Номер 450, страница 131 - гдз по алгебре 9 класс учебник Солтан, Солтан

Авторы: Солтан Г. Н., Солтан А. Е., Жумадилова А. Ж.
Тип: Учебник
Издательство: Кокшетау
Год издания: 2019 - 2025
Цвет обложки:
ISBN: 978-601-317-424-2
Рекомендовано Министерством образования и науки Республики Казахстан
Популярные ГДЗ в 9 классе
18. Сумма n первых членов геометрической прогрессии. III. Последовательности - номер 450, страница 131.
№450 (с. 131)
Условие. №450 (с. 131)
скриншот условия

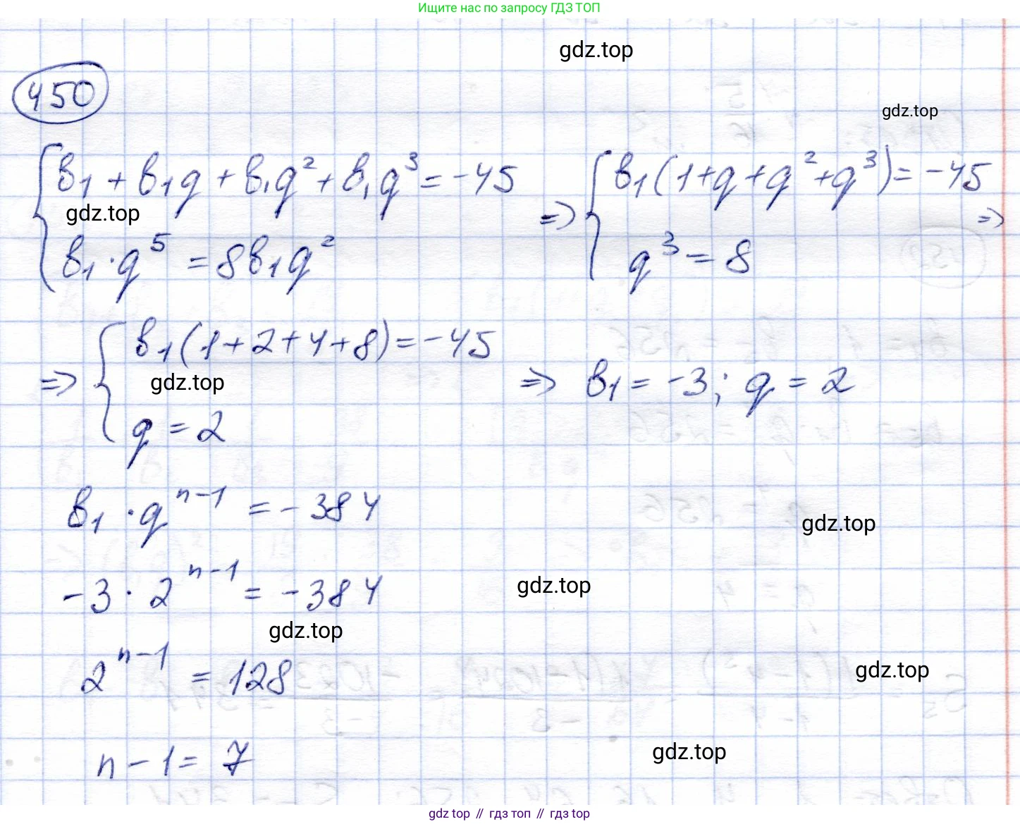
450. Сумма четырех первых членов геометрической прогрессии равна $-45$, а отношение шестого члена к третьему равно $8$. Найдите номер члена этой прогрессии, равного $-384$.
Решение. №450 (с. 131)


Решение 2 (rus). №450 (с. 131)
Пусть $b_1$ — первый член геометрической прогрессии, а $q$ — её знаменатель.
Формула n-го члена геометрической прогрессии: $b_n = b_1 \cdot q^{n-1}$.
Формула суммы первых n членов геометрической прогрессии: $S_n = \frac{b_1(q^n - 1)}{q-1}$.
По условию, отношение шестого члена к третьему равно 8. Запишем это, используя формулу n-го члена:
$\frac{b_6}{b_3} = \frac{b_1 \cdot q^{6-1}}{b_1 \cdot q^{3-1}} = \frac{b_1 q^5}{b_1 q^2} = q^{5-2} = q^3$.
Таким образом, получаем уравнение:
$q^3 = 8$.
Отсюда находим знаменатель прогрессии $q$:
$q = \sqrt[3]{8} = 2$.
Также по условию известно, что сумма четырех первых членов прогрессии равна –45, то есть $S_4 = -45$. Воспользуемся формулой суммы:
$S_4 = \frac{b_1(q^4 - 1)}{q-1} = -45$.
Подставим найденное значение $q=2$ в это уравнение:
$\frac{b_1(2^4 - 1)}{2-1} = -45$.
$\frac{b_1(16 - 1)}{1} = -45$.
$15 b_1 = -45$.
Теперь найдем первый член прогрессии $b_1$:
$b_1 = \frac{-45}{15} = -3$.
Теперь нам нужно найти номер члена этой прогрессии, равного –384. Обозначим этот номер как $n$. Таким образом, $b_n = -384$.
Используем формулу n-го члена с найденными значениями $b_1 = -3$ и $q=2$:
$b_n = b_1 \cdot q^{n-1}$.
$-384 = -3 \cdot 2^{n-1}$.
Разделим обе части уравнения на –3:
$\frac{-384}{-3} = 2^{n-1}$.
$128 = 2^{n-1}$.
Представим 128 как степень двойки: $128 = 2^7$.
$2^7 = 2^{n-1}$.
Приравниваем показатели степеней:
$7 = n-1$.
$n = 7 + 1 = 8$.
Ответ: 8.
Другие задания:
Помогло решение? Оставьте отзыв в комментариях ниже.
Присоединяйтесь к Телеграм-группе @top_gdz
ПрисоединитьсяМы подготовили для вас ответ c подробным объяснением домашего задания по алгебре за 9 класс, для упражнения номер 450 расположенного на странице 131 к учебнику 2019 года издания для учащихся школ и гимназий.
Теперь на нашем сайте ГДЗ.ТОП вы всегда легко и бесплатно найдёте условие с правильным ответом на вопрос «Как решить ДЗ» и «Как сделать» задание по алгебре к упражнению №450 (с. 131), авторов: Солтан (Генадий Николаевич), Солтан (Алла Евгеньевна), Жумадилова (Аманбала Жумадиловна), учебного пособия издательства Кокшетау.