Номер 108, страница 37 - гдз по алгебре 9 класс учебник Солтан, Солтан

Авторы: Солтан Г. Н., Солтан А. Е., Жумадилова А. Ж.
Тип: Учебник
Издательство: Кокшетау
Год издания: 2019 - 2025
Цвет обложки:
ISBN: 978-601-317-424-2
Рекомендовано Министерством образования и науки Республики Казахстан
Популярные ГДЗ в 9 классе
3. Решение текстовых задач с использованием систем нелинейных уравнений с двумя переменными. I. Уравнения, неравенства с двумя переменными и их системы - номер 108, страница 37.
№108 (с. 37)
Условие. №108 (с. 37)
скриншот условия

108. a) Исследуйте, существует ли двузначное число, разность цифр которого равна 2, а сумма их квадратов – 52.
б) Если к двузначному числу прибавить удвоенную сумму его цифр, то получится 96. Если же это число умножить на сумму его цифр, то получится 952. Найдите это число.
Решение. №108 (с. 37)


Решение 2 (rus). №108 (с. 37)
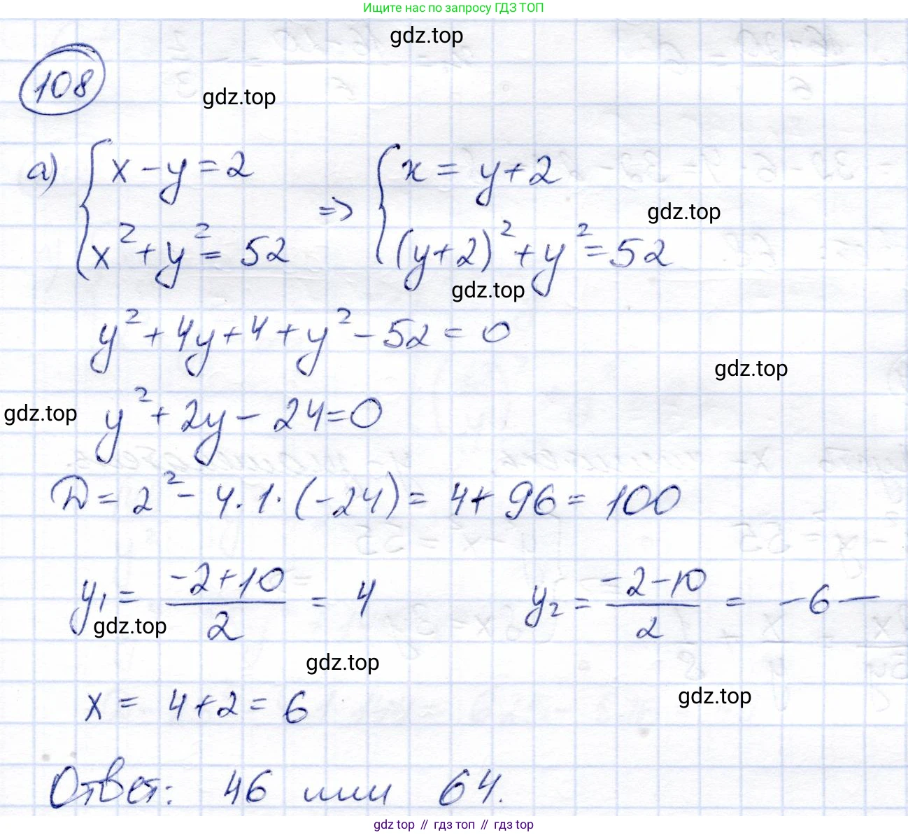
а) Пусть искомое двузначное число состоит из цифр $x$ (десятки) и $y$ (единицы), где $x \in \{1, 2, ..., 9\}$ и $y \in \{0, 1, ..., 9\}$.
По условию, разность цифр равна 2, а сумма их квадратов равна 52. Это можно записать в виде системы уравнений:
$|x - y| = 2$
$x^2 + y^2 = 52$
Уравнение $|x - y| = 2$ равносильно двум случаям: $x - y = 2$ или $y - x = 2$.
Случай 1: $x - y = 2$.
Из этого уравнения выразим $x$: $x = y + 2$. Подставим это выражение во второе уравнение системы:
$(y + 2)^2 + y^2 = 52$
$y^2 + 4y + 4 + y^2 = 52$
$2y^2 + 4y - 48 = 0$
Разделив на 2, получим: $y^2 + 2y - 24 = 0$.
Корни этого квадратного уравнения: $y_1 = 4$ и $y_2 = -6$. Так как $y$ - это цифра, значение $y = -6$ не подходит.
При $y = 4$ находим $x = y + 2 = 4 + 2 = 6$.
Получаем число 64. Проверим: разность цифр $6 - 4 = 2$, сумма квадратов $6^2 + 4^2 = 36 + 16 = 52$. Условия выполнены.
Случай 2: $y - x = 2$.
Выразим $y$: $y = x + 2$. Подставим во второе уравнение:
$x^2 + (x + 2)^2 = 52$
$x^2 + x^2 + 4x + 4 = 52$
$2x^2 + 4x - 48 = 0$
$x^2 + 2x - 24 = 0$.
Корни этого уравнения: $x_1 = 4$ и $x_2 = -6$. Так как $x$ - цифра десятков, она не может быть отрицательной. Значит, $x = 4$.
При $x = 4$ находим $y = x + 2 = 4 + 2 = 6$.
Получаем число 46. Проверим: разность цифр $|4 - 6| = 2$, сумма квадратов $4^2 + 6^2 = 16 + 36 = 52$. Условия выполнены.
Таким образом, мы нашли два числа (64 и 46), удовлетворяющих условиям, что доказывает их существование.
Ответ: Да, существует. Например, числа 64 и 46.
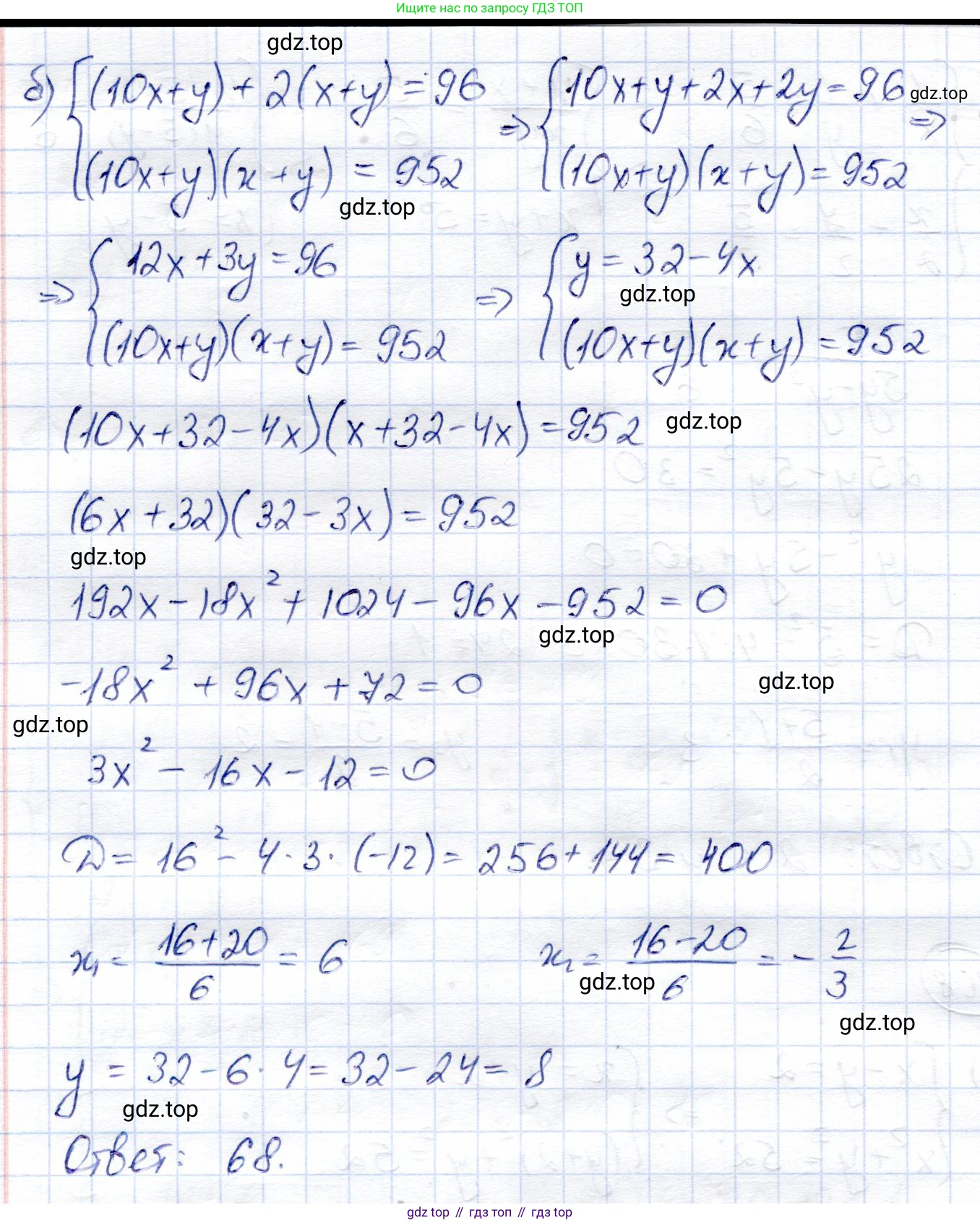
б) Пусть искомое двузначное число можно записать как $10x + y$, где $x$ - цифра десятков ($x \in \{1, ..., 9\}$), а $y$ - цифра единиц ($y \in \{0, ..., 9\}$). Сумма его цифр равна $x + y$.
Из первого условия задачи составим уравнение: "если к двузначному числу прибавить удвоенную сумму его цифр, то получится 96".
$(10x + y) + 2(x + y) = 96$
$10x + y + 2x + 2y = 96$
$12x + 3y = 96$
Разделим обе части уравнения на 3:
$4x + y = 32$
Из второго условия составим уравнение: "если это число умножить на сумму его цифр, то получится 952".
$(10x + y)(x + y) = 952$
Получили систему двух уравнений с двумя переменными:
$\begin{cases} 4x + y = 32 \\ (10x + y)(x + y) = 952 \end{cases}$
Из первого уравнения выразим $y$ через $x$: $y = 32 - 4x$.
Подставим это выражение для $y$ во второе уравнение:
$(10x + (32 - 4x))(x + (32 - 4x)) = 952$
$(6x + 32)(32 - 3x) = 952$
Раскроем скобки:
$192x - 18x^2 + 1024 - 96x = 952$
Приведем подобные члены и перенесем все в левую часть:
$-18x^2 + 96x + 1024 - 952 = 0$
$-18x^2 + 96x + 72 = 0$
Чтобы упростить уравнение, разделим все его члены на -6:
$3x^2 - 16x - 12 = 0$
Решим полученное квадратное уравнение. Найдем дискриминант:
$D = b^2 - 4ac = (-16)^2 - 4 \cdot 3 \cdot (-12) = 256 + 144 = 400 = 20^2$
Найдем корни уравнения:
$x_1 = \frac{-b + \sqrt{D}}{2a} = \frac{16 + 20}{2 \cdot 3} = \frac{36}{6} = 6$
$x_2 = \frac{-b - \sqrt{D}}{2a} = \frac{16 - 20}{2 \cdot 3} = \frac{-4}{6} = -\frac{2}{3}$
Так как $x$ - это цифра десятков двузначного числа, она должна быть целым числом от 1 до 9. Следовательно, корень $x_2 = -2/3$ не подходит.
Единственное возможное значение для $x$ - это 6.
Теперь найдем соответствующее значение $y$:
$y = 32 - 4x = 32 - 4 \cdot 6 = 32 - 24 = 8$.
Значение $y=8$ является цифрой от 0 до 9.
Таким образом, искомое число состоит из цифры десятков $x=6$ и цифры единиц $y=8$. Это число 68.
Ответ: 68.
Другие задания:
Помогло решение? Оставьте отзыв в комментариях ниже.
Присоединяйтесь к Телеграм-группе @top_gdz
ПрисоединитьсяМы подготовили для вас ответ c подробным объяснением домашего задания по алгебре за 9 класс, для упражнения номер 108 расположенного на странице 37 к учебнику 2019 года издания для учащихся школ и гимназий.
Теперь на нашем сайте ГДЗ.ТОП вы всегда легко и бесплатно найдёте условие с правильным ответом на вопрос «Как решить ДЗ» и «Как сделать» задание по алгебре к упражнению №108 (с. 37), авторов: Солтан (Генадий Николаевич), Солтан (Алла Евгеньевна), Жумадилова (Аманбала Жумадиловна), учебного пособия издательства Кокшетау.