Номер 266, страница 81 - гдз по алгебре 9 класс учебник Солтан, Солтан

Авторы: Солтан Г. Н., Солтан А. Е., Жумадилова А. Ж.
Тип: Учебник
Издательство: Кокшетау
Год издания: 2019 - 2025
Цвет обложки:
ISBN: 978-601-317-424-2
Рекомендовано Министерством образования и науки Республики Казахстан
Популярные ГДЗ в 9 классе
10. Сочетания без повторений. II. Элементы комбинаторики - номер 266, страница 81.
№266 (с. 81)
Условие. №266 (с. 81)
скриншот условия

266. Решите уравнение:
a) $3C_{n+1}^3 = (n+1)C_n^2;$
б) $C_n^3 + C_n^2 = 15(n-1);$
в) $3C_n^3 = 2C_n^5;$
г) $\frac{1}{C_4^k} - \frac{1}{C_5^k} = \frac{1}{C_6^k}.$
Решение. №266 (с. 81)



Решение 2 (rus). №266 (с. 81)
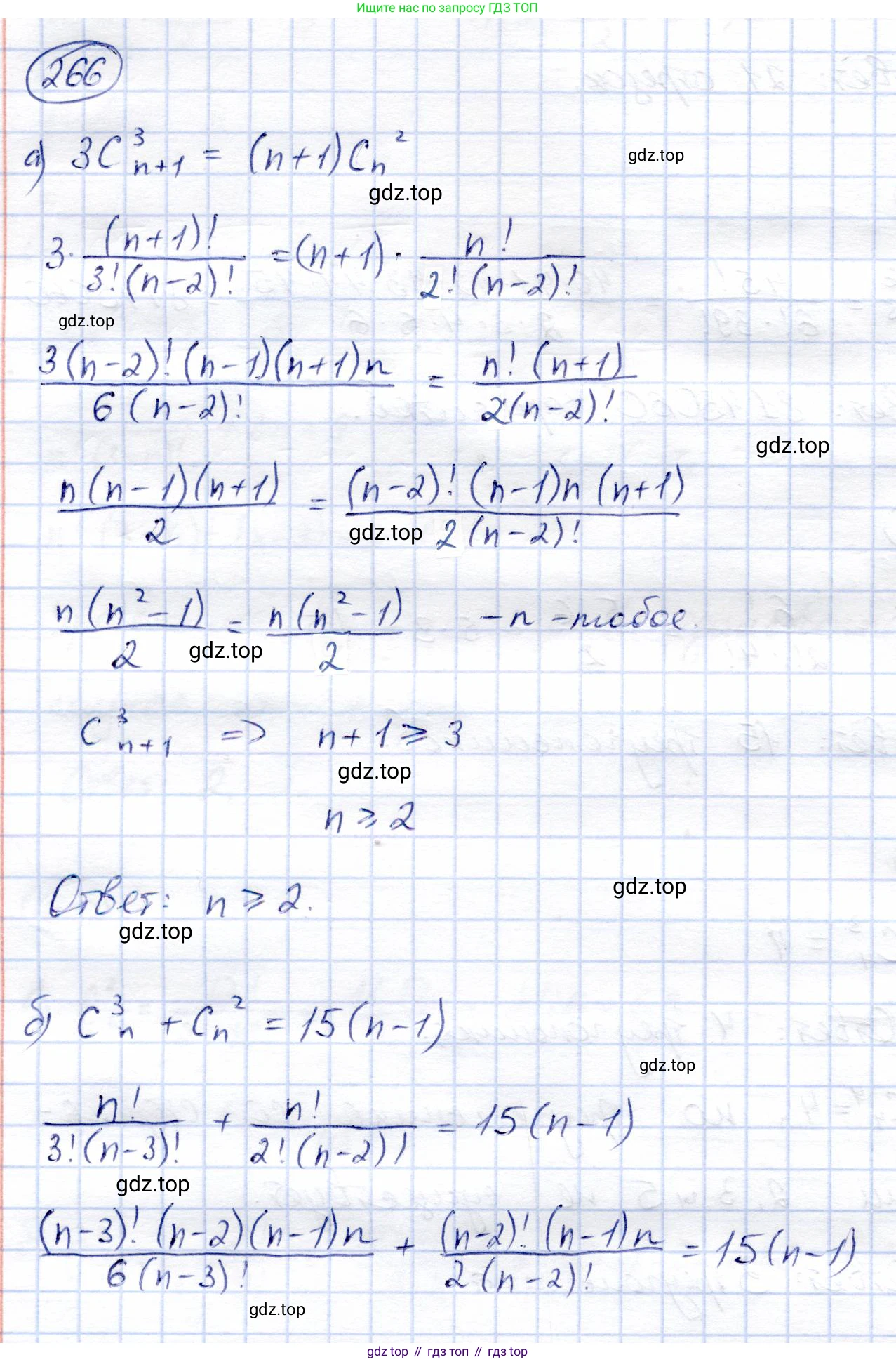
а) Исходное уравнение: $3C_{n+1}^3 = (n+1)C_n^2$. Сначала определим область допустимых значений (ОДЗ) для $n$. Число сочетаний $C_n^k$ определено для целых $n$ и $k$ при условии $n \ge k \ge 0$. Для $C_{n+1}^3$ необходимо, чтобы $n+1 \ge 3$, то есть $n \ge 2$. Для $C_n^2$ необходимо, чтобы $n \ge 2$. Таким образом, ОДЗ для данного уравнения: $n$ - целое число, $n \ge 2$. Воспользуемся формулой для числа сочетаний $C_n^k = \frac{n!}{k!(n-k)!}$. $C_{n+1}^3 = \frac{(n+1)!}{3!(n+1-3)!} = \frac{(n+1)!}{6(n-2)!} = \frac{(n+1)n(n-1)}{6}$. $C_n^2 = \frac{n!}{2!(n-2)!} = \frac{n(n-1)}{2}$. Подставим эти выражения в исходное уравнение: $3 \cdot \frac{(n+1)n(n-1)}{6} = (n+1) \cdot \frac{n(n-1)}{2}$. Упрощая левую часть, получаем $\frac{(n+1)n(n-1)}{2} = \frac{(n+1)n(n-1)}{2}$. Это тождество, верное для всех $n$ из ОДЗ. Также можно было воспользоваться тождеством $kC_m^k = mC_{m-1}^{k-1}$. При $m=n+1$ и $k=3$ левая часть уравнения $3C_{n+1}^3$ равна $(n+1)C_{n+1-1}^{3-1} = (n+1)C_n^2$, что в точности совпадает с правой частью. Следовательно, решением уравнения являются все целые числа $n$, удовлетворяющие ОДЗ. Ответ: $n \in \{2, 3, 4, ...\}$, или $n$ - любое целое число, $n \ge 2$.
б) Исходное уравнение: $C_n^3 + C_n^2 = 15(n-1)$. ОДЗ: для $C_n^3$ нужно $n \ge 3$, для $C_n^2$ нужно $n \ge 2$. Объединяя, получаем $n \ge 3$ и $n$ - целое число. Воспользуемся свойством сочетаний (правило Паскаля): $C_n^k + C_n^{k-1} = C_{n+1}^k$. Применяя это свойство к левой части уравнения, получаем $C_n^3 + C_n^2 = C_{n+1}^3$. Таким образом, уравнение принимает вид $C_{n+1}^3 = 15(n-1)$. Распишем $C_{n+1}^3$ по формуле: $C_{n+1}^3 = \frac{(n+1)n(n-1)}{3 \cdot 2 \cdot 1} = \frac{(n+1)n(n-1)}{6}$. Подставим в уравнение: $\frac{(n+1)n(n-1)}{6} = 15(n-1)$. Поскольку $n \ge 3$, то $n-1 \ne 0$, и мы можем разделить обе части на $(n-1)$: $\frac{(n+1)n}{6} = 15$. Отсюда $n(n+1) = 90$. Получаем квадратное уравнение $n^2 + n - 90 = 0$. По теореме Виета, корни $n_1$ и $n_2$ удовлетворяют условиям $n_1 \cdot n_2 = -90$ и $n_1 + n_2 = -1$. Легко подобрать корни: $n_1 = 9$ и $n_2 = -10$. Проверяем корни по ОДЗ ($n \ge 3$). Корень $n_2 = -10$ не подходит. Корень $n_1 = 9$ подходит. Ответ: $n = 9$.
в) Исходное уравнение: $3C_n^3 = 2C_n^5$. ОДЗ: для $C_n^3$ нужно $n \ge 3$, для $C_n^5$ нужно $n \ge 5$. Объединяя, получаем $n \ge 5$ и $n$ - целое число. Распишем сочетания по формуле: $C_n^3 = \frac{n(n-1)(n-2)}{6}$ и $C_n^5 = \frac{n(n-1)(n-2)(n-3)(n-4)}{120}$. Подставим в уравнение: $3 \cdot \frac{n(n-1)(n-2)}{6} = 2 \cdot \frac{n(n-1)(n-2)(n-3)(n-4)}{120}$. После упрощения: $\frac{n(n-1)(n-2)}{2} = \frac{n(n-1)(n-2)(n-3)(n-4)}{60}$. Так как $n \ge 5$, множитель $n(n-1)(n-2)$ не равен нулю, на него можно сократить: $\frac{1}{2} = \frac{(n-3)(n-4)}{60}$. Отсюда $30 = (n-3)(n-4)$, что приводит к уравнению $30 = n^2 - 7n + 12$ или $n^2 - 7n - 18 = 0$. Решим квадратное уравнение. Дискриминант $D = (-7)^2 - 4(1)(-18) = 49 + 72 = 121 = 11^2$. Корни $n_{1,2} = \frac{7 \pm 11}{2}$. Получаем $n_1 = \frac{18}{2} = 9$ и $n_2 = \frac{-4}{2} = -2$. Проверяем корни по ОДЗ ($n \ge 5$). Корень $n_2 = -2$ не подходит. Корень $n_1 = 9$ подходит. Ответ: $n = 9$.
г) Исходное уравнение: $\frac{1}{C_4^k} - \frac{1}{C_5^k} = \frac{1}{C_6^k}$. ОДЗ: здесь неизвестная $k$ находится в нижнем индексе. Условия для определения сочетаний: для $C_4^k$ нужно $4 \ge k \ge 0$; для $C_5^k$ нужно $5 \ge k \ge 0$; для $C_6^k$ нужно $6 \ge k \ge 0$. Объединяя все условия, получаем ОДЗ: $k$ - целое число, $0 \le k \le 4$. Перепишем уравнение, используя формулу $C_n^k = \frac{n!}{k!(n-k)!}$: $\frac{k!(4-k)!}{4!} - \frac{k!(5-k)!}{5!} = \frac{k!(6-k)!}{6!}$. Так как $k \ge 0$, $k! \ne 0$, можно разделить обе части на $k!$: $\frac{(4-k)!}{4!} - \frac{(5-k)!}{5!} = \frac{(6-k)!}{6!}$. Представим $(5-k)! = (5-k)(4-k)!$ и $(6-k)! = (6-k)(5-k)(4-k)!$. Также $5! = 5 \cdot 4!$ и $6! = 30 \cdot 4!$. Уравнение примет вид $\frac{(4-k)!}{4!} - \frac{(5-k)(4-k)!}{5 \cdot 4!} = \frac{(6-k)(5-k)(4-k)!}{30 \cdot 4!}$. Сократим на общий множитель $\frac{(4-k)!}{4!}$ (он не равен нулю, так как $k \le 4$): $1 - \frac{5-k}{5} = \frac{(6-k)(5-k)}{30}$. Приведем левую часть к общему знаменателю: $\frac{5 - (5-k)}{5} = \frac{(6-k)(5-k)}{30}$, что дает $\frac{k}{5} = \frac{k^2 - 11k + 30}{30}$. Умножим обе части на 30: $6k = k^2 - 11k + 30$. Получаем квадратное уравнение $k^2 - 17k + 30 = 0$. По теореме Виета, корни $k_1 \cdot k_2 = 30$ и $k_1 + k_2 = 17$. Корни: $k_1 = 2$ и $k_2 = 15$. Проверяем корни по ОДЗ ($0 \le k \le 4$). Корень $k_2 = 15$ не подходит. Корень $k_1 = 2$ подходит. Ответ: $k = 2$.
Другие задания:
Помогло решение? Оставьте отзыв в комментариях ниже.
Присоединяйтесь к Телеграм-группе @top_gdz
ПрисоединитьсяМы подготовили для вас ответ c подробным объяснением домашего задания по алгебре за 9 класс, для упражнения номер 266 расположенного на странице 81 к учебнику 2019 года издания для учащихся школ и гимназий.
Теперь на нашем сайте ГДЗ.ТОП вы всегда легко и бесплатно найдёте условие с правильным ответом на вопрос «Как решить ДЗ» и «Как сделать» задание по алгебре к упражнению №266 (с. 81), авторов: Солтан (Генадий Николаевич), Солтан (Алла Евгеньевна), Жумадилова (Аманбала Жумадиловна), учебного пособия издательства Кокшетау.