Номер 118, страница 38 - гдз по алгебре 9 класс учебник Солтан, Солтан

Авторы: Солтан Г. Н., Солтан А. Е., Жумадилова А. Ж.
Тип: Учебник
Издательство: Кокшетау
Год издания: 2019 - 2025
Цвет обложки:
ISBN: 978-601-317-424-2
Рекомендовано Министерством образования и науки Республики Казахстан
Популярные ГДЗ в 9 классе
3. Решение текстовых задач с использованием систем нелинейных уравнений с двумя переменными. I. Уравнения, неравенства с двумя переменными и их системы - номер 118, страница 38.
№118 (с. 38)
Условие. №118 (с. 38)
скриншот условия

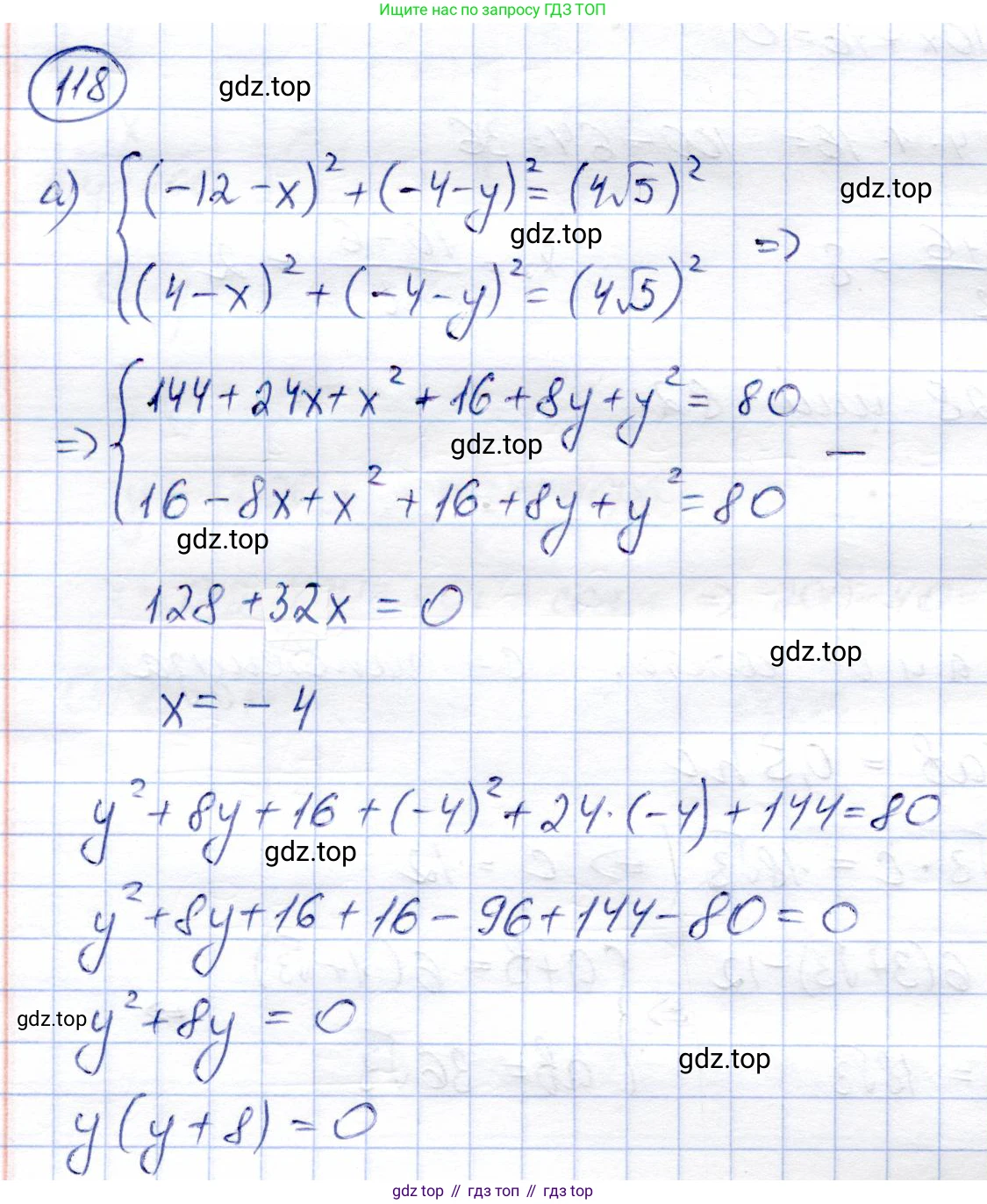
118. Найдите координаты центра окружности:
а) радиусом $4\sqrt{5}$, проходящей через точки $(-12; -4)$, $(4; -4)$;
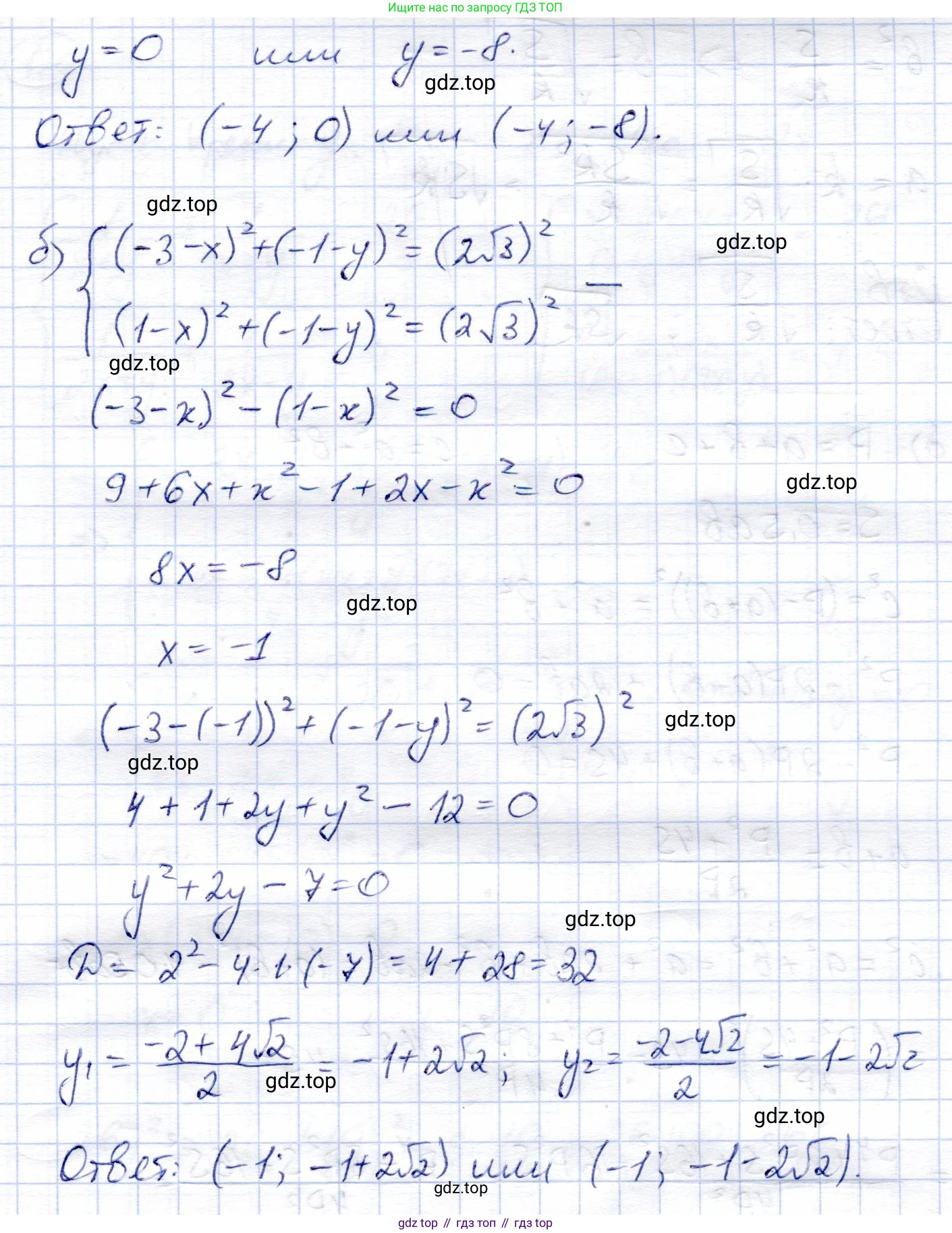
б) радиусом $2\sqrt{3}$, которой принадлежат точки $(-3; -1)$, $(1; -1)$.
Решение. №118 (с. 38)


Решение 2 (rus). №118 (с. 38)
а) Пусть координаты центра окружности $O(x_0, y_0)$. Радиус окружности $R = 4\sqrt{5}$. Окружность проходит через точки $A(-12; -4)$ и $B(4; -4)$.Центр окружности равноудален от любых двух точек на ней, поэтому он лежит на серединном перпендикуляре к отрезку, соединяющему эти точки. Заметим, что у точек $A$ и $B$ одинаковая ордината $y=-4$, значит, отрезок $AB$ является горизонтальным. Серединный перпендикуляр к горизонтальному отрезку — это вертикальная прямая, проходящая через его середину. Абсцисса середины отрезка $AB$ равна $x = \frac{-12 + 4}{2} = \frac{-8}{2} = -4$. Таким образом, абсцисса центра окружности $x_0 = -4$.Уравнение окружности в общем виде: $(x - x_0)^2 + (y - y_0)^2 = R^2$.Подставим известные значения $x_0 = -4$, $R^2 = (4\sqrt{5})^2 = 80$, а также координаты одной из точек, например $B(4; -4)$, в уравнение окружности, чтобы найти $y_0$:$(4 - (-4))^2 + (-4 - y_0)^2 = 80$$(8)^2 + (-(4 + y_0))^2 = 80$$64 + (y_0 + 4)^2 = 80$$(y_0 + 4)^2 = 80 - 64$$(y_0 + 4)^2 = 16$Извлекая квадратный корень, получаем два возможных случая:1) $y_0 + 4 = 4 \implies y_0 = 0$2) $y_0 + 4 = -4 \implies y_0 = -8$Таким образом, существуют две окружности, удовлетворяющие условиям задачи, с центрами в точках $(-4; 0)$ и $(-4; -8)$. Ответ: $(-4; 0)$ и $(-4; -8)$.
б) Пусть координаты центра окружности $O(x_0, y_0)$. Радиус окружности $R = 2\sqrt{3}$, и ей принадлежат точки $C(-3; -1)$ и $D(1; -1)$.Центр окружности лежит на серединном перпендикуляре к отрезку $CD$. У точек $C$ и $D$ одинаковая ордината $y=-1$, следовательно, отрезок $CD$ является горизонтальным. Абсцисса середины отрезка $CD$ равна $x = \frac{-3 + 1}{2} = \frac{-2}{2} = -1$. Значит, абсцисса центра окружности $x_0 = -1$.Квадрат радиуса равен $R^2 = (2\sqrt{3})^2 = 4 \cdot 3 = 12$.Подставим известные значения $x_0 = -1$, $R^2 = 12$ и координаты точки $D(1; -1)$ в уравнение окружности $(x - x_0)^2 + (y - y_0)^2 = R^2$:$(1 - (-1))^2 + (-1 - y_0)^2 = 12$$(2)^2 + (-(1 + y_0))^2 = 12$$4 + (y_0 + 1)^2 = 12$$(y_0 + 1)^2 = 12 - 4$$(y_0 + 1)^2 = 8$Извлекая квадратный корень, получаем два возможных значения для $y_0$:1) $y_0 + 1 = \sqrt{8} \implies y_0 = -1 + 2\sqrt{2}$2) $y_0 + 1 = -\sqrt{8} \implies y_0 = -1 - 2\sqrt{2}$Таким образом, центры искомых окружностей находятся в точках $(-1; -1 + 2\sqrt{2})$ и $(-1; -1 - 2\sqrt{2})$. Ответ: $(-1; -1 + 2\sqrt{2})$ и $(-1; -1 - 2\sqrt{2})$.
Другие задания:
Помогло решение? Оставьте отзыв в комментариях ниже.
Присоединяйтесь к Телеграм-группе @top_gdz
ПрисоединитьсяМы подготовили для вас ответ c подробным объяснением домашего задания по алгебре за 9 класс, для упражнения номер 118 расположенного на странице 38 к учебнику 2019 года издания для учащихся школ и гимназий.
Теперь на нашем сайте ГДЗ.ТОП вы всегда легко и бесплатно найдёте условие с правильным ответом на вопрос «Как решить ДЗ» и «Как сделать» задание по алгебре к упражнению №118 (с. 38), авторов: Солтан (Генадий Николаевич), Солтан (Алла Евгеньевна), Жумадилова (Аманбала Жумадиловна), учебного пособия издательства Кокшетау.