Номер 287, страница 87 - гдз по алгебре 9 класс учебник Солтан, Солтан

Авторы: Солтан Г. Н., Солтан А. Е., Жумадилова А. Ж.
Тип: Учебник
Издательство: Кокшетау
Год издания: 2019 - 2025
Цвет обложки:
ISBN: 978-601-317-424-2
Рекомендовано Министерством образования и науки Республики Казахстан
Популярные ГДЗ в 9 классе
11. Бином Ньютона и его свойства. II. Элементы комбинаторики - номер 287, страница 87.
№287 (с. 87)
Условие. №287 (с. 87)
скриншот условия

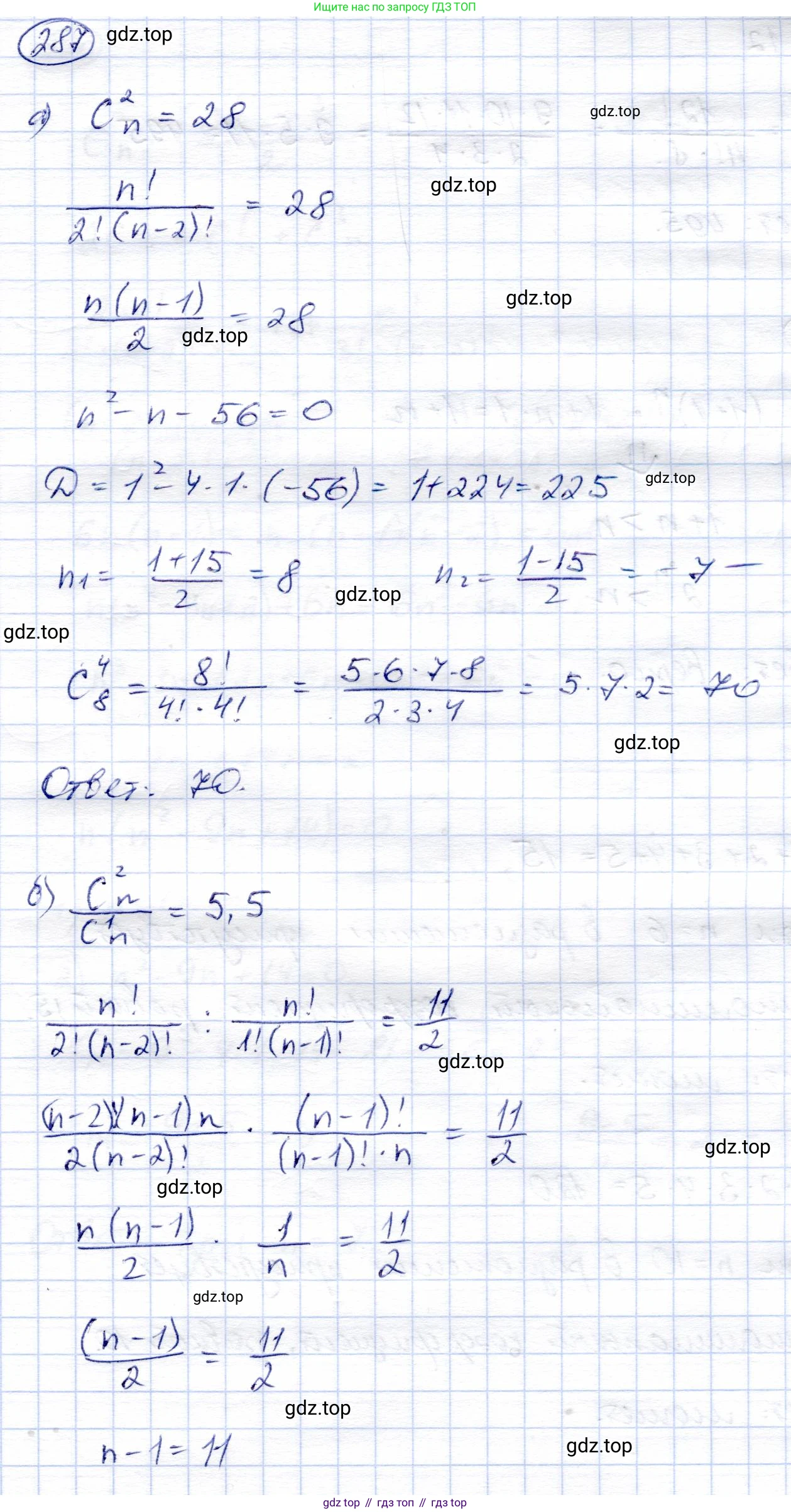
287. Найдите пятый биномиальный коэффициент в разложении бинома $(1+x)^n$, если:
а) третий биномиальный коэффициент равен 28;
б) отношение третьего биномиального коэффициента ко второму равно 5,5.
Решение. №287 (с. 87)


Решение 2 (rus). №287 (с. 87)
Общая формула для разложения бинома Ньютона $(1+x)^n$ имеет вид:
$(1+x)^n = C_n^0 + C_n^1 x + C_n^2 x^2 + \dots + C_n^k x^k + \dots + C_n^n x^n$
где биномиальные коэффициенты $C_n^k$ вычисляются по формуле $C_n^k = \frac{n!}{k!(n-k)!}$.
Нумерация коэффициентов начинается с нуля, поэтому $k$-ый по счету биномиальный коэффициент — это $C_n^{k-1}$.
Таким образом:
- Второй биномиальный коэффициент — это $C_n^1$.
- Третий биномиальный коэффициент — это $C_n^2$.
- Пятый биномиальный коэффициент (который нужно найти) — это $C_n^4$.
а)
По условию, третий биномиальный коэффициент равен 28. Запишем это в виде уравнения:
$C_n^2 = 28$
Используем формулу для биномиального коэффициента:
$C_n^2 = \frac{n!}{2!(n-2)!} = \frac{n(n-1)(n-2)!}{2 \cdot (n-2)!} = \frac{n(n-1)}{2}$
Теперь решим уравнение относительно $n$:
$\frac{n(n-1)}{2} = 28$
$n(n-1) = 56$
$n^2 - n - 56 = 0$
Это квадратное уравнение. Его корни можно найти по теореме Виета или через дискриминант. Заметим, что $56 = 8 \cdot 7$. Так как $n$ и $n-1$ — последовательные целые числа, то $n=8$. Второй корень уравнения $n=-7$ не подходит, так как степень бинома $n$ должна быть натуральным числом.
Итак, $n=8$. Теперь найдем пятый биномиальный коэффициент $C_n^4$ для $n=8$:
$C_8^4 = \frac{8!}{4!(8-4)!} = \frac{8!}{4!4!} = \frac{8 \cdot 7 \cdot 6 \cdot 5}{4 \cdot 3 \cdot 2 \cdot 1} = \frac{1680}{24} = 70$
Ответ: 70
б)
По условию, отношение третьего биномиального коэффициента ко второму равно 5,5.
$\frac{C_n^2}{C_n^1} = 5.5$
Запишем выражения для коэффициентов:
$C_n^2 = \frac{n(n-1)}{2}$
$C_n^1 = \frac{n!}{1!(n-1)!} = n$
Подставим их в уравнение:
$\frac{\frac{n(n-1)}{2}}{n} = 5.5$
Упростим выражение (при $n \neq 0$):
$\frac{n-1}{2} = 5.5$
$n-1 = 11$
$n=12$
Мы нашли степень бинома $n=12$. Теперь найдем пятый биномиальный коэффициент $C_n^4$ для $n=12$:
$C_{12}^4 = \frac{12!}{4!(12-4)!} = \frac{12!}{4!8!} = \frac{12 \cdot 11 \cdot 10 \cdot 9}{4 \cdot 3 \cdot 2 \cdot 1} = \frac{11880}{24} = 495$
Ответ: 495
Другие задания:
Помогло решение? Оставьте отзыв в комментариях ниже.
Присоединяйтесь к Телеграм-группе @top_gdz
ПрисоединитьсяМы подготовили для вас ответ c подробным объяснением домашего задания по алгебре за 9 класс, для упражнения номер 287 расположенного на странице 87 к учебнику 2019 года издания для учащихся школ и гимназий.
Теперь на нашем сайте ГДЗ.ТОП вы всегда легко и бесплатно найдёте условие с правильным ответом на вопрос «Как решить ДЗ» и «Как сделать» задание по алгебре к упражнению №287 (с. 87), авторов: Солтан (Генадий Николаевич), Солтан (Алла Евгеньевна), Жумадилова (Аманбала Жумадиловна), учебного пособия издательства Кокшетау.