовательно:
$a^2 + b^2 = 17^2$
$a^2 + b^2 = 289$
Мы получили систему из двух уравнений:
$ \begin{cases} a + b = 23 \\ a^2 + b^2 = 289 \end{cases} $
Выразим $b$ из первого уравнения: $b = 23 - a$.
Подставим это выражение во второе уравнение:
$a^2 + (23 - a)^2 = 289$
$a^2 + (529 - 46a + a^2) = 289$
$2a^2 - 46a + 529 - 289 = 0$
$2a^2 - 46a + 240 = 0$
Разделим уравнение на 2, чтобы упростить его:
$a^2 - 23a + 120 = 0$
Решим полученное квадратное уравнение. По теореме Виета, сумма корней равна 23, а их произведение равно 120. Легко подобрать корни: $a_1 = 8$ и $a_2 = 15$.
Если $a = 8$ см, то $b = 23 - 8 = 15$ см.
Если $a = 15$ см, то $b = 23 - 15 = 8$ см.
В обоих случаях стороны прямоугольника равны 8 см и 15 см.
Ответ: стороны прямоугольника равны 8 см и 15 см.
б)
Площадь $S$ выпуклого четырехугольника, диагонали которого перпендикулярны, равна половине произведения его диагоналей $d_1$ и $d_2$:
$S = \frac{1}{2} d_1 d_2$
По условию, $S = 36 \text{ см}^2$, значит:
$\frac{1}{2} d_1 d_2 = 36$
$d_1 d_2 = 72$
Также по условию дано отношение диагоналей:
$\frac{d_1}{d_2} = \frac{4}{9}$
Из этого соотношения можно выразить одну диагональ через другую: $d_1 = \frac{4}{9} d_2$.
Подставим это выражение в уравнение для произведения диагоналей:
$(\frac{4}{9} d_2) \cdot d_2 = 72$
$\frac{4}{9} d_2^2 = 72$
$d_2^2 = 72 \cdot \frac{9}{4}$
$d_2^2 = 18 \cdot 9 = 162$
$d_2 = \sqrt{162} = \sqrt{81 \cdot 2} = 9\sqrt{2}$ см.
Теперь найдем длину второй диагонали $d_1$:
$d_1 = \frac{4}{9} d_2 = \frac{4}{9} \cdot 9\sqrt{2} = 4\sqrt{2}$ см.
Ответ: длины диагоналей равны $4\sqrt{2}$ см и $9\sqrt{2}$ см.
Другие задания:
Помогло решение? Оставьте отзыв в комментариях ниже.
Присоединяйтесь к Телеграм-группе @top_gdz
ПрисоединитьсяМы подготовили для вас ответ c подробным объяснением домашего задания по алгебре за 9 класс, для упражнения номер 104 расположенного на странице 37 к учебнику 2019 года издания для учащихся школ и гимназий.
Теперь на нашем сайте ГДЗ.ТОП вы всегда легко и бесплатно найдёте условие с правильным ответом на вопрос «Как решить ДЗ» и «Как сделать» задание по алгебре к упражнению №104 (с. 37), авторов: Солтан (Генадий Николаевич), Солтан (Алла Евгеньевна), Жумадилова (Аманбала Жумадиловна), учебного пособия издательства Кокшетау.