Номер 122, страница 39 - гдз по алгебре 9 класс учебник Солтан, Солтан

Авторы: Солтан Г. Н., Солтан А. Е., Жумадилова А. Ж.
Тип: Учебник
Издательство: Кокшетау
Год издания: 2019 - 2025
Цвет обложки:
ISBN: 978-601-317-424-2
Рекомендовано Министерством образования и науки Республики Казахстан
Популярные ГДЗ в 9 классе
3. Решение текстовых задач с использованием систем нелинейных уравнений с двумя переменными. I. Уравнения, неравенства с двумя переменными и их системы - номер 122, страница 39.
№122 (с. 39)
Условие. №122 (с. 39)
скриншот условия

122. a) Два специалиста, работая вместе, выполняют задание за 5 дней. Если бы первый из них работал вдвое быстрее, а второй – вдвое медленнее, то эта же работа была бы сделана за 4 дня. За сколько дней выполнит все задание первый специалист, если будет работать один?
б) Два специалиста при совместной работе выполняют некоторое задание за 3,6 часа. Если бы один из них проработал треть того времени, за которое мог выполнить все задание второй специалист, а затем второй – треть времени, за которое мог выполнить все задание первый специалист, то было бы выполнено $\$ \frac{13}{18} \$ всего задания. За сколько часов мог бы выполнить это задание каждый специалист в отдельности?
Решение. №122 (с. 39)


Решение 2 (rus). №122 (с. 39)
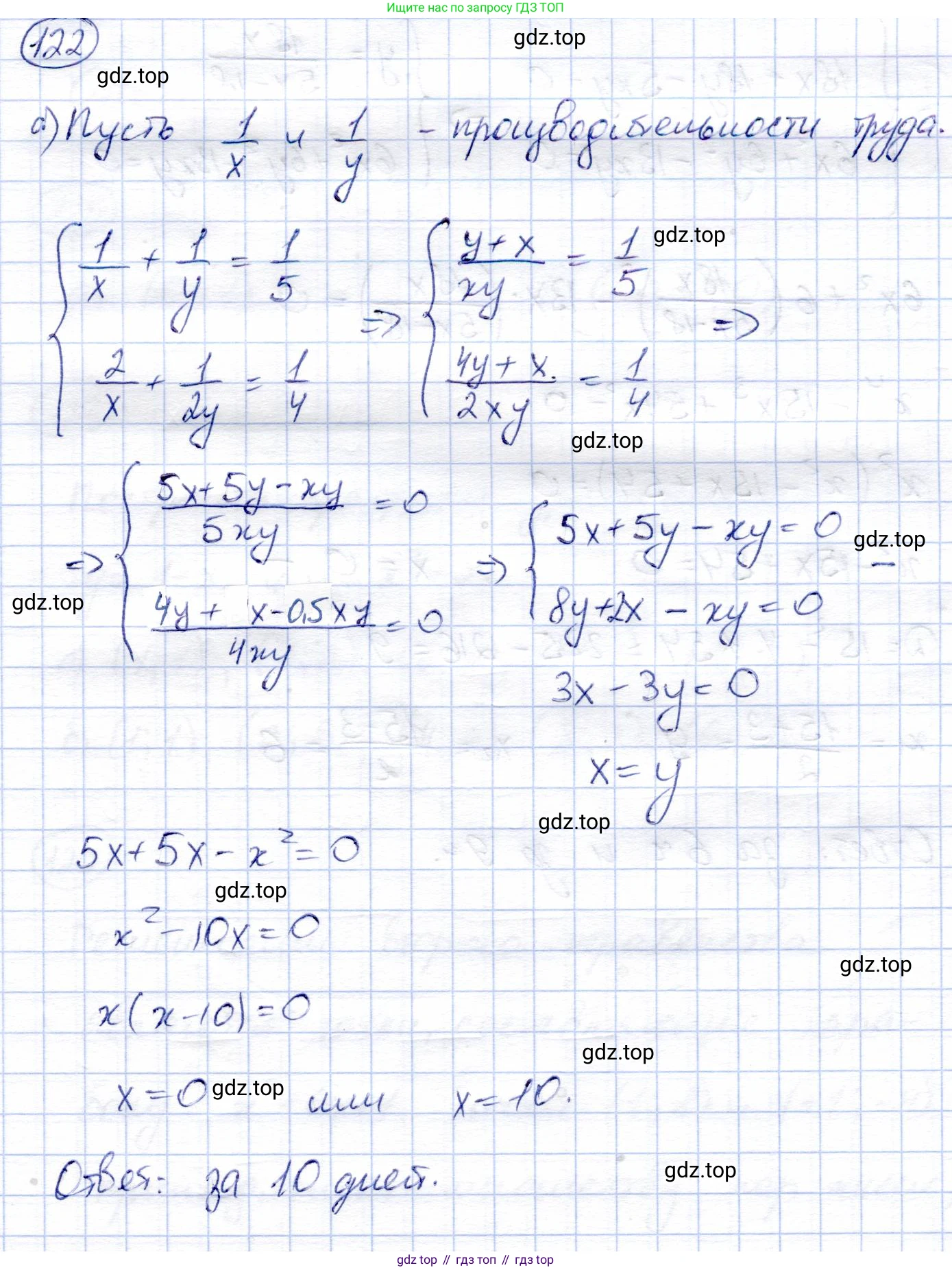
а) Пусть $x$ — производительность первого специалиста (часть задания, выполняемая за день), а $y$ — производительность второго специалиста. Весь объем работы примем за 1.
Из первого условия, работая вместе, они выполняют задание за 5 дней. Это означает, что их совместная производительность равна $x+y$. Составим уравнение: $(x+y) \cdot 5 = 1$, откуда $x+y = \frac{1}{5}$.
Из второго условия, если бы первый работал вдвое быстрее (с производительностью $2x$), а второй — вдвое медленнее (с производительностью $\frac{y}{2}$), то работа была бы сделана за 4 дня. Составим второе уравнение: $(2x + \frac{y}{2}) \cdot 4 = 1$, откуда $2x + \frac{y}{2} = \frac{1}{4}$.
Получили систему из двух уравнений:
1) $x+y = \frac{1}{5}$
2) $2x + \frac{y}{2} = \frac{1}{4}$
Из первого уравнения выразим $y$: $y = \frac{1}{5} - x$.
Подставим это выражение во второе уравнение:
$2x + \frac{1}{2}(\frac{1}{5} - x) = \frac{1}{4}$
$2x + \frac{1}{10} - \frac{x}{2} = \frac{1}{4}$
$2x - \frac{x}{2} = \frac{1}{4} - \frac{1}{10}$
$\frac{4x-x}{2} = \frac{5-2}{20}$
$\frac{3x}{2} = \frac{3}{20}$
$x = \frac{3}{20} \cdot \frac{2}{3}$
$x = \frac{1}{10}$
Производительность первого специалиста равна $\frac{1}{10}$ задания в день. Чтобы найти, за сколько дней он выполнит все задание один, нужно весь объем работы (1) разделить на его производительность:
Время = $\frac{1}{x} = \frac{1}{1/10} = 10$ дней.
Ответ: первый специалист выполнит все задание за 10 дней.
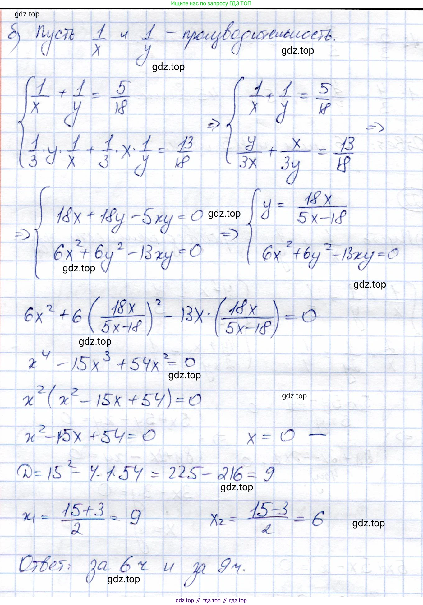
б) Пусть $x$ часов — время, за которое первый специалист выполняет все задание, а $y$ часов — время второго. Весь объем работы примем за 1. Тогда производительность первого специалиста равна $\frac{1}{x}$ (часть задания/час), а второго — $\frac{1}{y}$.
При совместной работе они выполняют задание за 3,6 часа. Составим первое уравнение:
$(\frac{1}{x} + \frac{1}{y}) \cdot 3,6 = 1$
$\frac{1}{x} + \frac{1}{y} = \frac{1}{3,6} = \frac{10}{36} = \frac{5}{18}$
По второму условию, первый специалист работал треть времени, которое требуется второму на всю работу, то есть $\frac{y}{3}$ часа. За это время он выполнил часть работы, равную $\frac{1}{x} \cdot \frac{y}{3} = \frac{y}{3x}$.
Затем второй работал треть времени, которое требуется первому на всю работу, то есть $\frac{x}{3}$ часа. Он выполнил часть работы, равную $\frac{1}{y} \cdot \frac{x}{3} = \frac{x}{3y}$.
Вместе они выполнили $\frac{13}{18}$ всего задания. Составим второе уравнение:
$\frac{y}{3x} + \frac{x}{3y} = \frac{13}{18}$
Умножим обе части на 3:
$\frac{y}{x} + \frac{x}{y} = \frac{13}{6}$
Сделаем замену: пусть $a = \frac{x}{y}$. Тогда уравнение примет вид:
$\frac{1}{a} + a = \frac{13}{6}$
Умножим все на $6a$, чтобы избавиться от знаменателей:
$6 + 6a^2 = 13a$
$6a^2 - 13a + 6 = 0$
Решим квадратное уравнение. Дискриминант $D = (-13)^2 - 4 \cdot 6 \cdot 6 = 169 - 144 = 25$.
$a_1 = \frac{13 - \sqrt{25}}{2 \cdot 6} = \frac{13-5}{12} = \frac{8}{12} = \frac{2}{3}$
$a_2 = \frac{13 + \sqrt{25}}{2 \cdot 6} = \frac{13+5}{12} = \frac{18}{12} = \frac{3}{2}$
Рассмотрим оба случая:
1) $\frac{x}{y} = \frac{2}{3}$, откуда $x = \frac{2}{3}y$. Подставим в первое уравнение системы $\frac{1}{x} + \frac{1}{y} = \frac{5}{18}$:
$\frac{1}{(2/3)y} + \frac{1}{y} = \frac{5}{18}$
$\frac{3}{2y} + \frac{1}{y} = \frac{5}{18}$
$\frac{3+2}{2y} = \frac{5}{18}$
$\frac{5}{2y} = \frac{5}{18}$
$2y = 18 \implies y=9$.
Тогда $x = \frac{2}{3} \cdot 9 = 6$.
Получаем, что один специалист выполнит работу за 6 часов, а другой за 9 часов.
2) $\frac{x}{y} = \frac{3}{2}$, откуда $x = \frac{3}{2}y$. Подставим в первое уравнение:
$\frac{1}{(3/2)y} + \frac{1}{y} = \frac{5}{18}$
$\frac{2}{3y} + \frac{1}{y} = \frac{5}{18}$
$\frac{2+3}{3y} = \frac{5}{18}$
$\frac{5}{3y} = \frac{5}{18}$
$3y = 18 \implies y=6$.
Тогда $x = \frac{3}{2} \cdot 6 = 9$.
Этот случай дает тот же набор времен: 9 часов и 6 часов.
Ответ: один специалист мог бы выполнить задание за 6 часов, а другой — за 9 часов.
Другие задания:
Помогло решение? Оставьте отзыв в комментариях ниже.
Присоединяйтесь к Телеграм-группе @top_gdz
ПрисоединитьсяМы подготовили для вас ответ c подробным объяснением домашего задания по алгебре за 9 класс, для упражнения номер 122 расположенного на странице 39 к учебнику 2019 года издания для учащихся школ и гимназий.
Теперь на нашем сайте ГДЗ.ТОП вы всегда легко и бесплатно найдёте условие с правильным ответом на вопрос «Как решить ДЗ» и «Как сделать» задание по алгебре к упражнению №122 (с. 39), авторов: Солтан (Генадий Николаевич), Солтан (Алла Евгеньевна), Жумадилова (Аманбала Жумадиловна), учебного пособия издательства Кокшетау.