Номер 440, страница 127 - гдз по алгебре 9 класс учебник Солтан, Солтан

Авторы: Солтан Г. Н., Солтан А. Е., Жумадилова А. Ж.
Тип: Учебник
Издательство: Кокшетау
Год издания: 2019 - 2025
Цвет обложки:
ISBN: 978-601-317-424-2
Рекомендовано Министерством образования и науки Республики Казахстан
Популярные ГДЗ в 9 классе
17. Геометрическая прогрессия и ее свойства. III. Последовательности - номер 440, страница 127.
№440 (с. 127)
Условие. №440 (с. 127)
скриншот условия

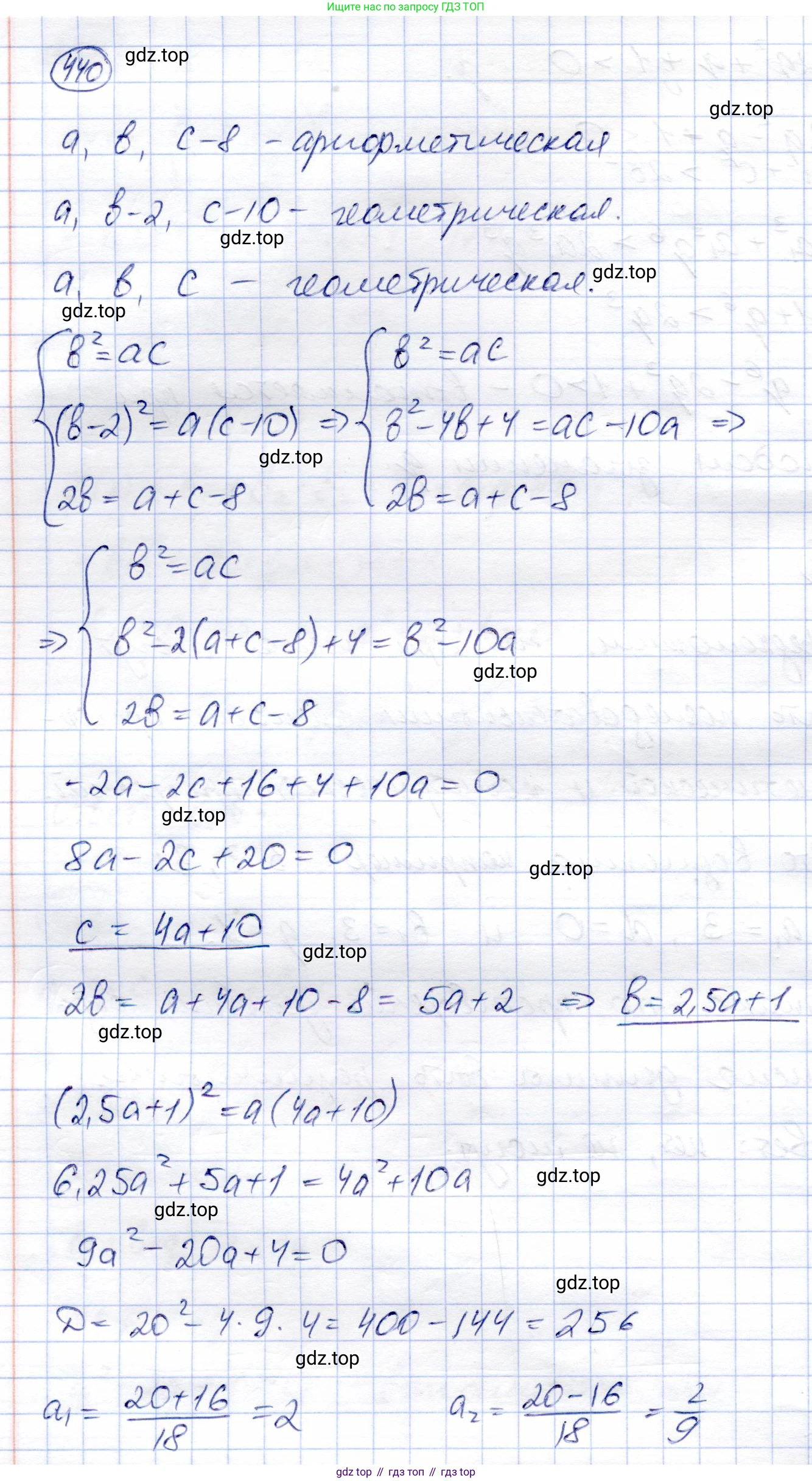
440. Найдите три числа $a, b, c$, образующие геометрическую прогрессию, если числа $a, b, (c - 8)$ составляют арифметическую прогрессию, а числа $a, (b - 2), (c - 10)$ – геометрическую.
Решение. №440 (с. 127)


Решение 2 (rus). №440 (с. 127)
По условию задачи, числа $a$, $b$, $c$ образуют геометрическую прогрессию. Это означает, что для них выполняется характеристическое свойство геометрической прогрессии: квадрат среднего члена равен произведению крайних членов. Запишем это в виде уравнения:
$b^2 = a \cdot c$ (1)
Также по условию, числа $a$, $b$, $(c - 8)$ составляют арифметическую прогрессию. Для них выполняется характеристическое свойство арифметической прогрессии: удвоенный средний член равен сумме крайних членов.
$2b = a + (c - 8)$
$2b = a + c - 8$ (2)
И наконец, числа $a$, $(b - 2)$, $(c - 10)$ образуют геометрическую прогрессию. Снова используем свойство геометрической прогрессии:
$(b - 2)^2 = a \cdot (c - 10)$ (3)
Мы получили систему из трех уравнений с тремя неизвестными. Решим ее. Раскроем скобки в уравнении (3):
$b^2 - 4b + 4 = ac - 10a$
Теперь подставим в это уравнение выражение для $b^2$ из уравнения (1):
$ac - 4b + 4 = ac - 10a$
Сократим $ac$ в обеих частях уравнения:
$-4b + 4 = -10a$
Разделим обе части на -2:
$2b - 2 = 5a$
Отсюда выразим $2b$:
$2b = 5a + 2$
Теперь подставим полученное выражение для $2b$ в уравнение (2):
$5a + 2 = a + c - 8$
Выразим $c$ через $a$:
$c = 5a - a + 2 + 8$
$c = 4a + 10$
Из выражения $2b = 5a + 2$ найдем $b$ через $a$:
$b = \frac{5a + 2}{2}$
Теперь у нас есть выражения для $b$ и $c$ через $a$. Подставим их в самое первое уравнение $b^2 = ac$:
$(\frac{5a + 2}{2})^2 = a(4a + 10)$
$\frac{(5a + 2)^2}{4} = 4a^2 + 10a$
$\frac{25a^2 + 20a + 4}{4} = 4a^2 + 10a$
Умножим обе части на 4:
$25a^2 + 20a + 4 = 16a^2 + 40a$
Перенесем все члены в левую часть и приведем подобные слагаемые:
$25a^2 - 16a^2 + 20a - 40a + 4 = 0$
$9a^2 - 20a + 4 = 0$
Мы получили квадратное уравнение относительно $a$. Решим его. Найдем дискриминант:
$D = (-20)^2 - 4 \cdot 9 \cdot 4 = 400 - 144 = 256$
$\sqrt{D} = \sqrt{256} = 16$
Найдем корни уравнения:
$a_1 = \frac{20 + 16}{2 \cdot 9} = \frac{36}{18} = 2$
$a_2 = \frac{20 - 16}{2 \cdot 9} = \frac{4}{18} = \frac{2}{9}$
Теперь найдем соответствующие значения $b$ и $c$ для каждого найденного значения $a$.
Случай 1: $a = 2$
$b = \frac{5a + 2}{2} = \frac{5(2) + 2}{2} = \frac{12}{2} = 6$
$c = 4a + 10 = 4(2) + 10 = 8 + 10 = 18$
Получили первую тройку чисел: (2, 6, 18). Проверим выполнение условий.
Геометрическая прогрессия $a, b, c$: 2, 6, 18 (знаменатель $q=3$). Верно.
Арифметическая прогрессия $a, b, c-8$: 2, 6, $18-8=10$ (разность $d=4$). Верно.
Геометрическая прогрессия $a, b-2, c-10$: 2, $6-2=4$, $18-10=8$ (знаменатель $q=2$). Верно.
Случай 2: $a = \frac{2}{9}$
$b = \frac{5a + 2}{2} = \frac{5(\frac{2}{9}) + 2}{2} = \frac{\frac{10}{9} + \frac{18}{9}}{2} = \frac{\frac{28}{9}}{2} = \frac{14}{9}$
$c = 4a + 10 = 4(\frac{2}{9}) + 10 = \frac{8}{9} + \frac{90}{9} = \frac{98}{9}$
Получили вторую тройку чисел: ($\frac{2}{9}$, $\frac{14}{9}$, $\frac{98}{9}$). Проверим выполнение условий.
Геометрическая прогрессия $a, b, c$: $\frac{2}{9}, \frac{14}{9}, \frac{98}{9}$ (знаменатель $q=7$). Верно.
Арифметическая прогрессия $a, b, c-8$: $\frac{2}{9}, \frac{14}{9}, \frac{98}{9}-8 = \frac{26}{9}$ (разность $d=\frac{12}{9}=\frac{4}{3}$). Верно.
Геометрическая прогрессия $a, b-2, c-10$: $\frac{2}{9}, \frac{14}{9}-2=-\frac{4}{9}, \frac{98}{9}-10=\frac{8}{9}$ (знаменатель $q=-2$). Верно.
Оба набора чисел являются решениями задачи.
Ответ: (2, 6, 18) или ($\frac{2}{9}, \frac{14}{9}, \frac{98}{9}$).
Другие задания:
Помогло решение? Оставьте отзыв в комментариях ниже.
Присоединяйтесь к Телеграм-группе @top_gdz
ПрисоединитьсяМы подготовили для вас ответ c подробным объяснением домашего задания по алгебре за 9 класс, для упражнения номер 440 расположенного на странице 127 к учебнику 2019 года издания для учащихся школ и гимназий.
Теперь на нашем сайте ГДЗ.ТОП вы всегда легко и бесплатно найдёте условие с правильным ответом на вопрос «Как решить ДЗ» и «Как сделать» задание по алгебре к упражнению №440 (с. 127), авторов: Солтан (Генадий Николаевич), Солтан (Алла Евгеньевна), Жумадилова (Аманбала Жумадиловна), учебного пособия издательства Кокшетау.