Номер 1048, страница 266 - гдз по алгебре 9 класс учебник Солтан, Солтан

Авторы: Солтан Г. Н., Солтан А. Е., Жумадилова А. Ж.
Тип: Учебник
Издательство: Кокшетау
Год издания: 2019 - 2025
Цвет обложки:
ISBN: 978-601-317-424-2
Рекомендовано Министерством образования и науки Республики Казахстан
Популярные ГДЗ в 9 классе
Элементы статистики, комбинаторики и теории вероятностей. Повторение курса алгебры 7-9 классов - номер 1048, страница 266.
№1048 (с. 266)
Условие. №1048 (с. 266)
скриншот условия

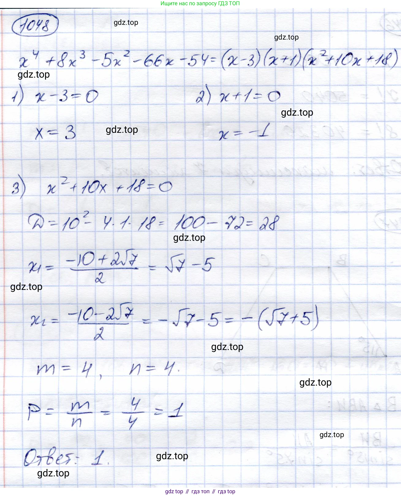
1048. Какова вероятность того, что наугад взятое число из множества ${-(\sqrt{7} + 5); \sqrt{7} - 5; -1; 3}$ является корнем многочлена $x^4 + 8x^3 - 5x^2 - 66x - 54$?
Решение. №1048 (с. 266)

Решение 2 (rus). №1048 (с. 266)
Для того чтобы найти вероятность того, что наугад взятое число из множества является корнем многочлена, необходимо сначала определить, какие из этих чисел действительно являются корнями. Вероятность будет равна отношению количества корней в множестве к общему количеству чисел в этом множестве.
Исходное множество чисел: $S = \{-(\sqrt{7} + 5); \sqrt{7} - 5; -1; 3\}$. Всего в множестве 4 числа, следовательно, общее число исходов $n=4$.
Исходный многочлен: $P(x) = x^4 + 8x^3 - 5x^2 - 66x - 54$.
Число является корнем многочлена, если при подстановке этого числа вместо $x$ значение многочлена обращается в ноль. Проверим каждое число из множества.
Проверка числа -1
Подставим $x = -1$ в многочлен:
$P(-1) = (-1)^4 + 8(-1)^3 - 5(-1)^2 - 66(-1) - 54$
$P(-1) = 1 - 8 - 5 + 66 - 54 = 67 - 67 = 0$
Поскольку $P(-1)=0$, число -1 является корнем многочлена.
Проверка числа 3
Подставим $x = 3$ в многочлен:
$P(3) = 3^4 + 8(3)^3 - 5(3)^2 - 66(3) - 54$
$P(3) = 81 + 8 \cdot 27 - 5 \cdot 9 - 198 - 54 = 81 + 216 - 45 - 198 - 54 = 297 - 297 = 0$
Поскольку $P(3)=0$, число 3 является корнем многочлена.
Проверка чисел $-(\sqrt{7} + 5)$ и $\sqrt{7} - 5$
Поскольку мы уже нашли два целых корня ($x_1 = -1$ и $x_2 = 3$), мы можем разделить исходный многочлен на произведение $(x-x_1)(x-x_2) = (x+1)(x-3) = x^2 - 2x - 3$. Это позволит нам найти остальные корни.
Выполним деление многочлена $x^4 + 8x^3 - 5x^2 - 66x - 54$ на $x^2 - 2x - 3$:
$(x^4 + 8x^3 - 5x^2 - 66x - 54) \div (x^2 - 2x - 3) = x^2 + 10x + 18$.
Таким образом, многочлен можно разложить на множители: $P(x) = (x^2 - 2x - 3)(x^2 + 10x + 18)$.
Оставшиеся корни многочлена являются корнями квадратного уравнения $x^2 + 10x + 18 = 0$. Найдем их с помощью формулы корней квадратного уравнения:
$x = \frac{-b \pm \sqrt{b^2-4ac}}{2a} = \frac{-10 \pm \sqrt{10^2 - 4 \cdot 1 \cdot 18}}{2} = \frac{-10 \pm \sqrt{100-72}}{2} = \frac{-10 \pm \sqrt{28}}{2} = \frac{-10 \pm 2\sqrt{7}}{2} = -5 \pm \sqrt{7}$.
Итак, два других корня это $x_3 = -5 + \sqrt{7}$ и $x_4 = -5 - \sqrt{7}$.
Теперь сравним эти корни с оставшимися числами из нашего множества:
Число $\sqrt{7} - 5$ равно $-5 + \sqrt{7}$, что совпадает с $x_3$. Следовательно, это корень.
Число $-(\sqrt{7} + 5)$ равно $-5 - \sqrt{7}$, что совпадает с $x_4$. Следовательно, это тоже корень.
В результате проверки мы установили, что все четыре числа из заданного множества являются корнями многочлена. Таким образом, количество благоприятных исходов $m=4$.
Вероятность события равна отношению числа благоприятных исходов к общему числу исходов:
$P = \frac{m}{n} = \frac{4}{4} = 1$.
Ответ: 1.
Другие задания:
Помогло решение? Оставьте отзыв в комментариях ниже.
Присоединяйтесь к Телеграм-группе @top_gdz
ПрисоединитьсяМы подготовили для вас ответ c подробным объяснением домашего задания по алгебре за 9 класс, для упражнения номер 1048 расположенного на странице 266 к учебнику 2019 года издания для учащихся школ и гимназий.
Теперь на нашем сайте ГДЗ.ТОП вы всегда легко и бесплатно найдёте условие с правильным ответом на вопрос «Как решить ДЗ» и «Как сделать» задание по алгебре к упражнению №1048 (с. 266), авторов: Солтан (Генадий Николаевич), Солтан (Алла Евгеньевна), Жумадилова (Аманбала Жумадиловна), учебного пособия издательства Кокшетау.