Номер 286, страница 87 - гдз по алгебре 9 класс учебник Солтан, Солтан

Авторы: Солтан Г. Н., Солтан А. Е., Жумадилова А. Ж.
Тип: Учебник
Издательство: Кокшетау
Год издания: 2019 - 2025
Цвет обложки:
ISBN: 978-601-317-424-2
Рекомендовано Министерством образования и науки Республики Казахстан
Популярные ГДЗ в 9 классе
11. Бином Ньютона и его свойства. II. Элементы комбинаторики - номер 286, страница 87.
№286 (с. 87)
Условие. №286 (с. 87)
скриншот условия

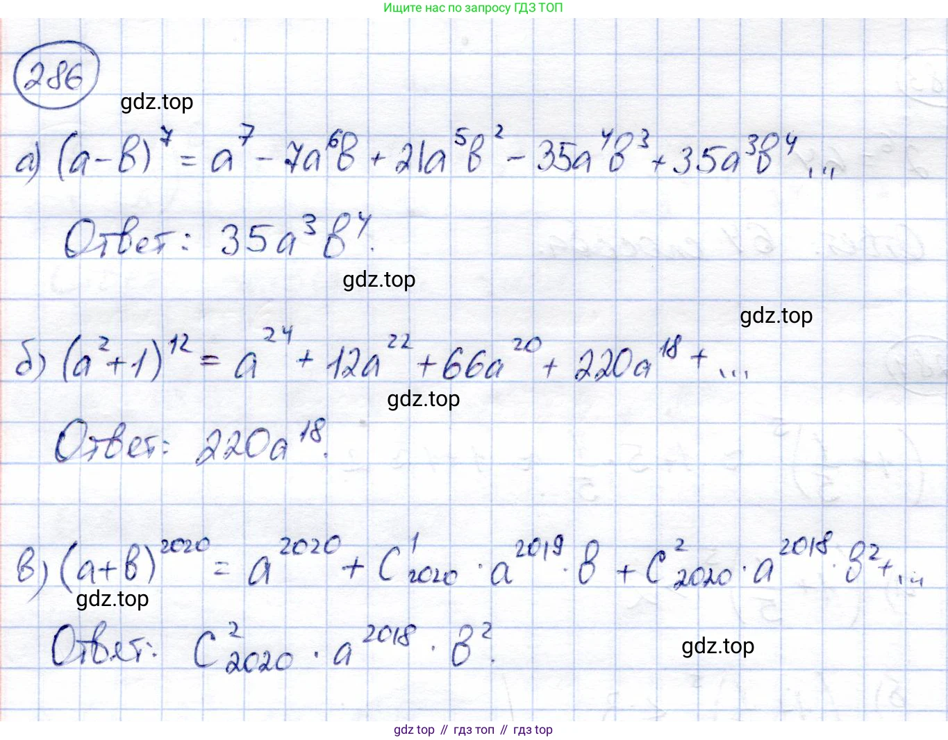
286. Запишите:
а) пятый член разложения бинома $(a - b)^7$;
б) четвертый член разложения бинома $(a^2 + 1)^{12}$;
в) третий член разложения бинома $(a + b)^{2020}.
Решение. №286 (с. 87)

Решение 2 (rus). №286 (с. 87)
Для решения задачи воспользуемся формулой $(k+1)$-го члена разложения бинома Ньютона $(x+y)^n$: $T_{k+1} = \binom{n}{k} x^{n-k} y^k$, где $\binom{n}{k} = \frac{n!}{k!(n-k)!}$ – биномиальный коэффициент.
а) Найдем пятый член разложения бинома $(a - b)^7$. В данном случае бином можно представить как $(a + (-b))^7$. Имеем: $x = a$, $y = -b$, $n = 7$. Мы ищем пятый член, следовательно, $k+1 = 5$, откуда $k=4$. Подставляем эти значения в формулу: $T_5 = \binom{7}{4} a^{7-4} (-b)^4$ Вычислим биномиальный коэффициент: $\binom{7}{4} = \frac{7!}{4!(7-4)!} = \frac{7!}{4!3!} = \frac{7 \cdot 6 \cdot 5}{3 \cdot 2 \cdot 1} = 35$. Вычислим степени: $a^{7-4} = a^3$. $(-b)^4 = b^4$ (так как степень четная). Таким образом, пятый член разложения равен: $T_5 = 35 a^3 b^4$.
Ответ: $35a^3b^4$.
б) Найдем четвертый член разложения бинома $(a^2 + 1)^{12}$. Имеем: $x = a^2$, $y = 1$, $n = 12$. Мы ищем четвертый член, следовательно, $k+1 = 4$, откуда $k=3$. Подставляем эти значения в формулу: $T_4 = \binom{12}{3} (a^2)^{12-3} (1)^3$ Вычислим биномиальный коэффициент: $\binom{12}{3} = \frac{12!}{3!(12-3)!} = \frac{12!}{3!9!} = \frac{12 \cdot 11 \cdot 10}{3 \cdot 2 \cdot 1} = 2 \cdot 11 \cdot 10 = 220$. Вычислим степени: $(a^2)^{12-3} = (a^2)^9 = a^{18}$. $(1)^3 = 1$. Таким образом, четвертый член разложения равен: $T_4 = 220 \cdot a^{18} \cdot 1 = 220a^{18}$.
Ответ: $220a^{18}$.
в) Найдем третий член разложения бинома $(a + b)^{2020}$. Имеем: $x = a$, $y = b$, $n = 2020$. Мы ищем третий член, следовательно, $k+1 = 3$, откуда $k=2$. Подставляем эти значения в формулу: $T_3 = \binom{2020}{2} a^{2020-2} b^2$ Вычислим биномиальный коэффициент: $\binom{2020}{2} = \frac{2020!}{2!(2020-2)!} = \frac{2020!}{2!2018!} = \frac{2020 \cdot 2019}{2} = 1010 \cdot 2019 = 2039190$. Вычислим степень для $a$: $a^{2020-2} = a^{2018}$. Таким образом, третий член разложения равен: $T_3 = 2039190 a^{2018} b^2$.
Ответ: $2039190a^{2018}b^2$.
Другие задания:
Помогло решение? Оставьте отзыв в комментариях ниже.
Присоединяйтесь к Телеграм-группе @top_gdz
ПрисоединитьсяМы подготовили для вас ответ c подробным объяснением домашего задания по алгебре за 9 класс, для упражнения номер 286 расположенного на странице 87 к учебнику 2019 года издания для учащихся школ и гимназий.
Теперь на нашем сайте ГДЗ.ТОП вы всегда легко и бесплатно найдёте условие с правильным ответом на вопрос «Как решить ДЗ» и «Как сделать» задание по алгебре к упражнению №286 (с. 87), авторов: Солтан (Генадий Николаевич), Солтан (Алла Евгеньевна), Жумадилова (Аманбала Жумадиловна), учебного пособия издательства Кокшетау.