Номер 444, страница 130 - гдз по алгебре 9 класс учебник Солтан, Солтан

Авторы: Солтан Г. Н., Солтан А. Е., Жумадилова А. Ж.
Тип: Учебник
Издательство: Кокшетау
Год издания: 2019 - 2025
Цвет обложки:
ISBN: 978-601-317-424-2
Рекомендовано Министерством образования и науки Республики Казахстан
Популярные ГДЗ в 9 классе
18. Сумма n первых членов геометрической прогрессии. III. Последовательности - номер 444, страница 130.
№444 (с. 130)
Условие. №444 (с. 130)
скриншот условия

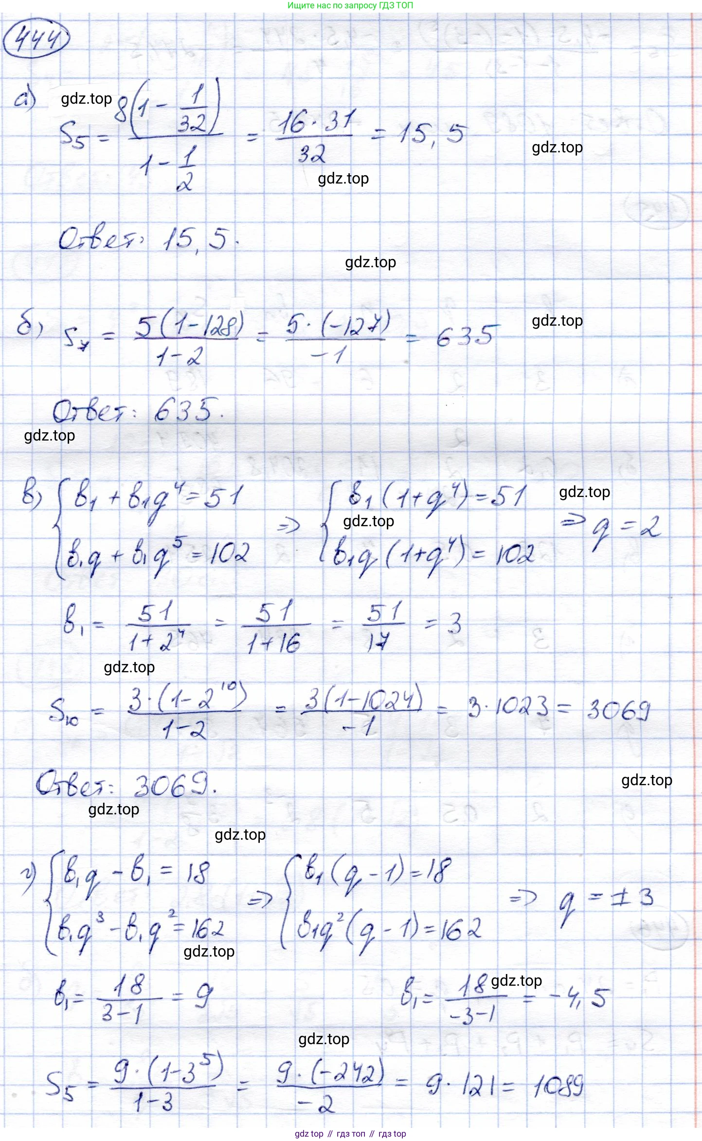
444. В геометрической прогрессии ($b_n$) найдите:
а) $S_5$, если $b_1 = 8$, $q = \frac{1}{2}$;
б) $S_7$, если $b_1 = 5$, $q = 2$;
в) $S_{10}$, если $b_1 + b_5 = 51$, $b_2 + b_6 = 102$;
г) $S_5$, если $b_2 - b_1 = 18$, $b_4 - b_3 = 162$.
Решение. №444 (с. 130)


Решение 2 (rus). №444 (с. 130)
а) Чтобы найти сумму первых пяти членов геометрической прогрессии $S_5$, воспользуемся формулой суммы $S_n = \frac{b_1(1-q^n)}{1-q}$, где $b_1$ — первый член прогрессии, $q$ — знаменатель прогрессии, $n$ — количество членов.
По условию $b_1 = 8$, $q = \frac{1}{2}$ и $n=5$.
Подставляем значения в формулу:
$S_5 = \frac{8 \cdot (1 - (\frac{1}{2})^5)}{1 - \frac{1}{2}} = \frac{8 \cdot (1 - \frac{1}{32})}{\frac{1}{2}} = \frac{8 \cdot \frac{31}{32}}{\frac{1}{2}} = 8 \cdot \frac{31}{32} \cdot 2 = \frac{16 \cdot 31}{32} = \frac{31}{2} = 15,5$.
Ответ: $15,5$.
б) Чтобы найти сумму первых семи членов геометрической прогрессии $S_7$, воспользуемся формулой $S_n = \frac{b_1(q^n-1)}{q-1}$.
По условию $b_1 = 5$, $q = 2$ и $n=7$.
Подставляем значения в формулу:
$S_7 = \frac{5 \cdot (2^7 - 1)}{2 - 1} = \frac{5 \cdot (128 - 1)}{1} = 5 \cdot 127 = 635$.
Ответ: $635$.
в) Чтобы найти $S_{10}$, нам необходимо сначала определить первый член прогрессии $b_1$ и ее знаменатель $q$. Для этого используем данные условия: $b_1 + b_5 = 51$ и $b_2 + b_6 = 102$.
Используя формулу n-го члена геометрической прогрессии $b_n = b_1 q^{n-1}$, запишем систему уравнений:
$\begin{cases} b_1 + b_1 q^4 = 51 \\ b_1 q + b_1 q^5 = 102 \end{cases}$
Вынесем общие множители за скобки:
$\begin{cases} b_1(1 + q^4) = 51 \\ b_1 q(1 + q^4) = 102 \end{cases}$
Разделим второе уравнение на первое:
$\frac{b_1 q(1 + q^4)}{b_1(1 + q^4)} = \frac{102}{51}$
$q = 2$.
Теперь найдем $b_1$, подставив значение $q$ в первое уравнение:
$b_1(1 + 2^4) = 51 \Rightarrow b_1(1 + 16) = 51 \Rightarrow 17b_1 = 51 \Rightarrow b_1 = 3$.
Теперь мы можем найти $S_{10}$, зная, что $b_1 = 3$ и $q=2$:
$S_{10} = \frac{b_1(q^{10} - 1)}{q - 1} = \frac{3(2^{10} - 1)}{2 - 1} = 3(1024 - 1) = 3 \cdot 1023 = 3069$.
Ответ: $3069$.
г) Чтобы найти $S_5$, сначала определим $b_1$ и $q$ из условий $b_2 - b_1 = 18$ и $b_4 - b_3 = 162$.
Запишем систему уравнений, используя формулу $b_n = b_1 q^{n-1}$:
$\begin{cases} b_1 q - b_1 = 18 \\ b_1 q^3 - b_1 q^2 = 162 \end{cases}$
Вынесем общие множители за скобки:
$\begin{cases} b_1(q - 1) = 18 \\ b_1 q^2(q - 1) = 162 \end{cases}$
Разделим второе уравнение на первое:
$\frac{b_1 q^2(q - 1)}{b_1(q - 1)} = \frac{162}{18}$
$q^2 = 9$.
Отсюда получаем два возможных значения для знаменателя: $q=3$ или $q=-3$. Рассмотрим оба случая.
Случай 1: $q = 3$.
Подставляем $q=3$ в первое уравнение:
$b_1(3 - 1) = 18 \Rightarrow 2b_1 = 18 \Rightarrow b_1 = 9$.
Находим $S_5$ для $b_1=9$ и $q=3$:
$S_5 = \frac{b_1(q^5 - 1)}{q - 1} = \frac{9(3^5 - 1)}{3 - 1} = \frac{9(243 - 1)}{2} = \frac{9 \cdot 242}{2} = 9 \cdot 121 = 1089$.
Случай 2: $q = -3$.
Подставляем $q=-3$ в первое уравнение:
$b_1(-3 - 1) = 18 \Rightarrow -4b_1 = 18 \Rightarrow b_1 = -\frac{18}{4} = -4,5$.
Находим $S_5$ для $b_1=-4,5$ и $q=-3$:
$S_5 = \frac{b_1(q^5 - 1)}{q - 1} = \frac{-4,5((-3)^5 - 1)}{-3 - 1} = \frac{-4,5(-243 - 1)}{-4} = \frac{-4,5(-244)}{-4} = -4,5 \cdot 61 = -274,5$.
Таким образом, задача имеет два возможных решения.
Ответ: $1089$ или $-274,5$.
Другие задания:
Помогло решение? Оставьте отзыв в комментариях ниже.
Присоединяйтесь к Телеграм-группе @top_gdz
ПрисоединитьсяМы подготовили для вас ответ c подробным объяснением домашего задания по алгебре за 9 класс, для упражнения номер 444 расположенного на странице 130 к учебнику 2019 года издания для учащихся школ и гимназий.
Теперь на нашем сайте ГДЗ.ТОП вы всегда легко и бесплатно найдёте условие с правильным ответом на вопрос «Как решить ДЗ» и «Как сделать» задание по алгебре к упражнению №444 (с. 130), авторов: Солтан (Генадий Николаевич), Солтан (Алла Евгеньевна), Жумадилова (Аманбала Жумадиловна), учебного пособия издательства Кокшетау.