Номер 306, страница 89 - гдз по алгебре 9 класс учебник Солтан, Солтан

Авторы: Солтан Г. Н., Солтан А. Е., Жумадилова А. Ж.
Тип: Учебник
Издательство: Кокшетау
Год издания: 2019 - 2025
Цвет обложки:
ISBN: 978-601-317-424-2
Рекомендовано Министерством образования и науки Республики Казахстан
Популярные ГДЗ в 9 классе
12. Упражнения на повторение раздела «Элементы комбинаторики». II. Элементы комбинаторики - номер 306, страница 89.
№306 (с. 89)
Условие. №306 (с. 89)
скриншот условия

306. Решите уравнение:
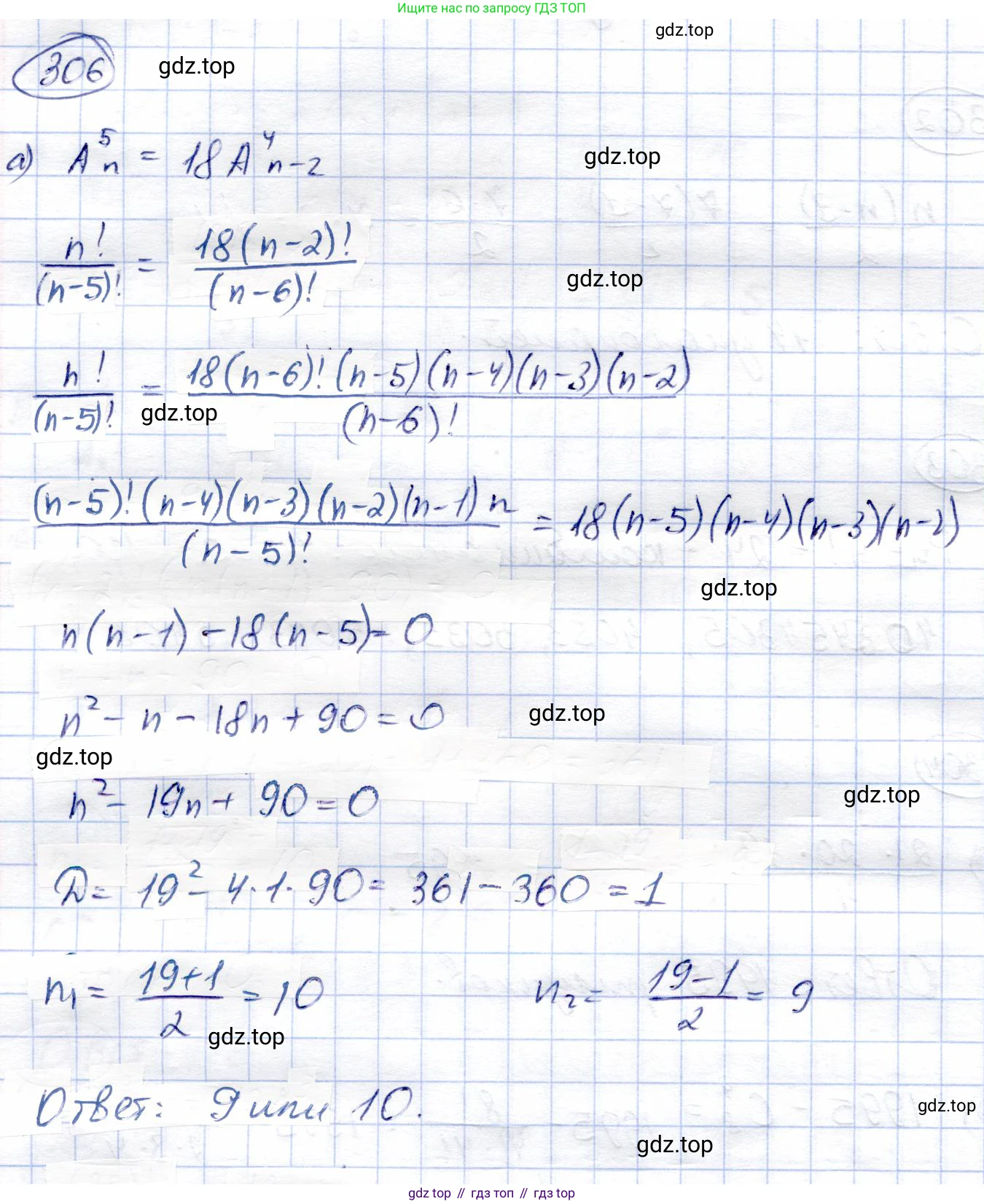
а) $A_n^5 = 18A_{n-2}^4$;
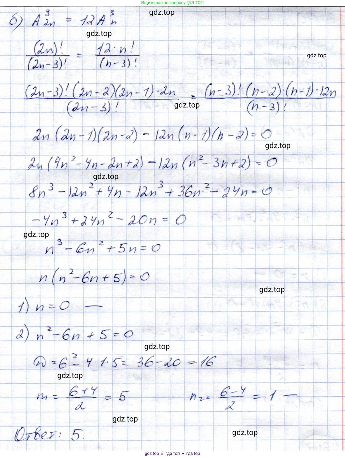
б) $A_{2n}^3 = 12A_n^3$;
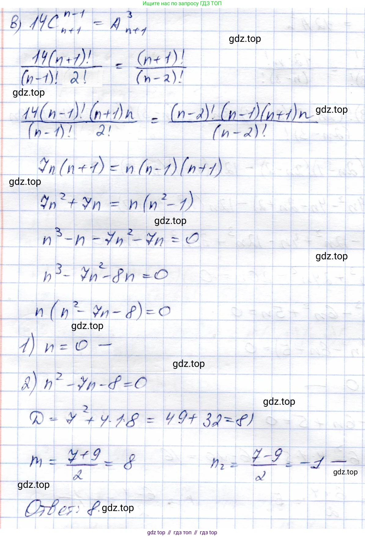
в) $14C_{n+1}^{n-1} = A_{n+1}^3$.
Решение. №306 (с. 89)



Решение 2 (rus). №306 (с. 89)
а) $A_n^5 = 18A_{n-2}^4$
Используем формулу для числа размещений: $A_n^k = \frac{n!}{(n-k)!} = n(n-1)...(n-k+1)$.
Область допустимых значений (ОДЗ) определяется условиями $n \ge 5$ и $n-2 \ge 4$, что в совокупности дает $n \ge 6$. Также $n$ должно быть натуральным числом.
Распишем левую и правую части уравнения:
$A_n^5 = n(n-1)(n-2)(n-3)(n-4)$
$A_{n-2}^4 = (n-2)(n-3)(n-4)(n-5)$
Подставим выражения в исходное уравнение:
$n(n-1)(n-2)(n-3)(n-4) = 18(n-2)(n-3)(n-4)(n-5)$
Поскольку по ОДЗ $n \ge 6$, то множители $(n-2)$, $(n-3)$ и $(n-4)$ не равны нулю. Можем разделить обе части уравнения на $(n-2)(n-3)(n-4)$:
$n(n-1) = 18(n-5)$
Раскроем скобки и решим полученное квадратное уравнение:
$n^2 - n = 18n - 90$
$n^2 - 19n + 90 = 0$
По теореме Виета находим корни:
$n_1 + n_2 = 19$
$n_1 \cdot n_2 = 90$
Отсюда $n_1 = 9$ и $n_2 = 10$.
Оба корня удовлетворяют ОДЗ ($n \ge 6$).
Ответ: $n=9, n=10$.
б) $A_{2n}^3 = 12A_n^3$
Используем ту же формулу для числа размещений.
ОДЗ: $2n \ge 3$ и $n \ge 3$. Из этих условий следует, что $n \ge 3$ и $n$ — натуральное число.
Распишем левую и правую части уравнения:
$A_{2n}^3 = 2n(2n-1)(2n-2) = 2n(2n-1) \cdot 2(n-1) = 4n(2n-1)(n-1)$
$A_n^3 = n(n-1)(n-2)$
Подставим в уравнение:
$4n(2n-1)(n-1) = 12n(n-1)(n-2)$
Согласно ОДЗ ($n \ge 3$), множители $n$ и $(n-1)$ не равны нулю. Разделим обе части на $4n(n-1)$:
$2n-1 = 3(n-2)$
Решим линейное уравнение:
$2n-1 = 3n-6$
$3n - 2n = 6 - 1$
$n=5$
Корень $n=5$ удовлетворяет ОДЗ ($n \ge 3$).
Ответ: $n=5$.
в) $14C_{n+1}^{n-1} = A_{n+1}^3$
Используем формулы для числа сочетаний $C_n^k = \frac{n!}{k!(n-k)!}$ и размещений $A_n^k = \frac{n!}{(n-k)!}$.
ОДЗ: $n+1 \ge n-1$ (что верно для любого $n$), $n-1 \ge 0 \Rightarrow n \ge 1$ и $n+1 \ge 3 \Rightarrow n \ge 2$. Таким образом, ОДЗ: $n \ge 2$, $n$ — натуральное число.
Упростим выражение для сочетаний, используя свойство $C_n^k = C_n^{n-k}$:
$C_{n+1}^{n-1} = C_{n+1}^{(n+1)-(n-1)} = C_{n+1}^2 = \frac{(n+1)!}{2!(n+1-2)!} = \frac{(n+1)!}{2(n-1)!} = \frac{(n+1)n(n-1)!}{2(n-1)!} = \frac{n(n+1)}{2}$
Распишем выражение для размещений:
$A_{n+1}^3 = (n+1)n(n-1)$
Подставим выражения в уравнение:
$14 \cdot \frac{n(n+1)}{2} = (n+1)n(n-1)$
$7n(n+1) = n(n+1)(n-1)$
Согласно ОДЗ ($n \ge 2$), множители $n$ и $(n+1)$ не равны нулю. Разделим обе части уравнения на $n(n+1)$:
$7 = n-1$
Отсюда находим $n$:
$n = 8$
Корень $n=8$ удовлетворяет ОДЗ ($n \ge 2$).
Ответ: $n=8$.
Другие задания:
Помогло решение? Оставьте отзыв в комментариях ниже.
Присоединяйтесь к Телеграм-группе @top_gdz
ПрисоединитьсяМы подготовили для вас ответ c подробным объяснением домашего задания по алгебре за 9 класс, для упражнения номер 306 расположенного на странице 89 к учебнику 2019 года издания для учащихся школ и гимназий.
Теперь на нашем сайте ГДЗ.ТОП вы всегда легко и бесплатно найдёте условие с правильным ответом на вопрос «Как решить ДЗ» и «Как сделать» задание по алгебре к упражнению №306 (с. 89), авторов: Солтан (Генадий Николаевич), Солтан (Алла Евгеньевна), Жумадилова (Аманбала Жумадиловна), учебного пособия издательства Кокшетау.