Номер 1017, страница 262 - гдз по алгебре 9 класс учебник Солтан, Солтан

Авторы: Солтан Г. Н., Солтан А. Е., Жумадилова А. Ж.
Тип: Учебник
Издательство: Кокшетау
Год издания: 2019 - 2025
Цвет обложки:
ISBN: 978-601-317-424-2
Рекомендовано Министерством образования и науки Республики Казахстан
Популярные ГДЗ в 9 классе
Функции. Повторение курса алгебры 7-9 классов - номер 1017, страница 262.
№1017 (с. 262)
Условие. №1017 (с. 262)
скриншот условия

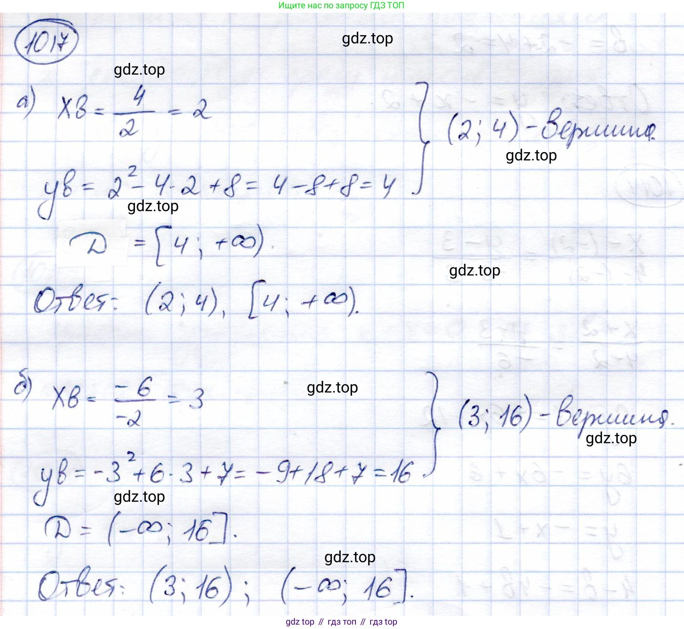
1017. Найдите координаты вершины параболы и множество значений функции:
а) $y = x^2 - 4x + 8$;
б) $y = -x^2 + 6x + 7$.
Решение. №1017 (с. 262)

Решение 2 (rus). №1017 (с. 262)
а) Для функции $y = x^2 - 4x + 8$.
Это квадратичная функция вида $y = ax^2 + bx + c$, где $a = 1$, $b = -4$, $c = 8$. Графиком является парабола.
Координаты вершины параболы $(x_0, y_0)$ можно найти по формулам:
$x_0 = -\frac{b}{2a}$
$y_0 = y(x_0)$
Вычислим абсциссу вершины:
$x_0 = -\frac{-4}{2 \cdot 1} = \frac{4}{2} = 2$.
Теперь подставим значение $x_0 = 2$ в уравнение функции, чтобы найти ординату вершины:
$y_0 = (2)^2 - 4(2) + 8 = 4 - 8 + 8 = 4$.
Таким образом, координаты вершины параболы равны $(2, 4)$.
Чтобы найти множество значений функции, нужно определить направление ветвей параболы. Так как коэффициент $a = 1 > 0$, ветви параболы направлены вверх. Это значит, что в вершине парабола достигает своего минимального значения.
Минимальное значение функции равно ординате вершины, то есть $y_{min} = 4$.
Следовательно, множество значений функции (область значений) — это все числа от 4 включительно до плюс бесконечности.
Ответ: координаты вершины $(2, 4)$; множество значений функции $E(y) = [4, +\infty)$.
б) Для функции $y = -x^2 + 6x + 7$.
Это квадратичная функция, где $a = -1$, $b = 6$, $c = 7$. Графиком является парабола.
Найдем координаты вершины параболы $(x_0, y_0)$.
Вычислим абсциссу вершины:
$x_0 = -\frac{b}{2a} = -\frac{6}{2 \cdot (-1)} = -\frac{6}{-2} = 3$.
Подставим значение $x_0 = 3$ в уравнение функции, чтобы найти ординату вершины:
$y_0 = -(3)^2 + 6(3) + 7 = -9 + 18 + 7 = 16$.
Таким образом, координаты вершины параболы равны $(3, 16)$.
Для определения множества значений функции посмотрим на знак коэффициента $a$. Так как $a = -1 < 0$, ветви параболы направлены вниз. Это значит, что в вершине парабола достигает своего максимального значения.
Максимальное значение функции равно ординате вершины, то есть $y_{max} = 16$.
Следовательно, множество значений функции — это все числа от минус бесконечности до 16 включительно.
Ответ: координаты вершины $(3, 16)$; множество значений функции $E(y) = (-\infty, 16]$.
Другие задания:
Помогло решение? Оставьте отзыв в комментариях ниже.
Присоединяйтесь к Телеграм-группе @top_gdz
ПрисоединитьсяМы подготовили для вас ответ c подробным объяснением домашего задания по алгебре за 9 класс, для упражнения номер 1017 расположенного на странице 262 к учебнику 2019 года издания для учащихся школ и гимназий.
Теперь на нашем сайте ГДЗ.ТОП вы всегда легко и бесплатно найдёте условие с правильным ответом на вопрос «Как решить ДЗ» и «Как сделать» задание по алгебре к упражнению №1017 (с. 262), авторов: Солтан (Генадий Николаевич), Солтан (Алла Евгеньевна), Жумадилова (Аманбала Жумадиловна), учебного пособия издательства Кокшетау.