Номер 429, страница 126 - гдз по алгебре 9 класс учебник Солтан, Солтан

Авторы: Солтан Г. Н., Солтан А. Е., Жумадилова А. Ж.
Тип: Учебник
Издательство: Кокшетау
Год издания: 2019 - 2025
Цвет обложки:
ISBN: 978-601-317-424-2
Рекомендовано Министерством образования и науки Республики Казахстан
Популярные ГДЗ в 9 классе
17. Геометрическая прогрессия и ее свойства. III. Последовательности - номер 429, страница 126.
№429 (с. 126)
Условие. №429 (с. 126)
скриншот условия

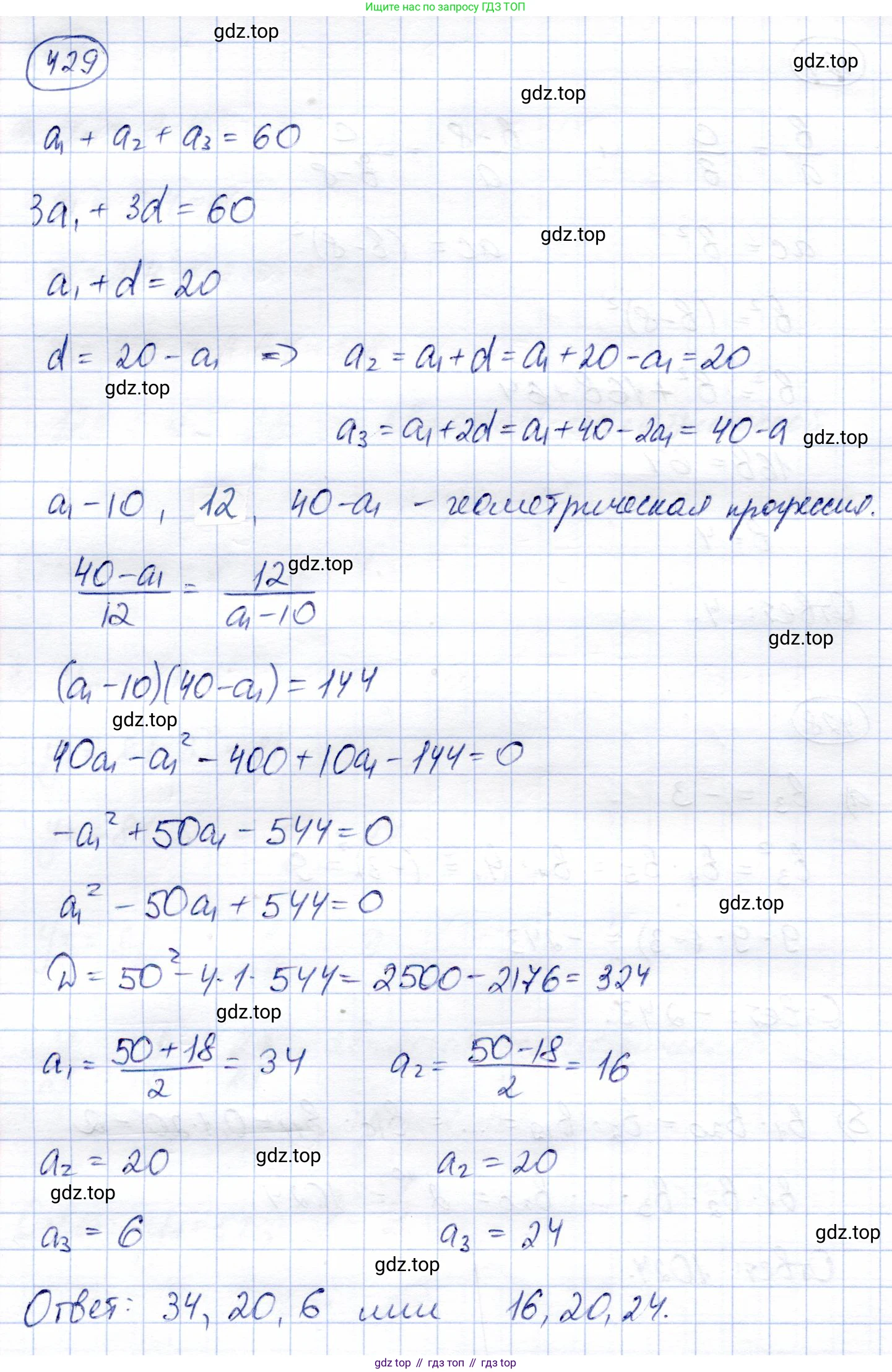
429. Сумма трех чисел, образующих арифметическую прогрессию, равна 60. Если от первого числа отнять 10, от второго 8, а третье оставить без изменения, то полученные числа составят геометрическую прогрессию. Найдите эти числа.
Решение. №429 (с. 126)

Решение 2 (rus). №429 (с. 126)
Пусть три числа, образующие арифметическую прогрессию, это $a_1, a_2, a_3$. Удобно представить их через средний член $a$ и разность прогрессии $d$: $a_1 = a - d$, $a_2 = a$, $a_3 = a + d$.
Согласно условию задачи, сумма этих трех чисел равна 60:
$(a - d) + a + (a + d) = 60$
$3a = 60$
$a = 20$
Таким образом, мы нашли средний член прогрессии, который равен 20. Теперь исходные числа можно записать как $20 - d$, $20$, $20 + d$.
Далее, из условия следует, что если от первого числа отнять 10, от второго — 8, а третье оставить без изменений, то получится геометрическая прогрессия. Составим новую последовательность чисел:
Новое первое число: $b_1 = (20 - d) - 10 = 10 - d$
Новое второе число: $b_2 = 20 - 8 = 12$
Новое третье число: $b_3 = 20 + d$
Числа $10 - d$, $12$, $20 + d$ образуют геометрическую прогрессию. Для любой геометрической прогрессии квадрат среднего члена равен произведению двух крайних членов: $b_2^2 = b_1 \cdot b_3$.
Подставим наши значения в это свойство:
$12^2 = (10 - d)(20 + d)$
$144 = 200 + 10d - 20d - d^2$
$144 = 200 - 10d - d^2$
Перенесем все члены в левую часть, чтобы получить стандартное квадратное уравнение:
$d^2 + 10d + 144 - 200 = 0$
$d^2 + 10d - 56 = 0$
Решим это уравнение относительно $d$ с помощью дискриминанта $D = b^2 - 4ac$:
$D = 10^2 - 4 \cdot 1 \cdot (-56) = 100 + 224 = 324$
Корень из дискриминанта: $\sqrt{D} = \sqrt{324} = 18$.
Теперь найдем два возможных значения для разности $d$:
$d_1 = \frac{-10 + 18}{2} = \frac{8}{2} = 4$
$d_2 = \frac{-10 - 18}{2} = \frac{-28}{2} = -14$
Существует два возможных набора исходных чисел, соответствующих двум найденным значениям $d$.
Случай 1: d = 4
Находим исходные числа арифметической прогрессии:
$a_1 = 20 - 4 = 16$
$a_2 = 20$
$a_3 = 20 + 4 = 24$
Получилась последовательность 16, 20, 24. Проверка: их сумма $16+20+24=60$. Новые числа: $16-10=6$, $20-8=12$, $24$. Последовательность 6, 12, 24 является геометрической прогрессией, так как $12^2 = 144$ и $6 \cdot 24 = 144$.
Случай 2: d = -14
Находим исходные числа арифметической прогрессии:
$a_1 = 20 - (-14) = 34$
$a_2 = 20$
$a_3 = 20 + (-14) = 6$
Получилась последовательность 34, 20, 6. Проверка: их сумма $34+20+6=60$. Новые числа: $34-10=24$, $20-8=12$, $6$. Последовательность 24, 12, 6 является геометрической прогрессией, так как $12^2 = 144$ и $24 \cdot 6 = 144$.
Оба набора чисел удовлетворяют условиям задачи.
Ответ: 16, 20, 24 или 34, 20, 6.
Другие задания:
Помогло решение? Оставьте отзыв в комментариях ниже.
Присоединяйтесь к Телеграм-группе @top_gdz
ПрисоединитьсяМы подготовили для вас ответ c подробным объяснением домашего задания по алгебре за 9 класс, для упражнения номер 429 расположенного на странице 126 к учебнику 2019 года издания для учащихся школ и гимназий.
Теперь на нашем сайте ГДЗ.ТОП вы всегда легко и бесплатно найдёте условие с правильным ответом на вопрос «Как решить ДЗ» и «Как сделать» задание по алгебре к упражнению №429 (с. 126), авторов: Солтан (Генадий Николаевич), Солтан (Алла Евгеньевна), Жумадилова (Аманбала Жумадиловна), учебного пособия издательства Кокшетау.