Номер 431, страница 126 - гдз по алгебре 9 класс учебник Солтан, Солтан

Авторы: Солтан Г. Н., Солтан А. Е., Жумадилова А. Ж.
Тип: Учебник
Издательство: Кокшетау
Год издания: 2019 - 2025
Цвет обложки:
ISBN: 978-601-317-424-2
Рекомендовано Министерством образования и науки Республики Казахстан
Популярные ГДЗ в 9 классе
17. Геометрическая прогрессия и ее свойства. III. Последовательности - номер 431, страница 126.
№431 (с. 126)
Условие. №431 (с. 126)
скриншот условия

431. Найдите знаменатель и первый член геометрической прогрессии ($b_n$), в которой:
a) $b_1 + b_3 = 60, b_2 = 18;$
б) $b_2 = 10, b_3 + b_4 = 60;$
в) $b_1 + b_4 = 27, b_2 + b_3 = 18;$
г) $b_1 + b_2 + b_3 = 7, b_1b_2b_3 = 8.$
Решение. №431 (с. 126)



Решение 2 (rus). №431 (с. 126)
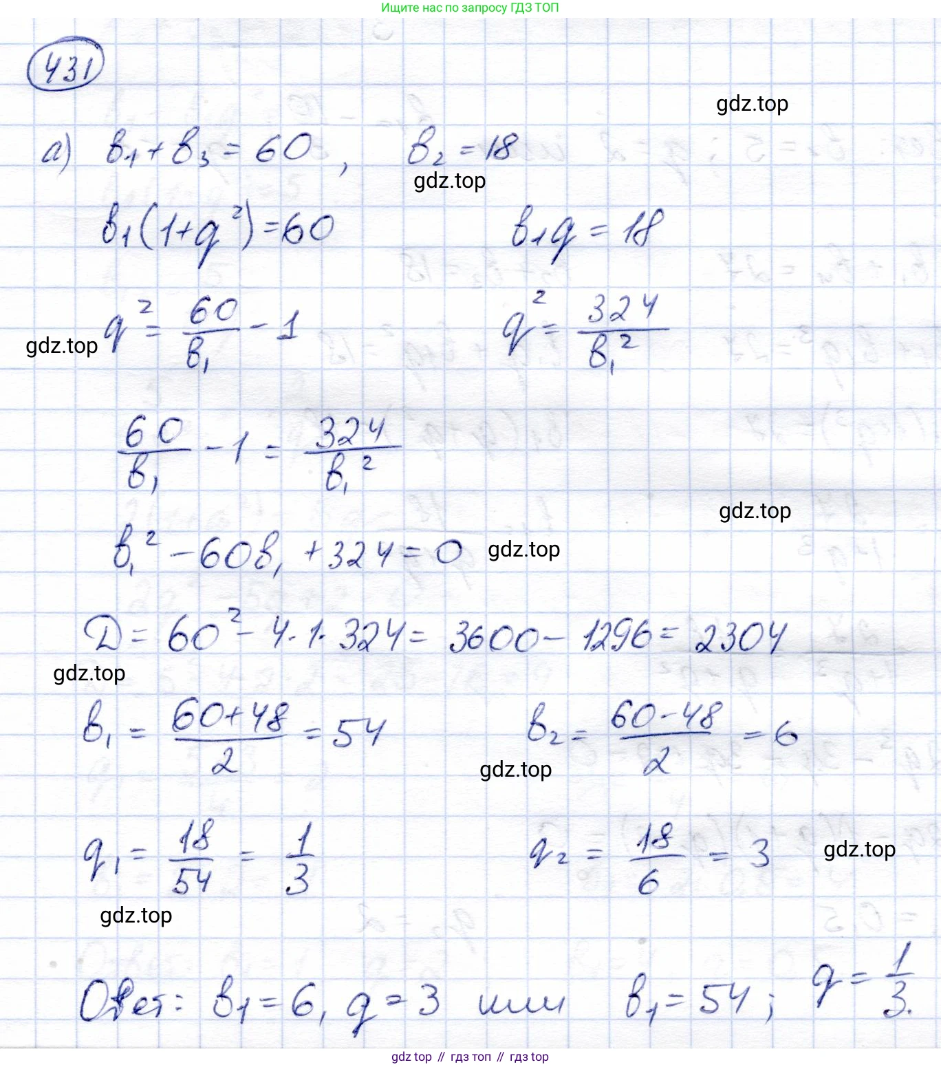
а) Дана система уравнений:
$b_1 + b_3 = 60$
$b_2 = 18$
Используя формулу n-го члена геометрической прогрессии $b_n = b_1 q^{n-1}$, где $q$ — знаменатель прогрессии, перепишем систему в терминах $b_1$ и $q$:
$b_1 + b_1 q^2 = 60$
$b_1 q = 18$
Из второго уравнения выразим $b_1 = \frac{18}{q}$ (при $q \neq 0$) и подставим в первое уравнение:
$\frac{18}{q} + (\frac{18}{q}) q^2 = 60$
$\frac{18}{q} + 18q = 60$
Умножим обе части уравнения на $q$:
$18 + 18q^2 = 60q$
$18q^2 - 60q + 18 = 0$
Разделим уравнение на 6 для упрощения:
$3q^2 - 10q + 3 = 0$
Это квадратное уравнение. Найдем его корни. Дискриминант $D = (-10)^2 - 4 \cdot 3 \cdot 3 = 100 - 36 = 64$.
$q_1 = \frac{10 + \sqrt{64}}{2 \cdot 3} = \frac{10 + 8}{6} = \frac{18}{6} = 3$
$q_2 = \frac{10 - \sqrt{64}}{2 \cdot 3} = \frac{10 - 8}{6} = \frac{2}{6} = \frac{1}{3}$
Теперь найдем соответствующие значения $b_1$ для каждого $q$ из формулы $b_1 = \frac{18}{q}$:
При $q = 3$, $b_1 = \frac{18}{3} = 6$.
При $q = \frac{1}{3}$, $b_1 = \frac{18}{1/3} = 18 \cdot 3 = 54$.
Таким образом, существуют два возможных набора решений.
Ответ: знаменатель $q = 3$ и первый член $b_1 = 6$, или знаменатель $q = \frac{1}{3}$ и первый член $b_1 = 54$.
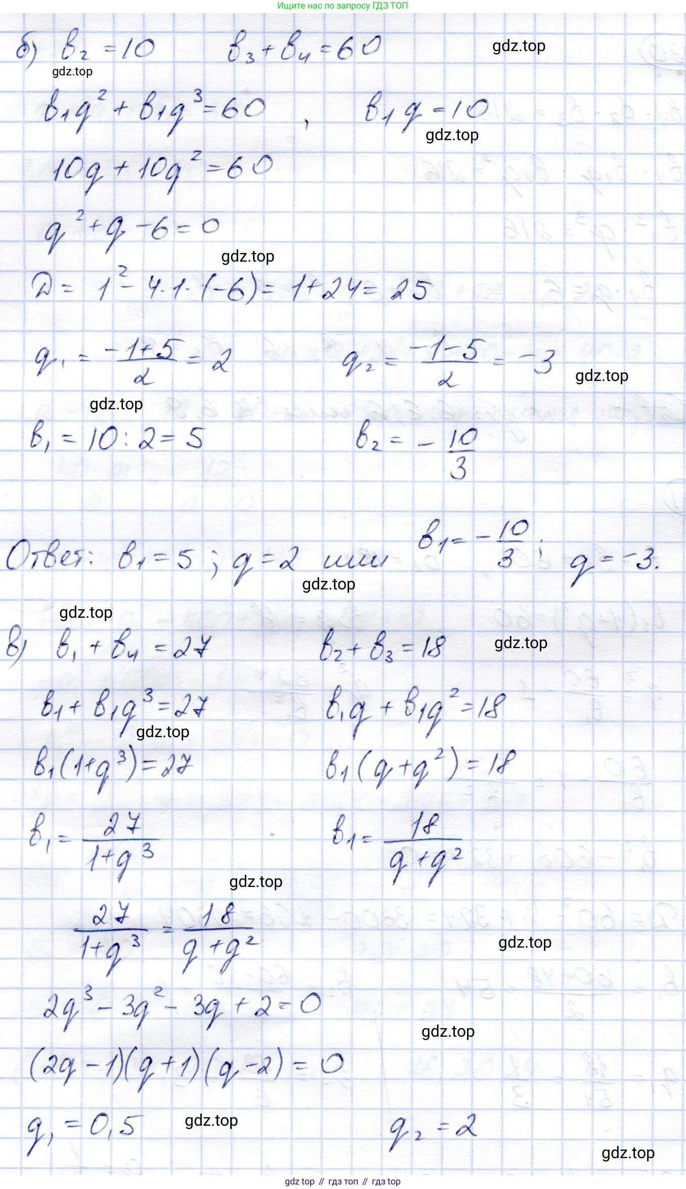
б) Дана система уравнений:
$b_2 = 10$
$b_3 + b_4 = 60$
Выразим члены прогрессии через $b_1$ и $q$:
$b_1 q = 10$
$b_1 q^2 + b_1 q^3 = 60$
Из первого уравнения $b_1 = \frac{10}{q}$ (при $q \neq 0$). Подставим во второе:
$(\frac{10}{q}) q^2 + (\frac{10}{q}) q^3 = 60$
$10q + 10q^2 = 60$
$10q^2 + 10q - 60 = 0$
Разделим уравнение на 10:
$q^2 + q - 6 = 0$
Решим квадратное уравнение. По теореме Виета или через дискриминант $D = 1^2 - 4 \cdot 1 \cdot (-6) = 1 + 24 = 25$.
$q_1 = \frac{-1 + \sqrt{25}}{2 \cdot 1} = \frac{-1 + 5}{2} = 2$
$q_2 = \frac{-1 - \sqrt{25}}{2 \cdot 1} = \frac{-1 - 5}{2} = -3$
Найдем соответствующие значения $b_1$ из $b_1 = \frac{10}{q}$:
При $q = 2$, $b_1 = \frac{10}{2} = 5$.
При $q = -3$, $b_1 = \frac{10}{-3} = -\frac{10}{3}$.
Ответ: знаменатель $q = 2$ и первый член $b_1 = 5$, или знаменатель $q = -3$ и первый член $b_1 = -\frac{10}{3}$.
в) Дана система уравнений:
$b_1 + b_4 = 27$
$b_2 + b_3 = 18$
Выразим члены прогрессии через $b_1$ и $q$:
$b_1 + b_1 q^3 = 27 \implies b_1(1 + q^3) = 27$
$b_1 q + b_1 q^2 = 18 \implies b_1 q(1 + q) = 18$
Разделим первое уравнение на второе (при условии, что $b_1 \neq 0$, $q \neq 0$ и $q \neq -1$):
$\frac{b_1(1 + q^3)}{b_1 q(1 + q)} = \frac{27}{18}$
Используем формулу суммы кубов $1 + q^3 = (1 + q)(1 - q + q^2)$:
$\frac{(1 + q)(1 - q + q^2)}{q(1 + q)} = \frac{3}{2}$
$\frac{1 - q + q^2}{q} = \frac{3}{2}$
$2(1 - q + q^2) = 3q$
$2 - 2q + 2q^2 = 3q$
$2q^2 - 5q + 2 = 0$
Решим квадратное уравнение. Дискриминант $D = (-5)^2 - 4 \cdot 2 \cdot 2 = 25 - 16 = 9$.
$q_1 = \frac{5 + \sqrt{9}}{2 \cdot 2} = \frac{5 + 3}{4} = 2$
$q_2 = \frac{5 - \sqrt{9}}{2 \cdot 2} = \frac{5 - 3}{4} = \frac{1}{2}$
Найдем $b_1$ из уравнения $b_1 q(1 + q) = 18$:
При $q = 2$, $b_1 \cdot 2(1 + 2) = 18 \implies 6b_1 = 18 \implies b_1 = 3$.
При $q = \frac{1}{2}$, $b_1 \cdot \frac{1}{2}(1 + \frac{1}{2}) = 18 \implies b_1 \cdot \frac{1}{2} \cdot \frac{3}{2} = 18 \implies \frac{3}{4}b_1 = 18 \implies b_1 = 18 \cdot \frac{4}{3} = 24$.
Ответ: знаменатель $q = 2$ и первый член $b_1 = 3$, или знаменатель $q = \frac{1}{2}$ и первый член $b_1 = 24$.
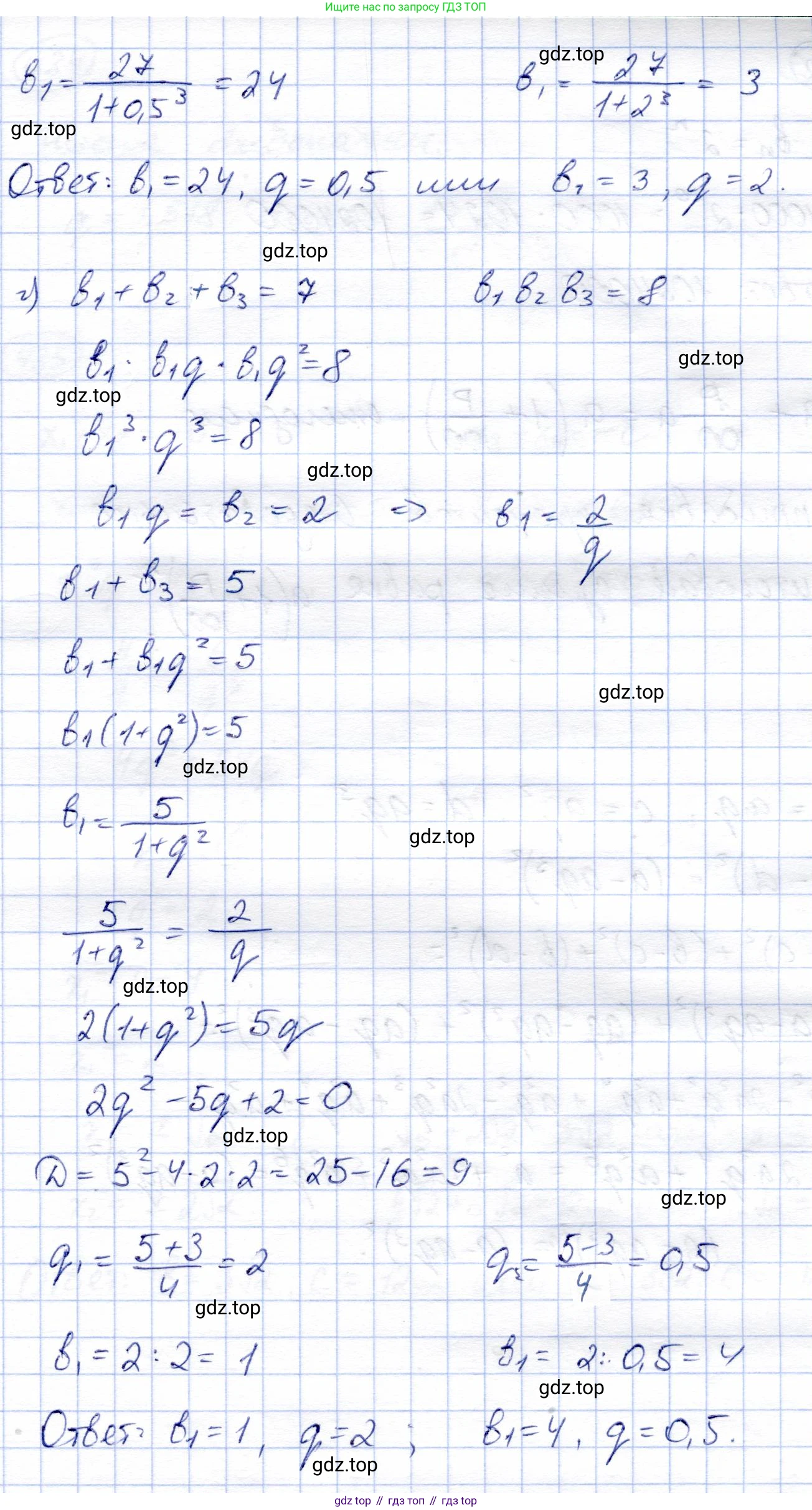
г) Дана система уравнений:
$b_1 + b_2 + b_3 = 7$
$b_1 b_2 b_3 = 8$
Выразим члены прогрессии через $b_1$ и $q$:
$b_1 + b_1 q + b_1 q^2 = 7 \implies b_1(1 + q + q^2) = 7$
$b_1 \cdot (b_1 q) \cdot (b_1 q^2) = 8 \implies b_1^3 q^3 = 8 \implies (b_1 q)^3 = 8$
Из второго уравнения найдем $b_1q$:
$b_1 q = \sqrt[3]{8} = 2$. Так как $b_2 = b_1 q$, то $b_2 = 2$.
Подставим $b_2 = 2$ в первое уравнение. Также выразим $b_1$ и $b_3$ через $b_2$:
$b_1 = \frac{b_2}{q} = \frac{2}{q}$
$b_3 = b_2 q = 2q$
Подставляем в первое уравнение: $\frac{2}{q} + 2 + 2q = 7$.
$\frac{2}{q} + 2q = 5$
Умножим на $q$ (при $q \neq 0$):
$2 + 2q^2 = 5q$
$2q^2 - 5q + 2 = 0$
Это то же квадратное уравнение, что и в пункте в). Его корни $q_1 = 2$ и $q_2 = \frac{1}{2}$.
Найдем соответствующие значения $b_1$ из $b_1 = \frac{2}{q}$:
При $q = 2$, $b_1 = \frac{2}{2} = 1$.
При $q = \frac{1}{2}$, $b_1 = \frac{2}{1/2} = 4$.
Ответ: знаменатель $q = 2$ и первый член $b_1 = 1$, или знаменатель $q = \frac{1}{2}$ и первый член $b_1 = 4$.
Другие задания:
Помогло решение? Оставьте отзыв в комментариях ниже.
Присоединяйтесь к Телеграм-группе @top_gdz
ПрисоединитьсяМы подготовили для вас ответ c подробным объяснением домашего задания по алгебре за 9 класс, для упражнения номер 431 расположенного на странице 126 к учебнику 2019 года издания для учащихся школ и гимназий.
Теперь на нашем сайте ГДЗ.ТОП вы всегда легко и бесплатно найдёте условие с правильным ответом на вопрос «Как решить ДЗ» и «Как сделать» задание по алгебре к упражнению №431 (с. 126), авторов: Солтан (Генадий Николаевич), Солтан (Алла Евгеньевна), Жумадилова (Аманбала Жумадиловна), учебного пособия издательства Кокшетау.