Номер 116, страница 38 - гдз по алгебре 9 класс учебник Солтан, Солтан

Авторы: Солтан Г. Н., Солтан А. Е., Жумадилова А. Ж.
Тип: Учебник
Издательство: Кокшетау
Год издания: 2019 - 2025
Цвет обложки:
ISBN: 978-601-317-424-2
Рекомендовано Министерством образования и науки Республики Казахстан
Популярные ГДЗ в 9 классе
3. Решение текстовых задач с использованием систем нелинейных уравнений с двумя переменными. I. Уравнения, неравенства с двумя переменными и их системы - номер 116, страница 38.
№116 (с. 38)
Условие. №116 (с. 38)
скриншот условия

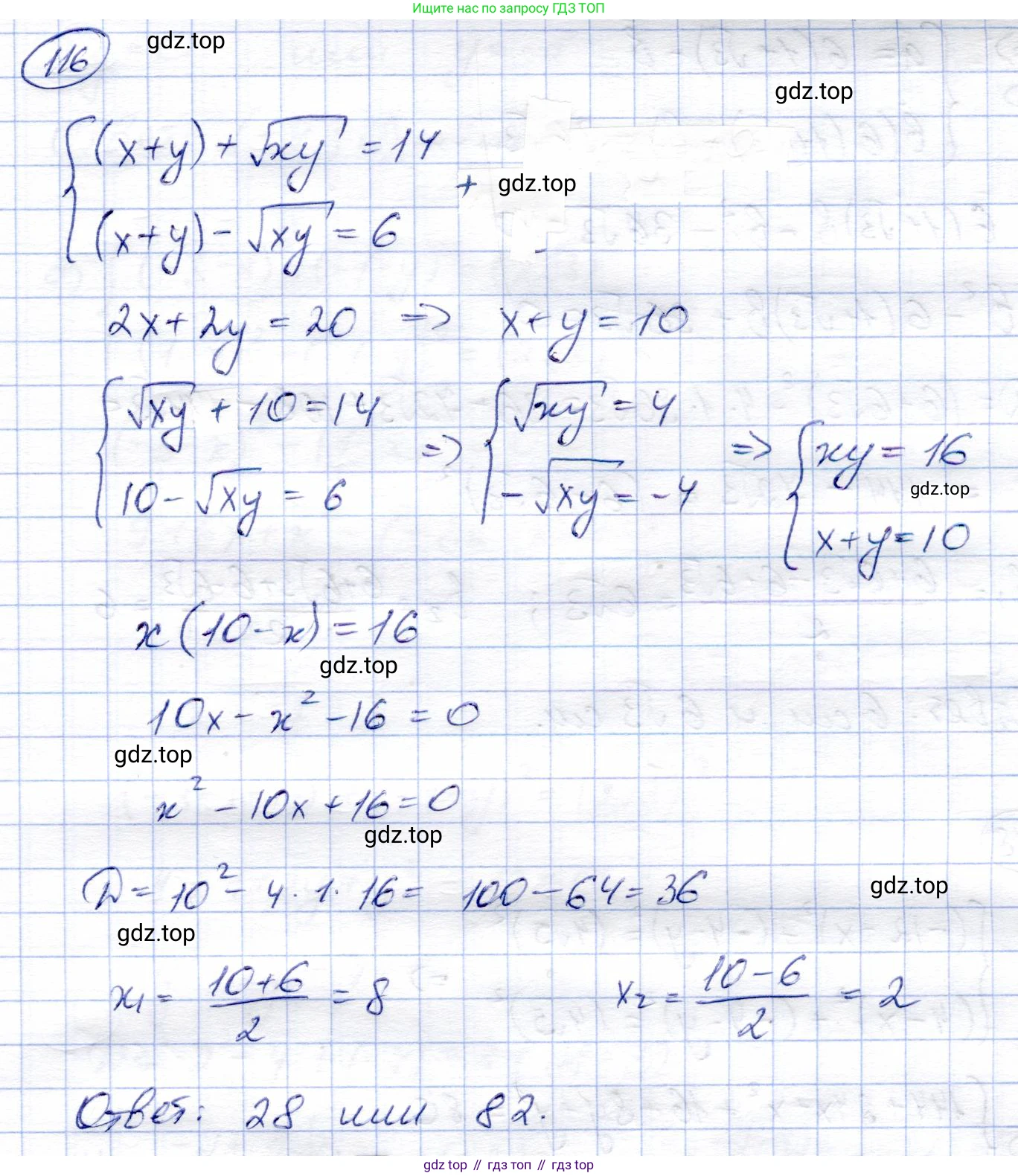
116. Если к сумме цифр двузначного числа прибавить квадратный корень из их произведения, то получится 14. Если же от этой суммы отнять указанный корень, то получится 6. Что это за число? Исследуйте все возможные случаи.
Решение. №116 (с. 38)

Решение 2 (rus). №116 (с. 38)
Пусть искомое двузначное число состоит из цифр $a$ и $b$, где $a$ — цифра десятков, а $b$ — цифра единиц. Согласно определению двузначного числа, $a \in \{1, 2, ..., 9\}$ и $b \in \{0, 1, ..., 9\}$.
Сумма цифр этого числа равна $a+b$. Произведение его цифр равно $ab$.
На основе условий задачи составим систему уравнений.
Первое условие: «Если к сумме цифр двузначного числа прибавить квадратный корень из их произведения, то получится 14». Это записывается как: $ (a+b) + \sqrt{ab} = 14 $
Второе условие: «Если же от этой суммы отнять указанный корень, то получится 6». Это записывается как: $ (a+b) - \sqrt{ab} = 6 $
Мы получили систему двух уравнений с двумя неизвестными выражениями: $(a+b)$ и $\sqrt{ab}$. Для удобства решения введем замены: пусть $S = a+b$ и $P = \sqrt{ab}$.
Система уравнений в новых переменных имеет вид: $ \begin{cases} S + P = 14 \\ S - P = 6 \end{cases} $
Сложим оба уравнения системы: $ (S+P) + (S-P) = 14 + 6 $ $ 2S = 20 $ $ S = 10 $
Подставим найденное значение $S=10$ в первое уравнение системы, чтобы найти $P$: $ 10 + P = 14 $ $ P = 4 $
Теперь вернемся к исходным переменным $a$ и $b$. Мы нашли, что:
Сумма цифр: $a+b = S = 10$.
Корень из произведения цифр: $\sqrt{ab} = P = 4$.
Из второго равенства, возведя обе части в квадрат, найдем произведение цифр: $ ab = 4^2 = 16 $
Таким образом, задача свелась к поиску двух цифр $a$ и $b$, для которых выполняются два условия: $ \begin{cases} a+b = 10 \\ ab = 16 \end{cases} $
Согласно обратной теореме Виета, $a$ и $b$ являются корнями квадратного уравнения $t^2 - 10t + 16 = 0$.
Решим это уравнение. Можно легко найти корни подбором: это числа 2 и 8, так как их сумма равна 10 ($2+8=10$), а их произведение равно 16 ($2 \times 8=16$). Значит, искомые цифры — это 2 и 8.
В задаче требуется исследовать все возможные случаи. Поскольку мы нашли пару цифр {2, 8}, возможны два двузначных числа, составленных из них:
1. Первым случаем является число, у которого цифра десятков $a=2$, а цифра единиц $b=8$. Это число 28.
2. Вторым случаем является число, у которого цифра десятков $a=8$, а цифра единиц $b=2$. Это число 82.
Оба числа удовлетворяют условиям, так как в обоих случаях сумма цифр равна 10, а произведение — 16. Проверим: $10 + \sqrt{16} = 10 + 4 = 14$ (верно). $10 - \sqrt{16} = 10 - 4 = 6$ (верно).
Ответ: 28 и 82.
Другие задания:
Помогло решение? Оставьте отзыв в комментариях ниже.
Присоединяйтесь к Телеграм-группе @top_gdz
ПрисоединитьсяМы подготовили для вас ответ c подробным объяснением домашего задания по алгебре за 9 класс, для упражнения номер 116 расположенного на странице 38 к учебнику 2019 года издания для учащихся школ и гимназий.
Теперь на нашем сайте ГДЗ.ТОП вы всегда легко и бесплатно найдёте условие с правильным ответом на вопрос «Как решить ДЗ» и «Как сделать» задание по алгебре к упражнению №116 (с. 38), авторов: Солтан (Генадий Николаевич), Солтан (Алла Евгеньевна), Жумадилова (Аманбала Жумадиловна), учебного пособия издательства Кокшетау.