Номер 103, страница 36 - гдз по алгебре 9 класс учебник Солтан, Солтан

Авторы: Солтан Г. Н., Солтан А. Е., Жумадилова А. Ж.
Тип: Учебник
Издательство: Кокшетау
Год издания: 2019 - 2025
Цвет обложки:
ISBN: 978-601-317-424-2
Рекомендовано Министерством образования и науки Республики Казахстан
Популярные ГДЗ в 9 классе
3. Решение текстовых задач с использованием систем нелинейных уравнений с двумя переменными. I. Уравнения, неравенства с двумя переменными и их системы - номер 103, страница 36.
№103 (с. 36)
Условие. №103 (с. 36)
скриншот условия


103. Известно, что некоторая обыкновенная дробь не изменится, если к ее числителю прибавить 2, а к знаменателю 3. Если же к знаменателю прибавить 6, а к числителю 1, то дробь уменьшится на $\frac{1}{3}$. Найдите эту дробь.
Решение. №103 (с. 36)

Решение 2 (rus). №103 (с. 36)
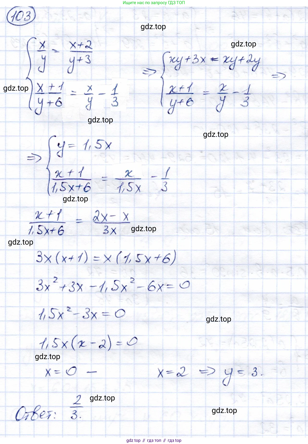
Пусть искомая обыкновенная дробь равна $ \frac{x}{y} $, где $x$ – числитель, а $y$ – знаменатель ($y \neq 0$).
Согласно первому условию, если к числителю прибавить 2, а к знаменателю 3, дробь не изменится. Запишем это в виде уравнения:
$ \frac{x}{y} = \frac{x+2}{y+3} $
Используя основное свойство пропорции (произведение крайних членов равно произведению средних), получаем:
$ x(y+3) = y(x+2) $
$ xy + 3x = xy + 2y $
Вычитая $xy$ из обеих частей, получаем связь между $x$ и $y$:
$ 3x = 2y $
Из этого уравнения можно выразить $x$ через $y$: $ x = \frac{2}{3}y $.
Согласно второму условию, если к знаменателю прибавить 6, а к числителю 1, то дробь уменьшится на $ \frac{1}{3} $. Запишем второе уравнение:
$ \frac{x}{y} - \frac{x+1}{y+6} = \frac{1}{3} $
Теперь у нас есть система из двух уравнений. Подставим выражение для $x$, полученное из первого условия ($ x = \frac{2}{3}y $), во второе уравнение:
$ \frac{\frac{2}{3}y}{y} - \frac{\frac{2}{3}y + 1}{y+6} = \frac{1}{3} $
Упростим первый член уравнения:
$ \frac{2}{3} - \frac{\frac{2y+3}{3}}{y+6} = \frac{1}{3} $
$ \frac{2}{3} - \frac{2y+3}{3(y+6)} = \frac{1}{3} $
Выразим дробь, содержащую неизвестное $y$:
$ \frac{2}{3} - \frac{1}{3} = \frac{2y+3}{3(y+6)} $
$ \frac{1}{3} = \frac{2y+3}{3(y+6)} $
Умножим обе части уравнения на 3:
$ 1 = \frac{2y+3}{y+6} $
Отсюда следует, что знаменатель равен числителю:
$ y+6 = 2y+3 $
Решаем полученное линейное уравнение:
$ 6 - 3 = 2y - y $
$ y = 3 $
Зная $y$, найдем $x$ из соотношения $ 3x = 2y $:
$ 3x = 2 \cdot 3 $
$ 3x = 6 $
$ x = 2 $
Следовательно, искомая дробь равна $ \frac{2}{3} $.
Проверка:
1. Первое условие: если к числителю прибавить 2, а к знаменателю 3, получим $ \frac{2+2}{3+3} = \frac{4}{6} $. Сократив дробь $ \frac{4}{6} $ на 2, получим $ \frac{2}{3} $. Дробь не изменилась, условие выполнено.
2. Второе условие: если к числителю прибавить 1, а к знаменателю 6, получим $ \frac{2+1}{3+6} = \frac{3}{9} $. Сократив дробь $ \frac{3}{9} $ на 3, получим $ \frac{1}{3} $. Разница между исходной и новой дробью составляет $ \frac{2}{3} - \frac{1}{3} = \frac{1}{3} $. Дробь уменьшилась на $ \frac{1}{3} $, условие выполнено.
Ответ: $ \frac{2}{3} $
Другие задания:
Помогло решение? Оставьте отзыв в комментариях ниже.
Присоединяйтесь к Телеграм-группе @top_gdz
ПрисоединитьсяМы подготовили для вас ответ c подробным объяснением домашего задания по алгебре за 9 класс, для упражнения номер 103 расположенного на странице 36 к учебнику 2019 года издания для учащихся школ и гимназий.
Теперь на нашем сайте ГДЗ.ТОП вы всегда легко и бесплатно найдёте условие с правильным ответом на вопрос «Как решить ДЗ» и «Как сделать» задание по алгебре к упражнению №103 (с. 36), авторов: Солтан (Генадий Николаевич), Солтан (Алла Евгеньевна), Жумадилова (Аманбала Жумадиловна), учебного пособия издательства Кокшетау.