Номер 448, страница 131 - гдз по алгебре 9 класс учебник Солтан, Солтан

Авторы: Солтан Г. Н., Солтан А. Е., Жумадилова А. Ж.
Тип: Учебник
Издательство: Кокшетау
Год издания: 2019 - 2025
Цвет обложки:
ISBN: 978-601-317-424-2
Рекомендовано Министерством образования и науки Республики Казахстан
Популярные ГДЗ в 9 классе
18. Сумма n первых членов геометрической прогрессии. III. Последовательности - номер 448, страница 131.
№448 (с. 131)
Условие. №448 (с. 131)
скриншот условия

448. Найдите сумму первых шести членов геометрической прогрессии ($b_n$), если:
а) $b_1 = 0,4, q = \sqrt{2}$;
б) $b_2 = 2\sqrt{5}, b_3 = 10$;
в) $b_1 = 0,(3), q = \sqrt{3}$;
г) $b_1 = 7^{-1}, q = \sqrt{7}$.
Решение. №448 (с. 131)


Решение 2 (rus). №448 (с. 131)
Для нахождения суммы первых $n$ членов геометрической прогрессии используется формула: $S_n = \frac{b_1(q^n - 1)}{q - 1}$, где $b_1$ — первый член прогрессии, а $q$ — её знаменатель. Во всех случаях нам нужно найти $S_6$.
а) Дано: $b_1 = 0,4$, $q = \sqrt{2}$.
Подставим значения в формулу для $n=6$:
$S_6 = \frac{b_1(q^6 - 1)}{q - 1} = \frac{0,4((\sqrt{2})^6 - 1)}{\sqrt{2} - 1}$
Вычислим $q^6$: $(\sqrt{2})^6 = ((\sqrt{2})^2)^3 = 2^3 = 8$.
$S_6 = \frac{0,4(8 - 1)}{\sqrt{2} - 1} = \frac{0,4 \cdot 7}{\sqrt{2} - 1} = \frac{2,8}{\sqrt{2} - 1}$
Чтобы избавиться от иррациональности в знаменателе, умножим числитель и знаменатель на сопряженное выражение $(\sqrt{2} + 1)$:
$S_6 = \frac{2,8(\sqrt{2} + 1)}{(\sqrt{2} - 1)(\sqrt{2} + 1)} = \frac{2,8(\sqrt{2} + 1)}{(\sqrt{2})^2 - 1^2} = \frac{2,8(\sqrt{2} + 1)}{2 - 1} = 2,8(\sqrt{2} + 1)$.
Ответ: $2,8(\sqrt{2} + 1)$.
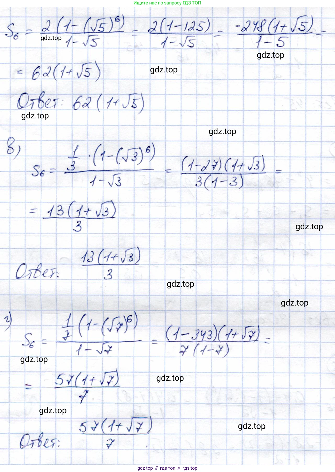
б) Дано: $b_2 = 2\sqrt{5}$, $b_3 = 10$.
Сначала найдем знаменатель прогрессии $q$ и ее первый член $b_1$.
$q = \frac{b_3}{b_2} = \frac{10}{2\sqrt{5}} = \frac{5}{\sqrt{5}} = \sqrt{5}$.
Так как $b_2 = b_1 \cdot q$, то $b_1 = \frac{b_2}{q} = \frac{2\sqrt{5}}{\sqrt{5}} = 2$.
Теперь найдем сумму $S_6$:
$S_6 = \frac{b_1(q^6 - 1)}{q - 1} = \frac{2((\sqrt{5})^6 - 1)}{\sqrt{5} - 1}$
Вычислим $q^6$: $(\sqrt{5})^6 = ((\sqrt{5})^2)^3 = 5^3 = 125$.
$S_6 = \frac{2(125 - 1)}{\sqrt{5} - 1} = \frac{2 \cdot 124}{\sqrt{5} - 1} = \frac{248}{\sqrt{5} - 1}$
Избавимся от иррациональности в знаменателе:
$S_6 = \frac{248(\sqrt{5} + 1)}{(\sqrt{5} - 1)(\sqrt{5} + 1)} = \frac{248(\sqrt{5} + 1)}{5 - 1} = \frac{248(\sqrt{5} + 1)}{4} = 62(\sqrt{5} + 1)$.
Ответ: $62(\sqrt{5} + 1)$.
в) Дано: $b_1 = 0,(3)$, $q = \sqrt{3}$.
Сначала переведем периодическую дробь в обыкновенную: $0,(3) = \frac{3}{9} = \frac{1}{3}$. Итак, $b_1 = \frac{1}{3}$.
Найдем сумму $S_6$:
$S_6 = \frac{b_1(q^6 - 1)}{q - 1} = \frac{\frac{1}{3}((\sqrt{3})^6 - 1)}{\sqrt{3} - 1}$
Вычислим $q^6$: $(\sqrt{3})^6 = ((\sqrt{3})^2)^3 = 3^3 = 27$.
$S_6 = \frac{\frac{1}{3}(27 - 1)}{\sqrt{3} - 1} = \frac{\frac{26}{3}}{\sqrt{3} - 1} = \frac{26}{3(\sqrt{3} - 1)}$
Избавимся от иррациональности в знаменателе:
$S_6 = \frac{26(\sqrt{3} + 1)}{3(\sqrt{3} - 1)(\sqrt{3} + 1)} = \frac{26(\sqrt{3} + 1)}{3(3 - 1)} = \frac{26(\sqrt{3} + 1)}{3 \cdot 2} = \frac{13(\sqrt{3} + 1)}{3}$.
Ответ: $\frac{13(\sqrt{3} + 1)}{3}$.
г) Дано: $b_1 = 7^{-1}$, $q = \sqrt{7}$.
Первый член прогрессии $b_1 = 7^{-1} = \frac{1}{7}$.
Найдем сумму $S_6$:
$S_6 = \frac{b_1(q^6 - 1)}{q - 1} = \frac{\frac{1}{7}((\sqrt{7})^6 - 1)}{\sqrt{7} - 1}$
Вычислим $q^6$: $(\sqrt{7})^6 = ((\sqrt{7})^2)^3 = 7^3 = 343$.
$S_6 = \frac{\frac{1}{7}(343 - 1)}{\sqrt{7} - 1} = \frac{\frac{342}{7}}{\sqrt{7} - 1} = \frac{342}{7(\sqrt{7} - 1)}$
Избавимся от иррациональности в знаменателе:
$S_6 = \frac{342(\sqrt{7} + 1)}{7(\sqrt{7} - 1)(\sqrt{7} + 1)} = \frac{342(\sqrt{7} + 1)}{7(7 - 1)} = \frac{342(\sqrt{7} + 1)}{42}$
Сократим дробь, разделив 342 на 6: $342 \div 6 = 57$.
$S_6 = \frac{57(\sqrt{7} + 1)}{7}$.
Ответ: $\frac{57(\sqrt{7} + 1)}{7}$.
Другие задания:
Помогло решение? Оставьте отзыв в комментариях ниже.
Присоединяйтесь к Телеграм-группе @top_gdz
ПрисоединитьсяМы подготовили для вас ответ c подробным объяснением домашего задания по алгебре за 9 класс, для упражнения номер 448 расположенного на странице 131 к учебнику 2019 года издания для учащихся школ и гимназий.
Теперь на нашем сайте ГДЗ.ТОП вы всегда легко и бесплатно найдёте условие с правильным ответом на вопрос «Как решить ДЗ» и «Как сделать» задание по алгебре к упражнению №448 (с. 131), авторов: Солтан (Генадий Николаевич), Солтан (Алла Евгеньевна), Жумадилова (Аманбала Жумадиловна), учебного пособия издательства Кокшетау.