Номер 110, страница 38 - гдз по алгебре 9 класс учебник Солтан, Солтан

Авторы: Солтан Г. Н., Солтан А. Е., Жумадилова А. Ж.
Тип: Учебник
Издательство: Кокшетау
Год издания: 2019 - 2025
Цвет обложки:
ISBN: 978-601-317-424-2
Рекомендовано Министерством образования и науки Республики Казахстан
Популярные ГДЗ в 9 классе
3. Решение текстовых задач с использованием систем нелинейных уравнений с двумя переменными. I. Уравнения, неравенства с двумя переменными и их системы - номер 110, страница 38.
№110 (с. 38)
Условие. №110 (с. 38)
скриншот условия

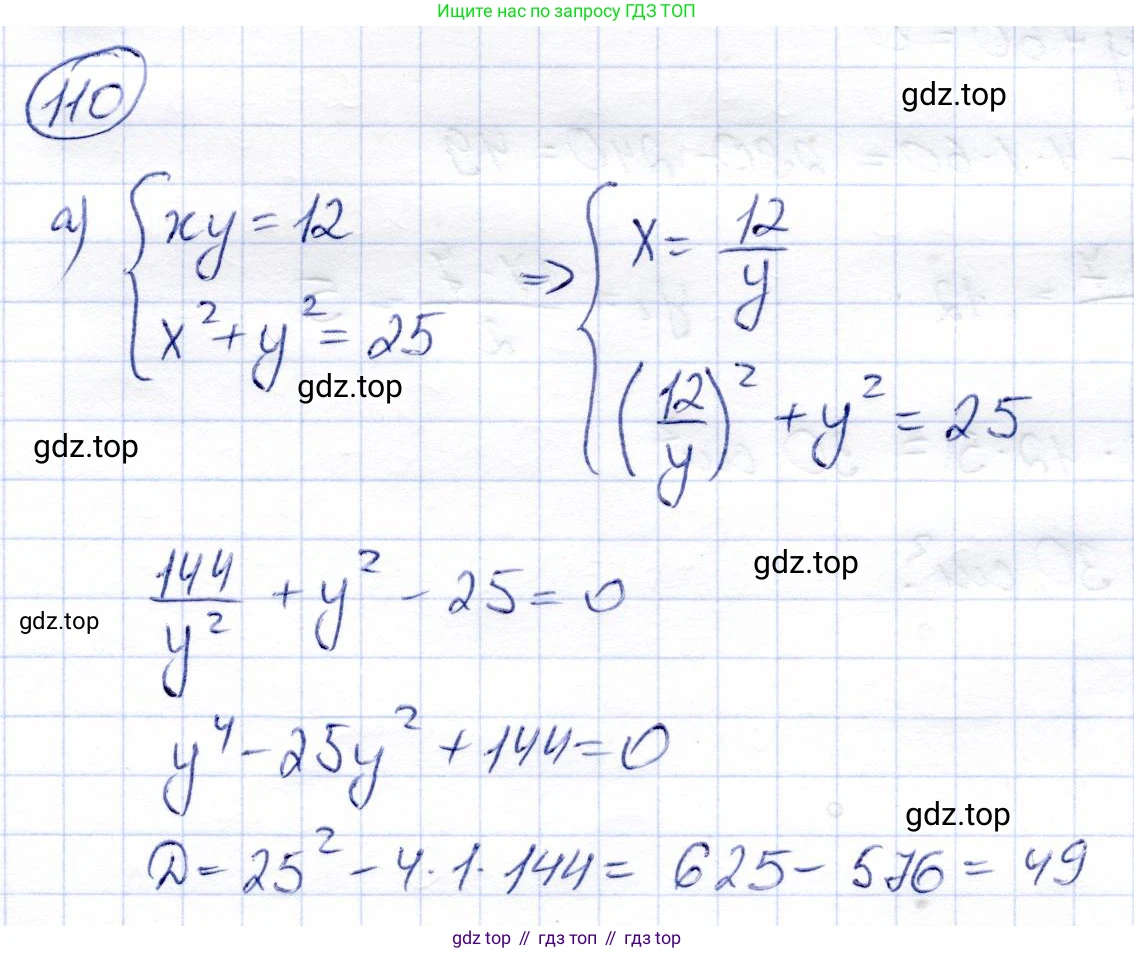
110. Найдите:
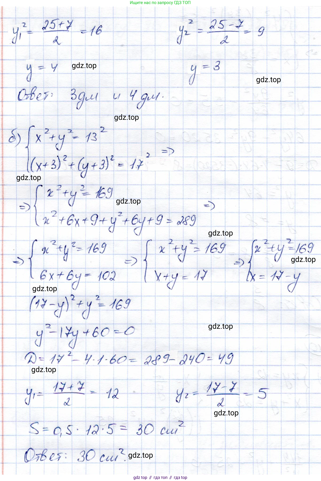
а) стороны двух квадратов, если сумма их площадей равна $25 \text{ дм}^2$, а произведение длин этих сторон равно $12 \text{ дм}^2$;
б) площадь прямоугольного треугольника, если известно, что его гипотенуза, равная $13 \text{ см}$, возрастет на $4 \text{ см}$ при увеличении каждого катета на $3 \text{ см}$.
Решение. №110 (с. 38)


Решение 2 (rus). №110 (с. 38)
а)
Пусть стороны двух квадратов равны $a$ и $b$ дм. Площадь первого квадрата равна $a^2$, а второго – $b^2$. Произведение длин сторон равно $ab$. Согласно условию задачи, составим систему уравнений:
$ \begin{cases} a^2 + b^2 = 25 \\ ab = 12 \end{cases} $
Для решения системы воспользуемся формулой квадрата суммы: $(a+b)^2 = a^2 + 2ab + b^2$. Подставим известные значения из системы: $(a+b)^2 = (a^2 + b^2) + 2(ab) = 25 + 2 \cdot 12 = 25 + 24 = 49$. Так как $a$ и $b$ – это длины сторон, они являются положительными числами, значит, их сумма также положительна. Следовательно, $a+b = \sqrt{49} = 7$. Теперь у нас есть новая, более простая система:
$ \begin{cases} a + b = 7 \\ ab = 12 \end{cases} $
Согласно обратной теореме Виета, $a$ и $b$ являются корнями квадратного уравнения $t^2 - 7t + 12 = 0$. Найдем корни этого уравнения, например, разложением на множители: $(t-3)(t-4)=0$. Корни уравнения: $t_1 = 3$ и $t_2 = 4$. Таким образом, стороны квадратов равны 3 дм и 4 дм.
Ответ: стороны квадратов равны 3 дм и 4 дм.
б)
Пусть катеты прямоугольного треугольника равны $a$ и $b$ см, а гипотенуза – $c$ см. По условию, $c = 13$ см. По теореме Пифагора для этого треугольника: $a^2 + b^2 = c^2$, то есть $a^2 + b^2 = 13^2 = 169$.
При увеличении каждого катета на 3 см их новые длины становятся $(a+3)$ см и $(b+3)$ см. Новая гипотенуза, согласно условию, возрастает на 4 см и становится $13 + 4 = 17$ см. Применим теорему Пифагора для нового треугольника: $(a+3)^2 + (b+3)^2 = 17^2$.
Раскроем скобки в левой части уравнения: $a^2 + 6a + 9 + b^2 + 6b + 9 = 289$. Сгруппируем слагаемые: $(a^2 + b^2) + 6(a+b) + 18 = 289$.
Мы знаем, что $a^2 + b^2 = 169$. Подставим это значение в уравнение: $169 + 6(a+b) + 18 = 289$. $187 + 6(a+b) = 289$. $6(a+b) = 289 - 187$. $6(a+b) = 102$. $a+b = \frac{102}{6} = 17$.
Площадь прямоугольного треугольника $S$ вычисляется по формуле $S = \frac{1}{2}ab$. Чтобы найти ее, нам нужно найти произведение катетов $ab$. Воспользуемся формулой квадрата суммы: $(a+b)^2 = a^2 + 2ab + b^2$. Мы знаем, что $a+b = 17$ и $a^2 + b^2 = 169$. Подставим эти значения: $17^2 = (a^2 + b^2) + 2ab$. $289 = 169 + 2ab$. $2ab = 289 - 169 = 120$. Площадь треугольника $S$ равна половине произведения его катетов: $S = \frac{ab}{2}$. Из выражения $2ab=120$ находим, что $S = \frac{120}{4} = 30$ см$^2$.
Ответ: площадь прямоугольного треугольника равна 30 см$^2$.
Другие задания:
Помогло решение? Оставьте отзыв в комментариях ниже.
Присоединяйтесь к Телеграм-группе @top_gdz
ПрисоединитьсяМы подготовили для вас ответ c подробным объяснением домашего задания по алгебре за 9 класс, для упражнения номер 110 расположенного на странице 38 к учебнику 2019 года издания для учащихся школ и гимназий.
Теперь на нашем сайте ГДЗ.ТОП вы всегда легко и бесплатно найдёте условие с правильным ответом на вопрос «Как решить ДЗ» и «Как сделать» задание по алгебре к упражнению №110 (с. 38), авторов: Солтан (Генадий Николаевич), Солтан (Алла Евгеньевна), Жумадилова (Аманбала Жумадиловна), учебного пособия издательства Кокшетау.