Номер 433, страница 127 - гдз по алгебре 9 класс учебник Солтан, Солтан

Авторы: Солтан Г. Н., Солтан А. Е., Жумадилова А. Ж.
Тип: Учебник
Издательство: Кокшетау
Год издания: 2019 - 2025
Цвет обложки:
ISBN: 978-601-317-424-2
Рекомендовано Министерством образования и науки Республики Казахстан
Популярные ГДЗ в 9 классе
17. Геометрическая прогрессия и ее свойства. III. Последовательности - номер 433, страница 127.
№433 (с. 127)
Условие. №433 (с. 127)
скриншот условия

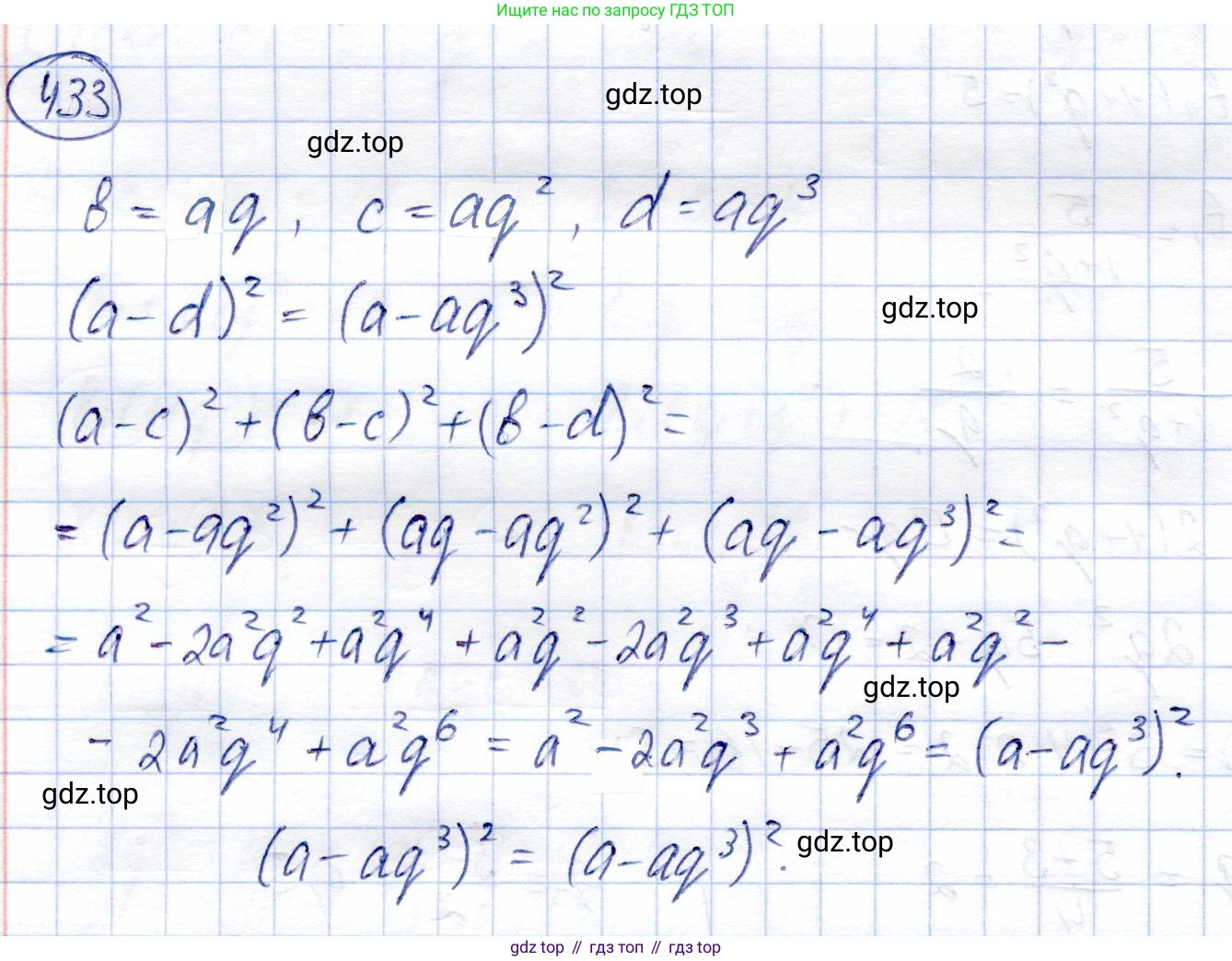
433. Докажите, что если последовательность неравных чисел $a, b, c, d$ является геометрической прогрессией, то $(a - d)^2 = (a - c)^2 + (b - c)^2 + (b - d)^2$.
Решение. №433 (с. 127)

Решение 2 (rus). №433 (с. 127)
По условию, числа $a, b, c, d$ являются последовательными членами геометрической прогрессии. Обозначим знаменатель этой прогрессии как $q$. Так как числа не равны между собой, то $q \neq 1$. Выразим члены прогрессии через первый член $a$ и знаменатель $q$:
$b = aq$
$c = aq^2$
$d = aq^3$
Нам нужно доказать тождество: $(a-d)^2 = (a-c)^2 + (b-c)^2 + (b-d)^2$.
Для доказательства воспользуемся характеристическим свойством геометрической прогрессии. Оно гласит, что квадрат любого члена прогрессии (начиная со второго) равен произведению его соседних членов. Для нашей последовательности это дает следующие соотношения:
1. Для членов $a, b, c$: $b^2 = ac$.
2. Для членов $b, c, d$: $c^2 = bd$.
Кроме того, для четырех последовательных членов $a, b, c, d$ выполняется равенство $ad = bc$. Проверим это, используя выражения через $a$ и $q$:
$ad = a \cdot (aq^3) = a^2q^3$
$bc = (aq) \cdot (aq^2) = a^2q^3$
Следовательно, $ad = bc$.
Теперь преобразуем правую часть доказываемого тождества. Сначала раскроем все скобки, используя формулу квадрата разности $(x-y)^2=x^2-2xy+y^2$:
$(a-c)^2 + (b-c)^2 + (b-d)^2 = (a^2 - 2ac + c^2) + (b^2 - 2bc + c^2) + (b^2 - 2bd + d^2)$.
Теперь подставим в полученное выражение выведенные ранее соотношения: $ac = b^2$, $bd = c^2$ и $bc = ad$.
$a^2 - 2(b^2) + c^2 + b^2 - 2(ad) + c^2 + b^2 - 2(c^2) + d^2$
Сгруппируем и приведем подобные слагаемые:
$a^2 - 2ad + d^2 + (-2b^2 + b^2 + b^2) + (c^2 + c^2 - 2c^2)$
Выражения в скобках равны нулю:
$a^2 - 2ad + d^2 + 0 + 0 = a^2 - 2ad + d^2$
Полученное выражение в точности соответствует формуле квадрата разности для $(a-d)$:
$a^2 - 2ad + d^2 = (a-d)^2$.
Таким образом, мы показали, что правая часть исходного равенства $(a-c)^2 + (b-c)^2 + (b-d)^2$ тождественно равна его левой части $(a-d)^2$. Что и требовалось доказать.
Ответ: Тождество доказано.
Другие задания:
Помогло решение? Оставьте отзыв в комментариях ниже.
Присоединяйтесь к Телеграм-группе @top_gdz
ПрисоединитьсяМы подготовили для вас ответ c подробным объяснением домашего задания по алгебре за 9 класс, для упражнения номер 433 расположенного на странице 127 к учебнику 2019 года издания для учащихся школ и гимназий.
Теперь на нашем сайте ГДЗ.ТОП вы всегда легко и бесплатно найдёте условие с правильным ответом на вопрос «Как решить ДЗ» и «Как сделать» задание по алгебре к упражнению №433 (с. 127), авторов: Солтан (Генадий Николаевич), Солтан (Алла Евгеньевна), Жумадилова (Аманбала Жумадиловна), учебного пособия издательства Кокшетау.