Номер 111, страница 38 - гдз по алгебре 9 класс учебник Солтан, Солтан

Авторы: Солтан Г. Н., Солтан А. Е., Жумадилова А. Ж.
Тип: Учебник
Издательство: Кокшетау
Год издания: 2019 - 2025
Цвет обложки:
ISBN: 978-601-317-424-2
Рекомендовано Министерством образования и науки Республики Казахстан
Популярные ГДЗ в 9 классе
3. Решение текстовых задач с использованием систем нелинейных уравнений с двумя переменными. I. Уравнения, неравенства с двумя переменными и их системы - номер 111, страница 38.
№111 (с. 38)
Условие. №111 (с. 38)
скриншот условия

111. Найдите:
а) сторону ромба, площадь которого равна $80 \text{ см}^2$, а отношение диагоналей равно 0,8;
б) площадь ромба, периметр которого равен 2 дм, а диагонали относятся как 3 : 4.
Решение. №111 (с. 38)


Решение 2 (rus). №111 (с. 38)
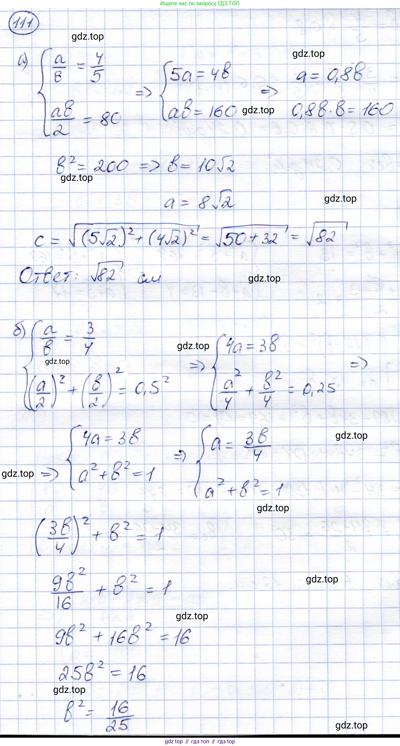
а)Площадь ромба $S$ вычисляется через его диагонали $d_1$ и $d_2$ по формуле $S = \frac{d_1 \cdot d_2}{2}$. По условию задачи, площадь ромба равна 80 см², а отношение диагоналей $\frac{d_1}{d_2} = 0,8$.Из соотношения диагоналей выразим одну через другую: $d_1 = 0,8 \cdot d_2$.Подставим это выражение в формулу площади:$80 = \frac{(0,8 \cdot d_2) \cdot d_2}{2}$$160 = 0,8 \cdot d_2^2$$d_2^2 = \frac{160}{0,8} = \frac{1600}{8} = 200$Отсюда $d_2 = \sqrt{200} = \sqrt{100 \cdot 2} = 10\sqrt{2}$ см.Теперь найдем длину второй диагонали:$d_1 = 0,8 \cdot 10\sqrt{2} = 8\sqrt{2}$ см.Сторона ромба $a$ связана с его диагоналями через теорему Пифагора, так как диагонали ромба перпендикулярны и делятся точкой пересечения пополам. Сторона является гипотенузой в прямоугольном треугольнике, катетами которого служат половины диагоналей:$a^2 = \left(\frac{d_1}{2}\right)^2 + \left(\frac{d_2}{2}\right)^2$$a^2 = \left(\frac{8\sqrt{2}}{2}\right)^2 + \left(\frac{10\sqrt{2}}{2}\right)^2 = (4\sqrt{2})^2 + (5\sqrt{2})^2$$a^2 = (16 \cdot 2) + (25 \cdot 2) = 32 + 50 = 82$$a = \sqrt{82}$ см.
Ответ: $\sqrt{82}$ см.
б)Периметр ромба $P$ равен 2 дм. Так как все стороны ромба равны, длина одной стороны $a$ составляет:$a = \frac{P}{4} = \frac{2 \text{ дм}}{4} = 0,5$ дм.Для удобства вычислений переведем в сантиметры: $a = 5$ см.Диагонали ромба $d_1$ и $d_2$ относятся как 3 : 4. Это можно записать как $d_1 = 3x$ и $d_2 = 4x$ для некоторого коэффициента $x$.Применим теорему Пифагора к треугольнику, образованному стороной ромба и половинами его диагоналей:$a^2 = \left(\frac{d_1}{2}\right)^2 + \left(\frac{d_2}{2}\right)^2$$5^2 = \left(\frac{3x}{2}\right)^2 + \left(\frac{4x}{2}\right)^2$$25 = (1,5x)^2 + (2x)^2$$25 = 2,25x^2 + 4x^2$$25 = 6,25x^2$$x^2 = \frac{25}{6,25} = 4$$x = \sqrt{4} = 2$.Теперь можем найти длины диагоналей:$d_1 = 3x = 3 \cdot 2 = 6$ см.$d_2 = 4x = 4 \cdot 2 = 8$ см.Площадь ромба $S$ равна половине произведения его диагоналей:$S = \frac{d_1 \cdot d_2}{2} = \frac{6 \cdot 8}{2} = \frac{48}{2} = 24$ см².
Ответ: 24 см².
Другие задания:
Помогло решение? Оставьте отзыв в комментариях ниже.
Присоединяйтесь к Телеграм-группе @top_gdz
ПрисоединитьсяМы подготовили для вас ответ c подробным объяснением домашего задания по алгебре за 9 класс, для упражнения номер 111 расположенного на странице 38 к учебнику 2019 года издания для учащихся школ и гимназий.
Теперь на нашем сайте ГДЗ.ТОП вы всегда легко и бесплатно найдёте условие с правильным ответом на вопрос «Как решить ДЗ» и «Как сделать» задание по алгебре к упражнению №111 (с. 38), авторов: Солтан (Генадий Николаевич), Солтан (Алла Евгеньевна), Жумадилова (Аманбала Жумадиловна), учебного пособия издательства Кокшетау.