Номер 120, страница 39 - гдз по алгебре 9 класс учебник Солтан, Солтан

Авторы: Солтан Г. Н., Солтан А. Е., Жумадилова А. Ж.
Тип: Учебник
Издательство: Кокшетау
Год издания: 2019 - 2025
Цвет обложки:
ISBN: 978-601-317-424-2
Рекомендовано Министерством образования и науки Республики Казахстан
Популярные ГДЗ в 9 классе
3. Решение текстовых задач с использованием систем нелинейных уравнений с двумя переменными. I. Уравнения, неравенства с двумя переменными и их системы - номер 120, страница 39.
№120 (с. 39)
Условие. №120 (с. 39)
скриншот условия

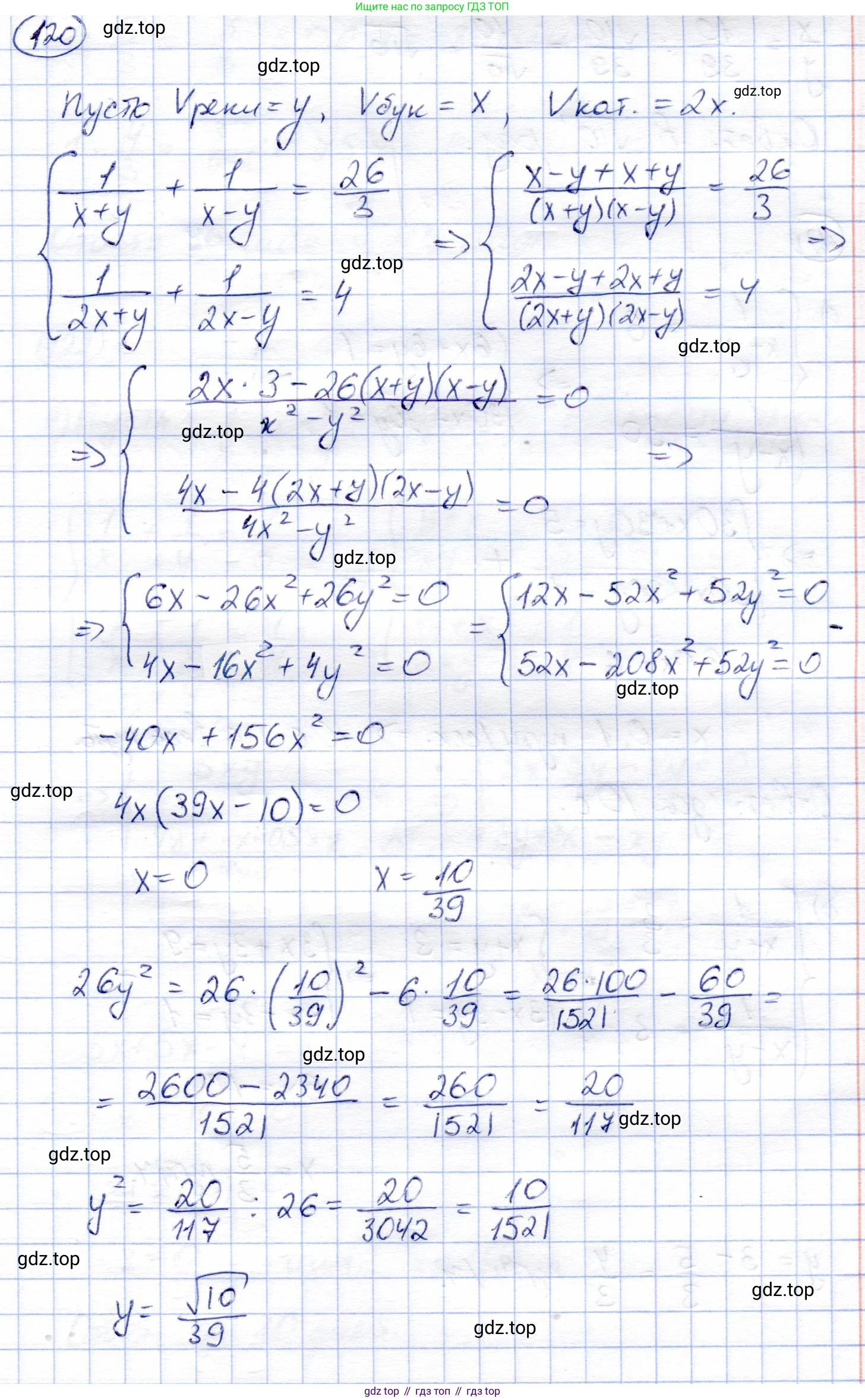
120. Буксир преодолевает путь между двумя пристанями (туда и обратно), расположенными на берегу реки, за 8 ч 40 мин. Катер, собственная скорость которого в 2 раза больше, тратит на такой же путь на 4 ч 40 мин меньше, чем буксир. Во сколько раз собственная скорость буксира больше скорости течения реки?
Решение. №120 (с. 39)


Решение 2 (rus). №120 (с. 39)
Обозначим переменные:
$S$ – расстояние между пристанями в одну сторону (в км).
$v_б$ – собственная скорость буксира (в км/ч).
$v_р$ – скорость течения реки (в км/ч).
$v_к$ – собственная скорость катера (в км/ч).
Согласно условию, собственная скорость катера в 2 раза больше собственной скорости буксира, то есть $v_к = 2v_б$.
Переведем общее время, затраченное буксиром и катером, в часы.
Время буксира: $T_б = 8 \text{ ч } 40 \text{ мин} = 8 + \frac{40}{60} \text{ ч} = 8 + \frac{2}{3} \text{ ч} = \frac{24+2}{3} = \frac{26}{3}$ ч.
Катер тратит на тот же путь на 4 ч 40 мин меньше, чем буксир. Следовательно, время катера:
$T_к = T_б - (4 \text{ ч } 40 \text{ мин}) = \frac{26}{3} \text{ ч} - (4 + \frac{2}{3}) \text{ ч} = \frac{26}{3} - \frac{14}{3} = \frac{12}{3} = 4$ ч.
Время, затраченное на путь туда и обратно, складывается из времени движения по течению и времени движения против течения. Общая формула времени: $T = \frac{S}{v_{по\;течению}} + \frac{S}{v_{против\;течения}}$.
Для буксира уравнение времени выглядит так:
$T_б = \frac{S}{v_б + v_р} + \frac{S}{v_б - v_р}$
Подставим значение $T_б$ и приведем правую часть к общему знаменателю:
$\frac{26}{3} = S \left( \frac{v_б - v_р + v_б + v_р}{(v_б + v_р)(v_б - v_р)} \right) = S \frac{2v_б}{v_б^2 - v_р^2}$ (1)
Для катера, с учетом того что $v_к = 2v_б$, уравнение времени выглядит так:
$T_к = \frac{S}{v_к + v_р} + \frac{S}{v_к - v_р} = \frac{S}{2v_б + v_р} + \frac{S}{2v_б - v_р}$
Подставим значение $T_к$ и приведем правую часть к общему знаменателю:
$4 = S \left( \frac{2v_б - v_р + 2v_б + v_р}{(2v_б + v_р)(2v_б - v_р)} \right) = S \frac{4v_б}{(2v_б)^2 - v_р^2} = S \frac{4v_б}{4v_б^2 - v_р^2}$ (2)
Мы получили систему из двух уравнений. Чтобы найти искомое отношение $\frac{v_б}{v_р}$, разделим уравнение (1) на уравнение (2). Это позволит нам исключить неизвестную величину $S$.
$\frac{26/3}{4} = \frac{S \frac{2v_б}{v_б^2 - v_р^2}}{S \frac{4v_б}{4v_б^2 - v_р^2}}$
Упростим левую часть и правую часть (сократив $S$ и $v_б$):
$\frac{26}{12} = \frac{2}{v_б^2 - v_р^2} \cdot \frac{4v_б^2 - v_р^2}{4}$
Сократим дроби:
$\frac{13}{6} = \frac{1}{2} \cdot \frac{4v_б^2 - v_р^2}{v_б^2 - v_р^2}$
Умножим обе части уравнения на 2:
$\frac{13}{3} = \frac{4v_б^2 - v_р^2}{v_б^2 - v_р^2}$
Теперь решим это уравнение. Умножим обе части на знаменатель $v_б^2 - v_р^2$:
$13(v_б^2 - v_р^2) = 3(4v_б^2 - v_р^2)$
$13v_б^2 - 13v_р^2 = 12v_б^2 - 3v_р^2$
Сгруппируем подобные члены:
$13v_б^2 - 12v_б^2 = 13v_р^2 - 3v_р^2$
$v_б^2 = 10v_р^2$
Чтобы найти, во сколько раз собственная скорость буксира больше скорости течения реки, найдем отношение $\frac{v_б}{v_р}$. Для этого разделим обе части на $v_р^2$:
$\frac{v_б^2}{v_р^2} = 10$
Извлечем квадратный корень из обеих частей (скорости — величины положительные):
$\frac{v_б}{v_р} = \sqrt{10}$
Ответ: собственная скорость буксира больше скорости течения реки в $\sqrt{10}$ раз.
Другие задания:
Помогло решение? Оставьте отзыв в комментариях ниже.
Присоединяйтесь к Телеграм-группе @top_gdz
ПрисоединитьсяМы подготовили для вас ответ c подробным объяснением домашего задания по алгебре за 9 класс, для упражнения номер 120 расположенного на странице 39 к учебнику 2019 года издания для учащихся школ и гимназий.
Теперь на нашем сайте ГДЗ.ТОП вы всегда легко и бесплатно найдёте условие с правильным ответом на вопрос «Как решить ДЗ» и «Как сделать» задание по алгебре к упражнению №120 (с. 39), авторов: Солтан (Генадий Николаевич), Солтан (Алла Евгеньевна), Жумадилова (Аманбала Жумадиловна), учебного пособия издательства Кокшетау.