Номер 228, страница 73 - гдз по алгебре 9 класс учебник Солтан, Солтан

Авторы: Солтан Г. Н., Солтан А. Е., Жумадилова А. Ж.
Тип: Учебник
Издательство: Кокшетау
Год издания: 2019 - 2025
Цвет обложки:
ISBN: 978-601-317-424-2
Рекомендовано Министерством образования и науки Республики Казахстан
Популярные ГДЗ в 9 классе
8. Перестановки без повторений. II. Элементы комбинаторики - номер 228, страница 73.
№228 (с. 73)
Условие. №228 (с. 73)
скриншот условия

228. Решите уравнение:
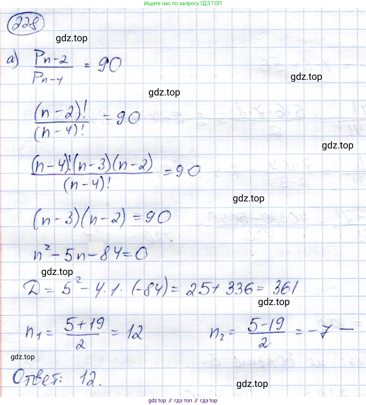
а) $\frac{P_{n-2}}{P_{n-4}} = 90$;
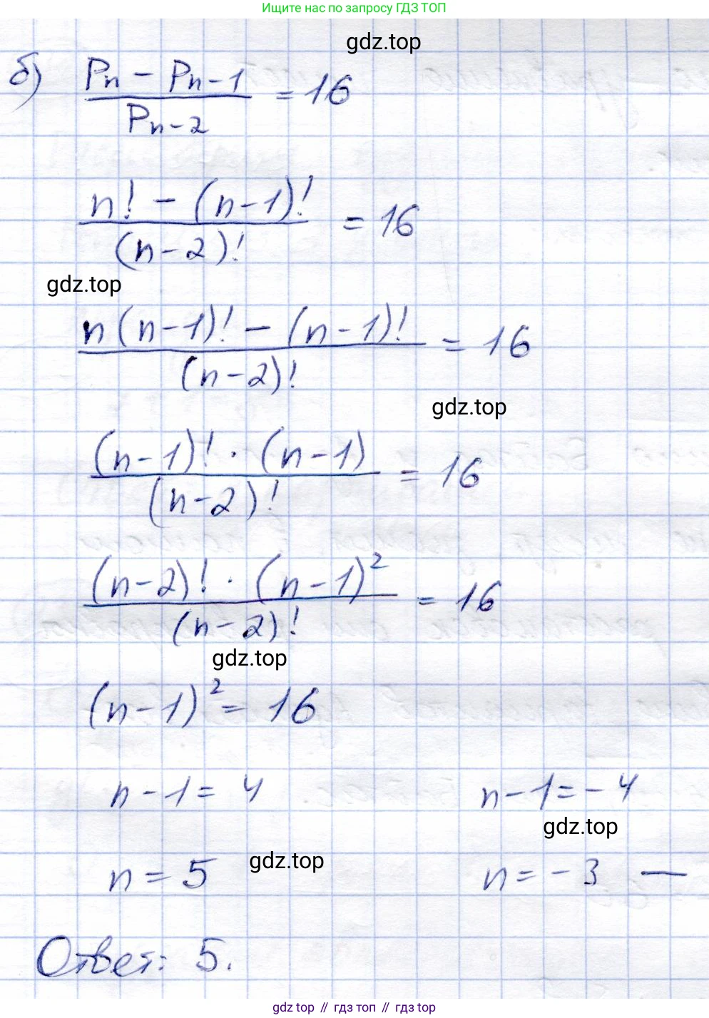
б) $\frac{P_n - P_{n-1}}{P_{n-2}} = 16$.
Решение. №228 (с. 73)


Решение 2 (rus). №228 (с. 73)
а) Исходное уравнение: $ \frac{P_{n-2}}{P_{n-4}} = 90 $. В комбинаторике $ P_k $ обозначает число перестановок из $ k $ элементов, то есть $ P_k = k! $. Уравнение принимает вид $ \frac{(n-2)!}{(n-4)!} = 90 $. Область допустимых значений (ОДЗ) для $ n $ определяется из условий, что аргументы факториалов должны быть неотрицательными целыми числами: $ n-2 \ge 0 $ и $ n-4 \ge 0 $. Из этих неравенств следует, что $ n $ — целое число и $ n \ge 4 $.
Упростим левую часть уравнения, используя свойство факториала $ k! = k \cdot (k-1) \cdot \ldots \cdot 1 $. Можно записать $ (n-2)! = (n-2) \cdot (n-3) \cdot (n-4)! $. Подставим это выражение в уравнение:
$ \frac{(n-2)(n-3)(n-4)!}{(n-4)!} = 90 $
Сократив дробь на $ (n-4)! $ (это возможно, так как в ОДЗ $ (n-4)! \ne 0 $), получаем квадратное уравнение:
$ (n-2)(n-3) = 90 $
Раскроем скобки и приведем уравнение к стандартному виду:
$ n^2 - 3n - 2n + 6 = 90 $
$ n^2 - 5n - 84 = 0 $
Решим это уравнение с помощью дискриминанта $ D = b^2 - 4ac $:
$ D = (-5)^2 - 4 \cdot 1 \cdot (-84) = 25 + 336 = 361 = 19^2 $
Найдем корни уравнения:
$ n_1 = \frac{-(-5) + \sqrt{361}}{2 \cdot 1} = \frac{5 + 19}{2} = \frac{24}{2} = 12 $
$ n_2 = \frac{-(-5) - \sqrt{361}}{2 \cdot 1} = \frac{5 - 19}{2} = \frac{-14}{2} = -7 $
Проверим корни на соответствие ОДЗ ($ n \ge 4 $). Корень $ n_1 = 12 $ удовлетворяет условию. Корень $ n_2 = -7 $ не удовлетворяет условию, поэтому является посторонним.
Ответ: $ n = 12 $.
б) Исходное уравнение: $ \frac{P_n - P_{n-1}}{P_{n-2}} = 16 $. Используя определение $ P_k = k! $, перепишем уравнение в виде:
$ \frac{n! - (n-1)!}{(n-2)!} = 16 $
Область допустимых значений определяется условиями $ n \ge 0 $, $ n-1 \ge 0 $ и $ n-2 \ge 0 $. Отсюда следует, что $ n $ — целое число и $ n \ge 2 $.
Упростим числитель дроби, вынеся за скобки общий множитель $ (n-1)! $:
$ n! - (n-1)! = n \cdot (n-1)! - 1 \cdot (n-1)! = (n-1) \cdot (n-1)! $
Подставим это в уравнение:
$ \frac{(n-1)(n-1)!}{(n-2)!} = 16 $
Так как $ (n-1)! = (n-1) \cdot (n-2)! $, то, подставив и сократив $ (n-2)! $, получим:
$ \frac{(n-1) \cdot (n-1) \cdot (n-2)!}{(n-2)!} = 16 $
$ (n-1)^2 = 16 $
Извлекая квадратный корень из обеих частей уравнения, получаем два возможных случая:
$ n-1 = 4 \quad \Rightarrow \quad n_1 = 5 $
$ n-1 = -4 \quad \Rightarrow \quad n_2 = -3 $
Сравним найденные корни с ОДЗ ($ n \ge 2 $). Корень $ n_1 = 5 $ удовлетворяет условию. Корень $ n_2 = -3 $ не удовлетворяет условию и является посторонним.
Ответ: $ n = 5 $.
Другие задания:
Помогло решение? Оставьте отзыв в комментариях ниже.
Присоединяйтесь к Телеграм-группе @top_gdz
ПрисоединитьсяМы подготовили для вас ответ c подробным объяснением домашего задания по алгебре за 9 класс, для упражнения номер 228 расположенного на странице 73 к учебнику 2019 года издания для учащихся школ и гимназий.
Теперь на нашем сайте ГДЗ.ТОП вы всегда легко и бесплатно найдёте условие с правильным ответом на вопрос «Как решить ДЗ» и «Как сделать» задание по алгебре к упражнению №228 (с. 73), авторов: Солтан (Генадий Николаевич), Солтан (Алла Евгеньевна), Жумадилова (Аманбала Жумадиловна), учебного пособия издательства Кокшетау.