Номер 119, страница 39 - гдз по алгебре 9 класс учебник Солтан, Солтан

Авторы: Солтан Г. Н., Солтан А. Е., Жумадилова А. Ж.
Тип: Учебник
Издательство: Кокшетау
Год издания: 2019 - 2025
Цвет обложки:
ISBN: 978-601-317-424-2
Рекомендовано Министерством образования и науки Республики Казахстан
Популярные ГДЗ в 9 классе
3. Решение текстовых задач с использованием систем нелинейных уравнений с двумя переменными. I. Уравнения, неравенства с двумя переменными и их системы - номер 119, страница 39.
№119 (с. 39)
Условие. №119 (с. 39)
скриншот условия

119. Найдите:
а) стороны прямоугольника, если их отношение равно $k$, а его площадь равна $S$ (древнеегипетская задача);
б) гипотенузу прямоугольного треугольника, периметр которого равен $P$, а площадь равна $S$ (древнекитайская задача).
Решение. №119 (с. 39)


Решение 2 (rus). №119 (с. 39)
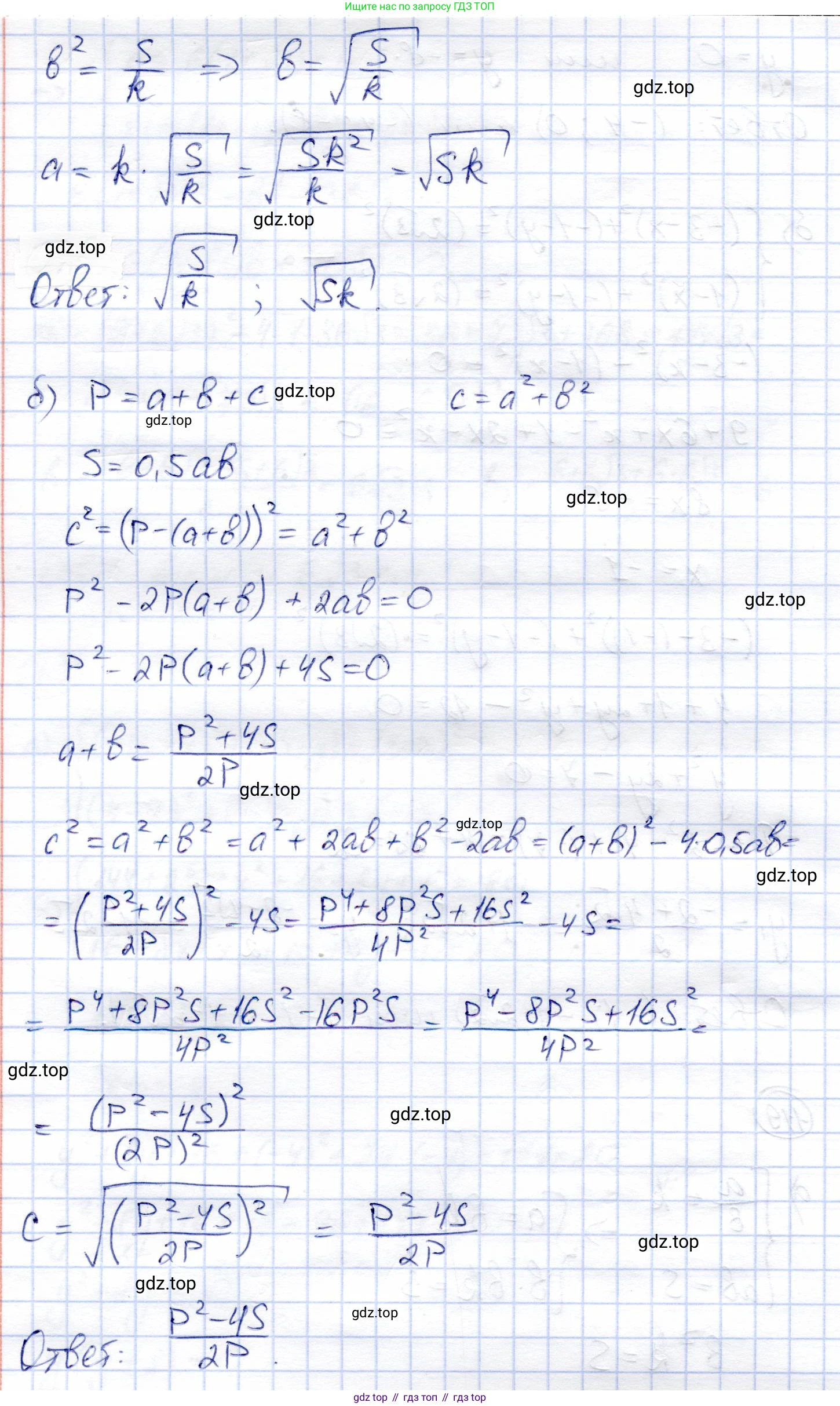
а)
Пусть стороны прямоугольника равны $a$ и $b$.
По условию задачи, их отношение равно $k$, а площадь равна $S$.
Мы можем составить систему из двух уравнений:
1) $\frac{a}{b} = k$
2) $a \cdot b = S$
Из первого уравнения выразим $a$: $a = k \cdot b$.
Подставим это выражение во второе уравнение:
$(k \cdot b) \cdot b = S$
$k \cdot b^2 = S$
Отсюда найдем $b$:
$b^2 = \frac{S}{k}$
$b = \sqrt{\frac{S}{k}}$
Теперь найдем $a$, подставив значение $b$ в выражение $a = k \cdot b$:
$a = k \cdot \sqrt{\frac{S}{k}} = \sqrt{k^2} \cdot \sqrt{\frac{S}{k}} = \sqrt{k^2 \cdot \frac{S}{k}} = \sqrt{kS}$
Таким образом, стороны прямоугольника равны $\sqrt{kS}$ и $\sqrt{\frac{S}{k}}$.
Ответ: Стороны прямоугольника равны $\sqrt{kS}$ и $\sqrt{\frac{S}{k}}$.
б)
Пусть катеты прямоугольного треугольника равны $a$ и $b$, а гипотенуза равна $c$.
Периметр треугольника $P = a + b + c$.
Площадь треугольника $S = \frac{1}{2}ab$.
По теореме Пифагора, $a^2 + b^2 = c^2$.
Нам нужно найти гипотенузу $c$, зная $P$ и $S$.
Из формулы периметра выразим сумму катетов: $a + b = P - c$.
Возведем обе части этого равенства в квадрат:
$(a + b)^2 = (P - c)^2$
$a^2 + 2ab + b^2 = P^2 - 2Pc + c^2$
Теперь воспользуемся двумя другими известными нам соотношениями. Сгруппируем слагаемые в левой части:
$(a^2 + b^2) + 2ab = P^2 - 2Pc + c^2$
Мы знаем, что $a^2 + b^2 = c^2$ (теорема Пифагора) и из формулы площади $ab = 2S$.
Подставим эти выражения в наше уравнение:
$c^2 + 2(2S) = P^2 - 2Pc + c^2$
$c^2 + 4S = P^2 - 2Pc + c^2$
Члены $c^2$ в обеих частях уравнения сокращаются:
$4S = P^2 - 2Pc$
Теперь выразим $c$ из этого уравнения. Перенесем член с $c$ в левую часть:
$2Pc = P^2 - 4S$
И разделим обе части на $2P$:
$c = \frac{P^2 - 4S}{2P}$
Это выражение можно также записать в виде $c = \frac{P}{2} - \frac{2S}{P}$.
Ответ: Гипотенуза равна $\frac{P^2 - 4S}{2P}$.
Другие задания:
Помогло решение? Оставьте отзыв в комментариях ниже.
Присоединяйтесь к Телеграм-группе @top_gdz
ПрисоединитьсяМы подготовили для вас ответ c подробным объяснением домашего задания по алгебре за 9 класс, для упражнения номер 119 расположенного на странице 39 к учебнику 2019 года издания для учащихся школ и гимназий.
Теперь на нашем сайте ГДЗ.ТОП вы всегда легко и бесплатно найдёте условие с правильным ответом на вопрос «Как решить ДЗ» и «Как сделать» задание по алгебре к упражнению №119 (с. 39), авторов: Солтан (Генадий Николаевич), Солтан (Алла Евгеньевна), Жумадилова (Аманбала Жумадиловна), учебного пособия издательства Кокшетау.