Номер 270, страница 81 - гдз по алгебре 9 класс учебник Солтан, Солтан

Авторы: Солтан Г. Н., Солтан А. Е., Жумадилова А. Ж.
Тип: Учебник
Издательство: Кокшетау
Год издания: 2019 - 2025
Цвет обложки:
ISBN: 978-601-317-424-2
Рекомендовано Министерством образования и науки Республики Казахстан
Популярные ГДЗ в 9 классе
10. Сочетания без повторений. II. Элементы комбинаторики - номер 270, страница 81.
№270 (с. 81)
Условие. №270 (с. 81)
скриншот условия

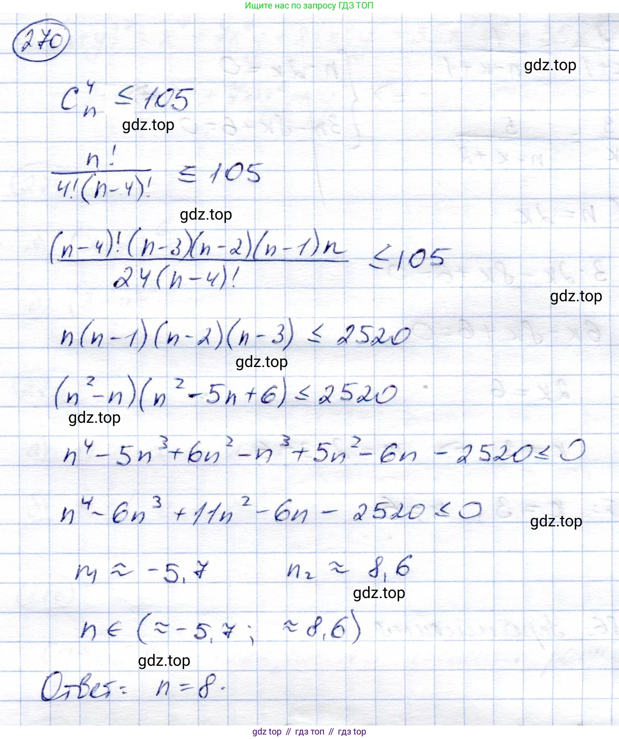
270. Покупатель решил рассмотреть все возможные варианты покупки 4 вещей из нескольких имеющихся. Продавец сказала, что ему для этого надо будет рассмотреть не больше 105 вариантов. Какое наибольшее количество вещей могло быть?
Решение. №270 (с. 81)

Решение 2 (rus). №270 (с. 81)
Пусть $n$ — это общее количество имеющихся вещей. Покупатель хочет выбрать 4 вещи из $n$. Поскольку порядок выбора вещей не имеет значения, мы имеем дело с сочетаниями.
Количество способов выбрать $k$ элементов из множества $n$ (число сочетаний из $n$ по $k$) вычисляется по формуле: $C_n^k = \frac{n!}{k!(n-k)!}$
В нашем случае покупатель выбирает $k=4$ вещи. По условию задачи, количество возможных вариантов не больше 105. Это можно записать в виде неравенства: $C_n^4 \le 105$
Распишем формулу для $C_n^4$: $C_n^4 = \frac{n(n-1)(n-2)(n-3)}{4 \cdot 3 \cdot 2 \cdot 1} = \frac{n(n-1)(n-2)(n-3)}{24}$
Подставим это выражение в наше неравенство: $\frac{n(n-1)(n-2)(n-3)}{24} \le 105$
Теперь решим это неравенство относительно $n$. Умножим обе части на 24: $n(n-1)(n-2)(n-3) \le 105 \cdot 24$ $n(n-1)(n-2)(n-3) \le 2520$
Нам нужно найти наибольшее целое число $n$ (причем $n \ge 4$), которое удовлетворяет этому неравенству. Будем проверять значения $n$ методом подбора.
При $n=8$:
$C_8^4 = \frac{8 \cdot 7 \cdot 6 \cdot 5}{24} = \frac{1680}{24} = 70$.
Неравенство $70 \le 105$ выполняется.
При $n=9$:
$C_9^4 = \frac{9 \cdot 8 \cdot 7 \cdot 6}{24} = \frac{3024}{24} = 126$.
Неравенство $126 \le 105$ не выполняется.
Так как функция $C_n^4$ является возрастающей для $n \ge 4$, то при $n > 8$ значения будут еще больше, и неравенство тем более не будет выполняться. Следовательно, наибольшее количество вещей, которое могло быть, — это 8.
Ответ: 8
Другие задания:
Помогло решение? Оставьте отзыв в комментариях ниже.
Присоединяйтесь к Телеграм-группе @top_gdz
ПрисоединитьсяМы подготовили для вас ответ c подробным объяснением домашего задания по алгебре за 9 класс, для упражнения номер 270 расположенного на странице 81 к учебнику 2019 года издания для учащихся школ и гимназий.
Теперь на нашем сайте ГДЗ.ТОП вы всегда легко и бесплатно найдёте условие с правильным ответом на вопрос «Как решить ДЗ» и «Как сделать» задание по алгебре к упражнению №270 (с. 81), авторов: Солтан (Генадий Николаевич), Солтан (Алла Евгеньевна), Жумадилова (Аманбала Жумадиловна), учебного пособия издательства Кокшетау.