Номер 197, страница 58 - гдз по алгебре 9 класс учебник Солтан, Солтан

Авторы: Солтан Г. Н., Солтан А. Е., Жумадилова А. Ж.
Тип: Учебник
Издательство: Кокшетау
Год издания: 2019 - 2025
Цвет обложки:
ISBN: 978-601-317-424-2
Рекомендовано Министерством образования и науки Республики Казахстан
Популярные ГДЗ в 9 классе
6. Упражнения на повторение раздела «Уравнения, неравенства с двумя переменными и их системы». I. Уравнения, неравенства с двумя переменными и их системы - номер 197, страница 58.
№197 (с. 58)
Условие. №197 (с. 58)
скриншот условия

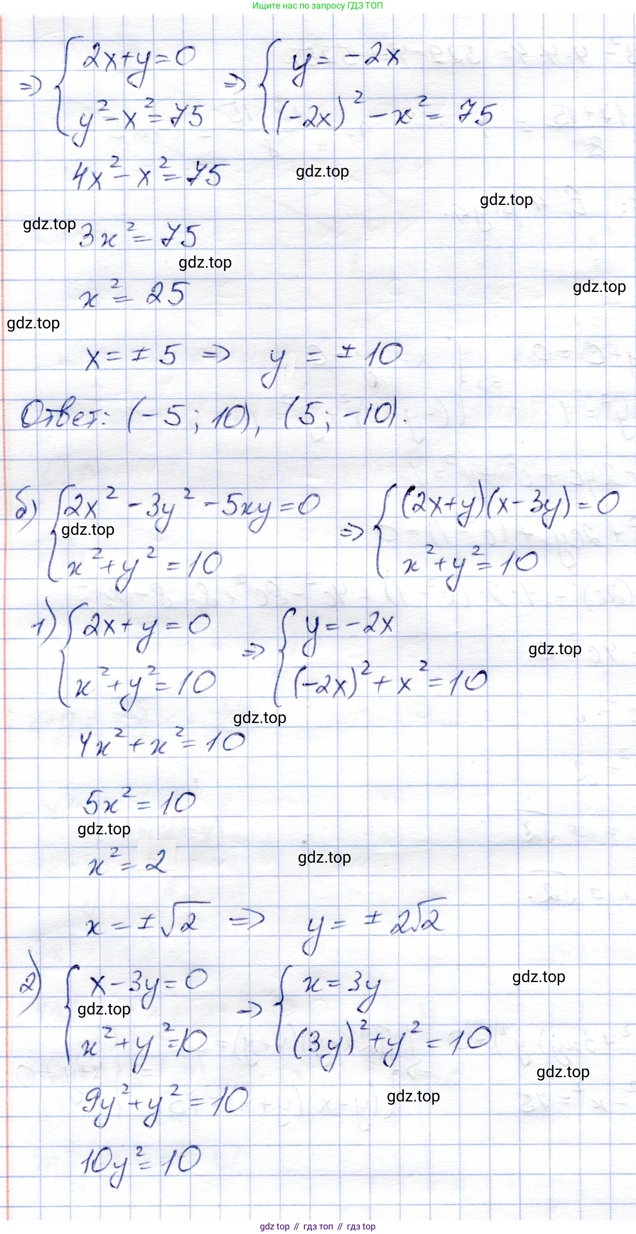
197. Решите систему, первое из уравнений которой можно рассматривать как квадратное относительно любой из переменных или новой переменной $t = \frac{x}{y}$:
a)
$\begin{cases} 2x^2 + 3xy + y^2 = 0, \\ y^2 - x^2 = 75; \end{cases}$
б)
$\begin{cases} 2x^2 - 3y^2 - 5xy = 0, \\ x^2 + y^2 = 10. \end{cases}$
Решение. №197 (с. 58)



Решение 2 (rus). №197 (с. 58)
а)
Дана система уравнений:
$ \begin{cases} 2x^2 + 3xy + y^2 = 0 \\ y^2 - x^2 = 75 \end{cases} $
Первое уравнение системы является однородным уравнением второй степени. Заметим, что $y \neq 0$, так как если $y=0$, то из первого уравнения следует $2x^2=0$, то есть $x=0$. Но пара $(0,0)$ не удовлетворяет второму уравнению ($0^2-0^2 \neq 75$).
Разделим обе части первого уравнения на $y^2$:
$2\left(\frac{x}{y}\right)^2 + 3\left(\frac{x}{y}\right) + 1 = 0$
Сделаем замену $t = \frac{x}{y}$. Получим квадратное уравнение относительно $t$:
$2t^2 + 3t + 1 = 0$
Найдем корни этого уравнения. Дискриминант $D = 3^2 - 4 \cdot 2 \cdot 1 = 9 - 8 = 1$.
$t_1 = \frac{-3 - \sqrt{1}}{2 \cdot 2} = \frac{-4}{4} = -1$
$t_2 = \frac{-3 + \sqrt{1}}{2 \cdot 2} = \frac{-2}{4} = -\frac{1}{2}$
Возвращаемся к исходным переменным. Рассмотрим два случая.
Случай 1: $\frac{x}{y} = -1$, откуда $x = -y$.
Подставим это выражение во второе уравнение системы:
$y^2 - (-y)^2 = 75$
$y^2 - y^2 = 75$
$0 = 75$
Получено неверное равенство, следовательно, в этом случае решений нет.
Случай 2: $\frac{x}{y} = -\frac{1}{2}$, откуда $y = -2x$.
Подставим это выражение во второе уравнение системы:
$(-2x)^2 - x^2 = 75$
$4x^2 - x^2 = 75$
$3x^2 = 75$
$x^2 = 25$
Отсюда $x_1 = 5$ и $x_2 = -5$.
Найдем соответствующие значения $y$ из соотношения $y = -2x$:
Если $x_1 = 5$, то $y_1 = -2 \cdot 5 = -10$.
Если $x_2 = -5$, то $y_2 = -2 \cdot (-5) = 10$.
Таким образом, система имеет две пары решений.
Ответ: $(5, -10), (-5, 10)$.
б)
Дана система уравнений:
$ \begin{cases} 2x^2 - 3y^2 - 5xy = 0 \\ x^2 + y^2 = 10 \end{cases} $
Перепишем первое уравнение в более привычном виде: $2x^2 - 5xy - 3y^2 = 0$. Это однородное уравнение второй степени. Как и в предыдущем пункте, $y \neq 0$ (и $x \neq 0$), так как пара $(0,0)$ не является решением второго уравнения ($0^2+0^2 \neq 10$).
Разделим обе части первого уравнения на $y^2 \neq 0$:
$2\left(\frac{x}{y}\right)^2 - 5\left(\frac{x}{y}\right) - 3 = 0$
Сделаем замену $t = \frac{x}{y}$ и решим полученное квадратное уравнение:
$2t^2 - 5t - 3 = 0$
Дискриминант $D = (-5)^2 - 4 \cdot 2 \cdot (-3) = 25 + 24 = 49 = 7^2$.
$t_1 = \frac{5 - 7}{2 \cdot 2} = \frac{-2}{4} = -\frac{1}{2}$
$t_2 = \frac{5 + 7}{2 \cdot 2} = \frac{12}{4} = 3$
Возвращаемся к исходным переменным. Рассмотрим два случая.
Случай 1: $\frac{x}{y} = -\frac{1}{2}$, откуда $y = -2x$.
Подставим это выражение во второе уравнение системы:
$x^2 + (-2x)^2 = 10$
$x^2 + 4x^2 = 10$
$5x^2 = 10$
$x^2 = 2$
Отсюда $x_1 = \sqrt{2}$ и $x_2 = -\sqrt{2}$.
Найдем соответствующие значения $y$ из $y = -2x$:
Если $x_1 = \sqrt{2}$, то $y_1 = -2\sqrt{2}$.
Если $x_2 = -\sqrt{2}$, то $y_2 = 2\sqrt{2}$.
Получили две пары решений: $(\sqrt{2}, -2\sqrt{2})$ и $(-\sqrt{2}, 2\sqrt{2})$.
Случай 2: $\frac{x}{y} = 3$, откуда $x = 3y$.
Подставим это выражение во второе уравнение системы:
$(3y)^2 + y^2 = 10$
$9y^2 + y^2 = 10$
$10y^2 = 10$
$y^2 = 1$
Отсюда $y_3 = 1$ и $y_4 = -1$.
Найдем соответствующие значения $x$ из $x = 3y$:
Если $y_3 = 1$, то $x_3 = 3 \cdot 1 = 3$.
Если $y_4 = -1$, то $x_4 = 3 \cdot (-1) = -3$.
Получили еще две пары решений: $(3, 1)$ и $(-3, -1)$.
Ответ: $(\sqrt{2}, -2\sqrt{2}), (-\sqrt{2}, 2\sqrt{2}), (3, 1), (-3, -1)$.
Другие задания:
Помогло решение? Оставьте отзыв в комментариях ниже.
Присоединяйтесь к Телеграм-группе @top_gdz
ПрисоединитьсяМы подготовили для вас ответ c подробным объяснением домашего задания по алгебре за 9 класс, для упражнения номер 197 расположенного на странице 58 к учебнику 2019 года издания для учащихся школ и гимназий.
Теперь на нашем сайте ГДЗ.ТОП вы всегда легко и бесплатно найдёте условие с правильным ответом на вопрос «Как решить ДЗ» и «Как сделать» задание по алгебре к упражнению №197 (с. 58), авторов: Солтан (Генадий Николаевич), Солтан (Алла Евгеньевна), Жумадилова (Аманбала Жумадиловна), учебного пособия издательства Кокшетау.