Номер 1050, страница 266 - гдз по алгебре 9 класс учебник Солтан, Солтан

Авторы: Солтан Г. Н., Солтан А. Е., Жумадилова А. Ж.
Тип: Учебник
Издательство: Кокшетау
Год издания: 2019 - 2025
Цвет обложки:
ISBN: 978-601-317-424-2
Рекомендовано Министерством образования и науки Республики Казахстан
Популярные ГДЗ в 9 классе
Элементы статистики, комбинаторики и теории вероятностей. Повторение курса алгебры 7-9 классов - номер 1050, страница 266.
№1050 (с. 266)
Условие. №1050 (с. 266)
скриншот условия

1050.
1A) Вычислите: a) $\frac{5 \cdot (3 \cdot 7^9 - 19 \cdot 7^8)}{7^{10} + 3 \cdot 7^9}$; б) $\frac{(\sqrt{7} + \sqrt{2})^2 - 2\sqrt{14}}{(\sqrt{10} - 1)(\sqrt{10} + 1)}$
2A) Решите систему уравнений $\begin{cases} x^2 - y^2 = 7, \\ x^2 + y^2 = 25. \end{cases}$
3A) Найдите сумму всех натуральных чисел, кратных 8 и не превышающих 142.
4B) Найдите наибольшее и наименьшее значения выражения $\frac{\sqrt{3}}{2} \cos \alpha - \frac{1}{2} \sin \alpha$
5C) Найдите площадь фигуры, координаты всех точек которой являются решениями системы неравенств $\begin{cases} y \geq -|x + 1| - 1; \\ x^2 + 2x + 2y + y^2 \leq 7. \end{cases}$
Решение. №1050 (с. 266)



Решение 2 (rus). №1050 (с. 266)
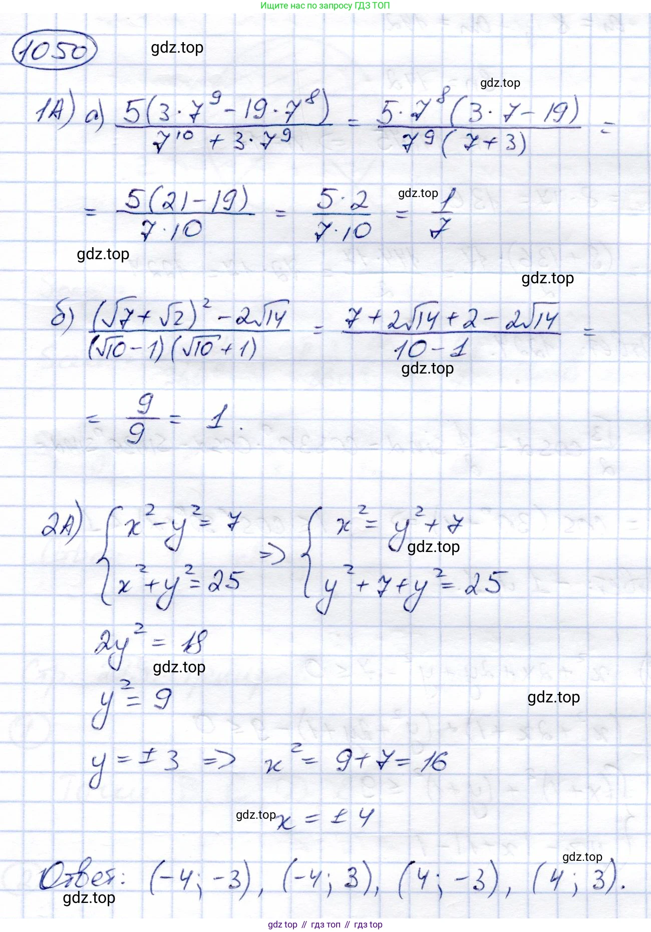
1A) а)Упростим числитель и знаменатель выражения, вынеся за скобки общий множитель.
В числителе вынесем за скобки $7^8$:
$5 \cdot (3 \cdot 7^9 - 19 \cdot 7^8) = 5 \cdot (3 \cdot 7 \cdot 7^8 - 19 \cdot 7^8) = 5 \cdot 7^8 \cdot (21 - 19) = 5 \cdot 7^8 \cdot 2 = 10 \cdot 7^8$.
В знаменателе вынесем за скобки $7^9$:
$7^{10} + 3 \cdot 7^9 = 7 \cdot 7^9 + 3 \cdot 7^9 = 7^9 \cdot (7 + 3) = 10 \cdot 7^9$.
Теперь разделим полученный числитель на знаменатель:
$\frac{10 \cdot 7^8}{10 \cdot 7^9} = \frac{7^8}{7^9} = 7^{8-9} = 7^{-1} = \frac{1}{7}$.
Ответ: $\frac{1}{7}$.
1A) б)Упростим числитель и знаменатель по отдельности.
В числителе применим формулу квадрата суммы $(a+b)^2 = a^2 + 2ab + b^2$:
$(\sqrt{7} + \sqrt{2})^2 - 2\sqrt{14} = ((\sqrt{7})^2 + 2\sqrt{7}\sqrt{2} + (\sqrt{2})^2) - 2\sqrt{14} = (7 + 2\sqrt{14} + 2) - 2\sqrt{14} = 9 + 2\sqrt{14} - 2\sqrt{14} = 9$.
В знаменателе применим формулу разности квадратов $(a-b)(a+b) = a^2 - b^2$:
$(\sqrt{10} - 1)(\sqrt{10} + 1) = (\sqrt{10})^2 - 1^2 = 10 - 1 = 9$.
Разделим числитель на знаменатель: $\frac{9}{9} = 1$.
Ответ: $1$.
2A)Дана система уравнений: $\begin{cases} x^2 - y^2 = 7 \\ x^2 + y^2 = 25 \end{cases}$.
Сложим два уравнения системы:
$(x^2 - y^2) + (x^2 + y^2) = 7 + 25$
$2x^2 = 32$
$x^2 = 16$, откуда получаем два значения для $x$: $x_1 = 4$ и $x_2 = -4$.
Теперь подставим найденное значение $x^2 = 16$ во второе уравнение системы, чтобы найти $y$:
$16 + y^2 = 25$
$y^2 = 25 - 16$
$y^2 = 9$, откуда получаем два значения для $y$: $y_1 = 3$ и $y_2 = -3$.
Комбинируя возможные значения $x$ и $y$, получаем четыре решения системы:
$(4, 3)$, $(4, -3)$, $(-4, 3)$, $(-4, -3)$.
Ответ: $(4, 3), (4, -3), (-4, 3), (-4, -3)$.
3A)Нам нужно найти сумму всех натуральных чисел, кратных 8 и не превышающих 142. Эти числа образуют арифметическую прогрессию.
Первый член прогрессии $a_1 = 8$.
Разность прогрессии $d = 8$.
Найдем последний член прогрессии $a_n$, который не превышает 142. Для этого разделим 142 на 8: $142 \div 8 = 17.75$.
Значит, в прогрессии 17 членов ($n=17$), и последний член равен $a_{17} = 8 \cdot 17 = 136$.
Сумму первых $n$ членов арифметической прогрессии можно найти по формуле $S_n = \frac{a_1 + a_n}{2} \cdot n$.
Подставим наши значения: $S_{17} = \frac{8 + 136}{2} \cdot 17 = \frac{144}{2} \cdot 17 = 72 \cdot 17 = 1224$.
Ответ: $1224$.
4B)Рассмотрим выражение $\frac{\sqrt{3}}{2} \cos \alpha - \frac{1}{2} \sin \alpha$.
Это выражение можно свернуть, используя тригонометрическую формулу косинуса суммы: $\cos(x+y) = \cos x \cos y - \sin x \sin y$.
Заметим, что $\frac{\sqrt{3}}{2} = \cos(\frac{\pi}{6})$ и $\frac{1}{2} = \sin(\frac{\pi}{6})$.
Тогда исходное выражение можно переписать в виде:
$\cos(\frac{\pi}{6})\cos \alpha - \sin(\frac{\pi}{6})\sin \alpha = \cos(\alpha + \frac{\pi}{6})$.
Функция $f(t) = \cos t$ принимает значения в диапазоне от -1 до 1.
Следовательно, наибольшее значение выражения $\cos(\alpha + \frac{\pi}{6})$ равно 1, а наименьшее значение равно -1.
Ответ: Наибольшее значение: 1, наименьшее значение: -1.
5C)Рассмотрим систему неравенств $\begin{cases} y \ge -|x+1| - 1 \\ x^2+2x+2y+y^2 \le 7 \end{cases}$.
Сначала преобразуем второе неравенство, выделив полные квадраты:
$x^2+2x+1 + y^2+2y+1 \le 7+1+1$
$(x+1)^2 + (y+1)^2 \le 9$.
Это неравенство задает круг с центром в точке $C(-1, -1)$ и радиусом $R = \sqrt{9} = 3$. Площадь этого круга $S_{круга} = \pi R^2 = 9\pi$.
Теперь рассмотрим первое неравенство: $y \ge -|x+1| - 1$. Оно задает область на плоскости, лежащую выше графика функции $y = -|x+1| - 1$.
График этой функции - это V-образная кривая, перевернутая вниз, с вершиной в точке $V(-1, -1)$, которая совпадает с центром нашего круга.
Ветви этой кривой - это два луча, заданные уравнениями $y = -x-2$ (при $x \ge -1$) и $y = x$ (при $x < -1$).
Угловые коэффициенты этих прямых равны $k_1 = -1$ и $k_2 = 1$. Так как их произведение $k_1 \cdot k_2 = -1$, прямые перпендикулярны.
Эти две перпендикулярные прямые проходят через центр круга и делят его на четыре равных сектора. Неравенство $y \ge -|x+1| - 1$ описывает область "над" V-образной кривой, которая вырезает из круга три из четырех секторов.
Таким образом, искомая площадь составляет $\frac{3}{4}$ от площади всего круга.
$S = \frac{3}{4} S_{круга} = \frac{3}{4} \cdot 9\pi = \frac{27\pi}{4}$.
Ответ: $\frac{27\pi}{4}$.
Другие задания:
Помогло решение? Оставьте отзыв в комментариях ниже.
Присоединяйтесь к Телеграм-группе @top_gdz
ПрисоединитьсяМы подготовили для вас ответ c подробным объяснением домашего задания по алгебре за 9 класс, для упражнения номер 1050 расположенного на странице 266 к учебнику 2019 года издания для учащихся школ и гимназий.
Теперь на нашем сайте ГДЗ.ТОП вы всегда легко и бесплатно найдёте условие с правильным ответом на вопрос «Как решить ДЗ» и «Как сделать» задание по алгебре к упражнению №1050 (с. 266), авторов: Солтан (Генадий Николаевич), Солтан (Алла Евгеньевна), Жумадилова (Аманбала Жумадиловна), учебного пособия издательства Кокшетау.