Номер 501, страница 142 - гдз по алгебре 9 класс учебник Солтан, Солтан

Авторы: Солтан Г. Н., Солтан А. Е., Жумадилова А. Ж.
Тип: Учебник
Издательство: Кокшетау
Год издания: 2019 - 2025
Цвет обложки:
ISBN: 978-601-317-424-2
Рекомендовано Министерством образования и науки Республики Казахстан
Популярные ГДЗ в 9 классе
20. Упражнения на повторение раздела «Последовательности». III. Последовательности - номер 501, страница 142.
№501 (с. 142)
Условие. №501 (с. 142)
скриншот условия

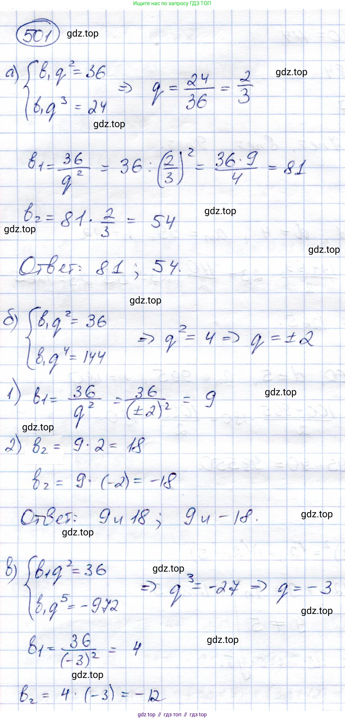
501. Найдите два первых члена геометрической прогрессии $(b_n)$, в которой:
a) $b_3 = 36, b_4 = 24;$
б) $b_3 = 36, b_5 = 144;$
в) $b_3 = 36, b_6 = -972;$
г) $b_3 = 36, b_7 = 2 \frac{1}{4}.$
Решение. №501 (с. 142)


Решение 2 (rus). №501 (с. 142)
а) Дано: $b_3 = 36$, $b_4 = 24$.
Найдем знаменатель геометрической прогрессии $q$, используя формулу $q = \frac{b_{n+1}}{b_n}$.
$q = \frac{b_4}{b_3} = \frac{24}{36} = \frac{2}{3}$.
Теперь найдем второй и первый члены прогрессии, используя формулу $b_n = \frac{b_{n+1}}{q}$.
$b_2 = \frac{b_3}{q} = \frac{36}{2/3} = 36 \cdot \frac{3}{2} = 54$.
$b_1 = \frac{b_2}{q} = \frac{54}{2/3} = 54 \cdot \frac{3}{2} = 81$.
Ответ: $b_1 = 81$, $b_2 = 54$.
б) Дано: $b_3 = 36$, $b_5 = 144$.
Найдем знаменатель прогрессии $q$, используя формулу $b_n = b_k \cdot q^{n-k}$.
$b_5 = b_3 \cdot q^{5-3} \Rightarrow 144 = 36 \cdot q^2$.
$q^2 = \frac{144}{36} = 4$.
Данное уравнение имеет два действительных решения: $q_1 = 2$ и $q_2 = -2$.
Рассмотрим оба случая:
1. Если $q = 2$:
$b_2 = \frac{b_3}{q} = \frac{36}{2} = 18$.
$b_1 = \frac{b_2}{q} = \frac{18}{2} = 9$.
2. Если $q = -2$:
$b_2 = \frac{b_3}{q} = \frac{36}{-2} = -18$.
$b_1 = \frac{b_2}{q} = \frac{-18}{-2} = 9$.
Таким образом, существуют две возможные прогрессии.
Ответ: $b_1 = 9$, $b_2 = 18$ или $b_1 = 9$, $b_2 = -18$.
в) Дано: $b_3 = 36$, $b_6 = -972$.
Найдем знаменатель прогрессии $q$ по формуле $b_n = b_k \cdot q^{n-k}$.
$b_6 = b_3 \cdot q^{6-3} \Rightarrow -972 = 36 \cdot q^3$.
$q^3 = \frac{-972}{36} = -27$.
Единственное действительное решение этого уравнения: $q = \sqrt[3]{-27} = -3$.
Теперь найдем $b_2$ и $b_1$:
$b_2 = \frac{b_3}{q} = \frac{36}{-3} = -12$.
$b_1 = \frac{b_2}{q} = \frac{-12}{-3} = 4$.
Ответ: $b_1 = 4$, $b_2 = -12$.
г) Дано: $b_3 = 36$, $b_7 = 2\frac{1}{4}$.
Сначала преобразуем смешанную дробь в неправильную: $b_7 = \frac{2 \cdot 4 + 1}{4} = \frac{9}{4}$.
Найдем знаменатель прогрессии $q$ по формуле $b_n = b_k \cdot q^{n-k}$.
$b_7 = b_3 \cdot q^{7-3} \Rightarrow \frac{9}{4} = 36 \cdot q^4$.
$q^4 = \frac{9}{4 \cdot 36} = \frac{1}{4 \cdot 4} = \frac{1}{16}$.
Данное уравнение имеет два действительных решения: $q_1 = \frac{1}{2}$ и $q_2 = -\frac{1}{2}$.
Рассмотрим оба случая:
1. Если $q = \frac{1}{2}$:
$b_2 = \frac{b_3}{q} = \frac{36}{1/2} = 72$.
$b_1 = \frac{b_2}{q} = \frac{72}{1/2} = 144$.
2. Если $q = -\frac{1}{2}$:
$b_2 = \frac{b_3}{q} = \frac{36}{-1/2} = -72$.
$b_1 = \frac{b_2}{q} = \frac{-72}{-1/2} = 144$.
Таким образом, существуют две возможные прогрессии.
Ответ: $b_1 = 144$, $b_2 = 72$ или $b_1 = 144$, $b_2 = -72$.
Другие задания:
Помогло решение? Оставьте отзыв в комментариях ниже.
Присоединяйтесь к Телеграм-группе @top_gdz
ПрисоединитьсяМы подготовили для вас ответ c подробным объяснением домашего задания по алгебре за 9 класс, для упражнения номер 501 расположенного на странице 142 к учебнику 2019 года издания для учащихся школ и гимназий.
Теперь на нашем сайте ГДЗ.ТОП вы всегда легко и бесплатно найдёте условие с правильным ответом на вопрос «Как решить ДЗ» и «Как сделать» задание по алгебре к упражнению №501 (с. 142), авторов: Солтан (Генадий Николаевич), Солтан (Алла Евгеньевна), Жумадилова (Аманбала Жумадиловна), учебного пособия издательства Кокшетау.