Номер 244, страница 76 - гдз по алгебре 9 класс учебник Солтан, Солтан

Авторы: Солтан Г. Н., Солтан А. Е., Жумадилова А. Ж.
Тип: Учебник
Издательство: Кокшетау
Год издания: 2019 - 2025
Цвет обложки:
ISBN: 978-601-317-424-2
Рекомендовано Министерством образования и науки Республики Казахстан
Популярные ГДЗ в 9 классе
9. Размещения без повторений. II. Элементы комбинаторики - номер 244, страница 76.
№244 (с. 76)
Условие. №244 (с. 76)
скриншот условия

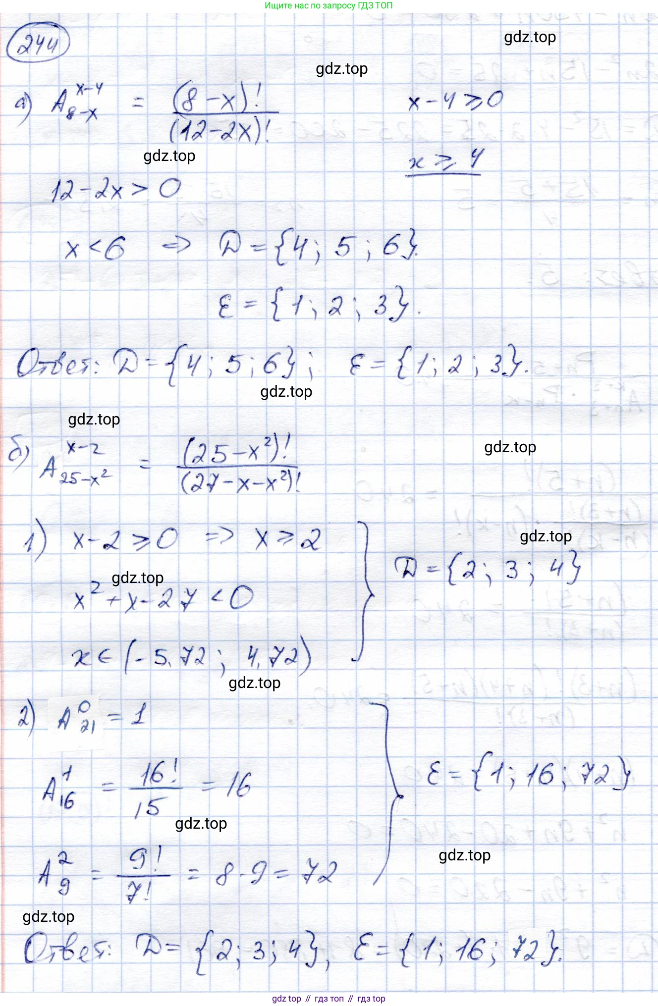
244. Найдите область определения и множество значений функции:
а) $f(x) = A_{8-x}^{x-4}$;
б) $f(x) = A_{25-x^2}^{x-2}$.
Решение. №244 (с. 76)

Решение 2 (rus). №244 (с. 76)
а) Для функции $f(x) = A_{8-x}^{x-4}$ область определения $D(f)$ находится из условий, которым должны удовлетворять параметры числа размещений $A_n^k$: $n$ и $k$ должны быть целыми неотрицательными числами, и должно выполняться неравенство $n \ge k$.
В данном случае $n = 8-x$ и $k = x-4$. Запишем эти условия в виде системы:
$ \begin{cases} 8-x \ge 0 \\ x-4 \ge 0 \\ 8-x \ge x-4 \\ 8-x \in \mathbb{Z} \\ x-4 \in \mathbb{Z} \end{cases} $
Из первых двух неравенств получаем $x \le 8$ и $x \ge 4$.
Третье неравенство $8-x \ge x-4$ преобразуется к виду $12 \ge 2x$, или $x \le 6$.
Последние два условия означают, что $x$ должно быть целым числом.
Объединяя все условия для $x$, получаем $4 \le x \le 6$ и $x \in \mathbb{Z}$.
Следовательно, область определения функции состоит из целых чисел $4, 5, 6$: $D(f) = \{4, 5, 6\}$.
Для нахождения множества значений $E(f)$ вычислим значения функции для каждого $x$ из области определения:
При $x = 4$: $f(4) = A_{8-4}^{4-4} = A_4^0 = 1$.
При $x = 5$: $f(5) = A_{8-5}^{5-4} = A_3^1 = 3$.
При $x = 6$: $f(6) = A_{8-6}^{6-4} = A_2^2 = 2! = 2$.
Таким образом, множество значений функции $E(f) = \{1, 2, 3\}$.
Ответ: Область определения $D(f) = \{4, 5, 6\}$, множество значений $E(f) = \{1, 2, 3\}$.
б) Для функции $f(x) = A_{25-x^2}^{x-2}$ область определения $D(f)$ находится из аналогичных условий: $n = 25-x^2$ и $k = x-2$ — целые неотрицательные числа, и $n \ge k$.
Запишем систему условий:
$ \begin{cases} 25-x^2 \ge 0 \\ x-2 \ge 0 \\ 25-x^2 \ge x-2 \\ 25-x^2 \in \mathbb{Z} \\ x-2 \in \mathbb{Z} \end{cases} $
Из первого неравенства $x^2 \le 25$ следует, что $-5 \le x \le 5$.
Из второго неравенства следует, что $x \ge 2$.
Условие $x-2 \in \mathbb{Z}$ означает, что $x$ является целым числом. Если $x$ целое, то и $25-x^2$ также является целым.
Третье неравенство $25-x^2 \ge x-2$ преобразуется к виду $x^2 + x - 27 \le 0$. Для его решения найдем корни уравнения $x^2 + x - 27 = 0$: $x = \frac{-1 \pm \sqrt{1^2 - 4(1)(-27)}}{2} = \frac{-1 \pm \sqrt{109}}{2}$.
Приближенные значения корней: $x_1 \approx -5.72$ и $x_2 \approx 4.72$. Так как ветви параболы $y=x^2+x-27$ направлены вверх, неравенство выполняется на отрезке между корнями: $[\frac{-1 - \sqrt{109}}{2}, \frac{-1 + \sqrt{109}}{2}]$.
Объединим все условия для целого числа $x$: $x \in \mathbb{Z}$ и $2 \le x \le 5$ и $\frac{-1 - \sqrt{109}}{2} \le x \le \frac{-1 + \sqrt{109}}{2}$. Это равносильно $2 \le x \le 4.72$.
Следовательно, область определения функции состоит из целых чисел $2, 3, 4$: $D(f) = \{2, 3, 4\}$.
Для нахождения множества значений $E(f)$ вычислим значения функции для каждого $x$ из области определения:
При $x = 2$: $f(2) = A_{25-2^2}^{2-2} = A_{21}^0 = 1$.
При $x = 3$: $f(3) = A_{25-3^2}^{3-2} = A_{16}^1 = 16$.
При $x = 4$: $f(4) = A_{25-4^2}^{4-2} = A_9^2 = \frac{9!}{(9-2)!} = 9 \cdot 8 = 72$.
Таким образом, множество значений функции $E(f) = \{1, 16, 72\}$.
Ответ: Область определения $D(f) = \{2, 3, 4\}$, множество значений $E(f) = \{1, 16, 72\}$.
Другие задания:
Помогло решение? Оставьте отзыв в комментариях ниже.
Присоединяйтесь к Телеграм-группе @top_gdz
ПрисоединитьсяМы подготовили для вас ответ c подробным объяснением домашего задания по алгебре за 9 класс, для упражнения номер 244 расположенного на странице 76 к учебнику 2019 года издания для учащихся школ и гимназий.
Теперь на нашем сайте ГДЗ.ТОП вы всегда легко и бесплатно найдёте условие с правильным ответом на вопрос «Как решить ДЗ» и «Как сделать» задание по алгебре к упражнению №244 (с. 76), авторов: Солтан (Генадий Николаевич), Солтан (Алла Евгеньевна), Жумадилова (Аманбала Жумадиловна), учебного пособия издательства Кокшетау.