Номер 507, страница 144 - гдз по алгебре 9 класс учебник Солтан, Солтан

Авторы: Солтан Г. Н., Солтан А. Е., Жумадилова А. Ж.
Тип: Учебник
Издательство: Кокшетау
Год издания: 2019 - 2025
Цвет обложки:
ISBN: 978-601-317-424-2
Рекомендовано Министерством образования и науки Республики Казахстан
Популярные ГДЗ в 9 классе
20. Упражнения на повторение раздела «Последовательности». III. Последовательности - номер 507, страница 144.
№507 (с. 144)
Условие. №507 (с. 144)
скриншот условия

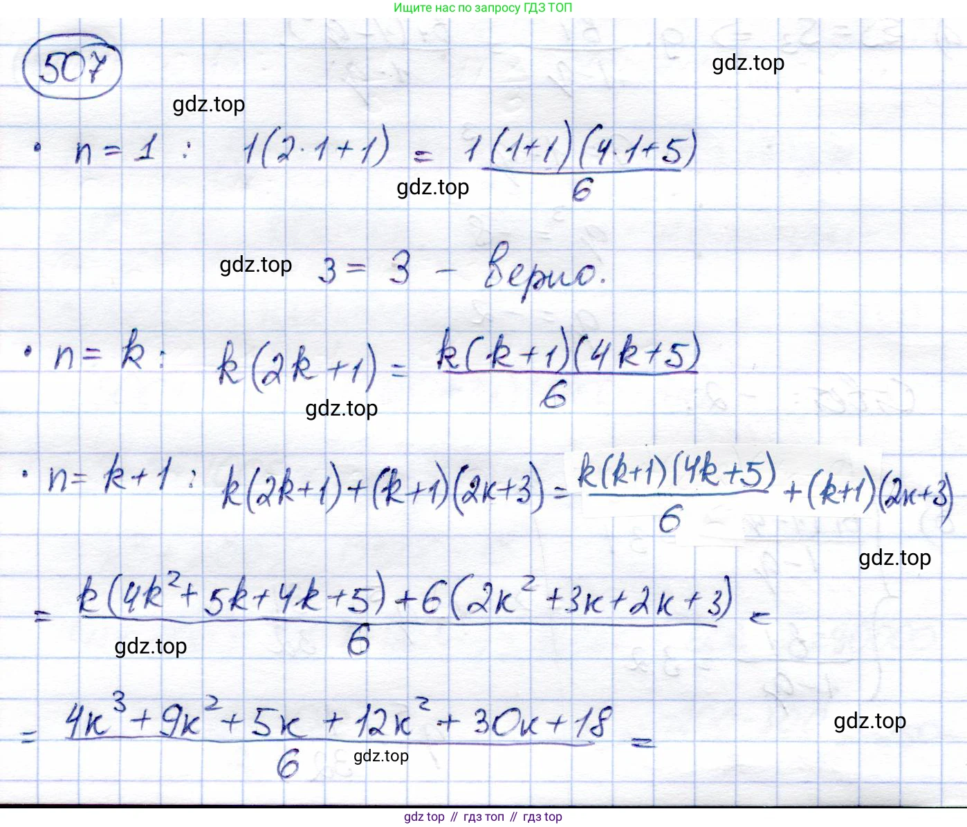
507. Последовательность $(b_n)$ задана формулой $n$-го члена $b_n = n(2n + 1)$. Докажите, что сумму $n$ первых ее членов можно найти по формуле $S_n = \frac{n(n + 1)(4n + 5)}{6}$.
Решение. №507 (с. 144)


Решение 2 (rus). №507 (с. 144)
Для доказательства того, что сумма $n$ первых членов последовательности $(b_n)$, заданной формулой $b_n = n(2n + 1)$, может быть найдена по формуле $S_n = \frac{n(n+1)(4n+5)}{6}$, мы выразим сумму $S_n$ через известные суммы степеней натуральных чисел.
Сумма $S_n$ по определению равна:
$S_n = \sum_{k=1}^{n} b_k = \sum_{k=1}^{n} k(2k + 1)$
Раскроем скобки в выражении под знаком суммы, чтобы разделить ее на более простые части:
$S_n = \sum_{k=1}^{n} (2k^2 + k)$
Используя свойство аддитивности суммы, представим $S_n$ в виде суммы двух слагаемых:
$S_n = \sum_{k=1}^{n} 2k^2 + \sum_{k=1}^{n} k$
Вынесем константу 2 за знак первой суммы:
$S_n = 2\sum_{k=1}^{n} k^2 + \sum_{k=1}^{n} k$
Теперь воспользуемся стандартными формулами для суммы первых $n$ натуральных чисел и суммы их квадратов:
1. Сумма первых $n$ чисел: $\sum_{k=1}^{n} k = \frac{n(n+1)}{2}$
2. Сумма квадратов первых $n$ чисел: $\sum_{k=1}^{n} k^2 = \frac{n(n+1)(2n+1)}{6}$
Подставим эти формулы в наше выражение для $S_n$:
$S_n = 2 \cdot \left( \frac{n(n+1)(2n+1)}{6} \right) + \frac{n(n+1)}{2}$
Сократим множитель 2 в первом слагаемом:
$S_n = \frac{n(n+1)(2n+1)}{3} + \frac{n(n+1)}{2}$
Для сложения дробей приведем их к общему знаменателю, равному 6:
$S_n = \frac{2 \cdot n(n+1)(2n+1)}{6} + \frac{3 \cdot n(n+1)}{6}$
Теперь вынесем общий множитель $\frac{n(n+1)}{6}$ за скобки:
$S_n = \frac{n(n+1)}{6} [2(2n+1) + 3]$
Упростим выражение в квадратных скобках:
$2(2n+1) + 3 = 4n + 2 + 3 = 4n + 5$
Наконец, подставим упрощенное выражение обратно в формулу для $S_n$:
$S_n = \frac{n(n+1)(4n+5)}{6}$
Полученное выражение в точности совпадает с формулой, которую требовалось доказать.
Ответ: Утверждение доказано. Сумма $n$ первых членов последовательности $b_n = n(2n+1)$ действительно равна $S_n = \frac{n(n+1)(4n+5)}{6}$.
Другие задания:
Помогло решение? Оставьте отзыв в комментариях ниже.
Присоединяйтесь к Телеграм-группе @top_gdz
ПрисоединитьсяМы подготовили для вас ответ c подробным объяснением домашего задания по алгебре за 9 класс, для упражнения номер 507 расположенного на странице 144 к учебнику 2019 года издания для учащихся школ и гимназий.
Теперь на нашем сайте ГДЗ.ТОП вы всегда легко и бесплатно найдёте условие с правильным ответом на вопрос «Как решить ДЗ» и «Как сделать» задание по алгебре к упражнению №507 (с. 144), авторов: Солтан (Генадий Николаевич), Солтан (Алла Евгеньевна), Жумадилова (Аманбала Жумадиловна), учебного пособия издательства Кокшетау.