Номер 518, страница 145 - гдз по алгебре 9 класс учебник Солтан, Солтан

Авторы: Солтан Г. Н., Солтан А. Е., Жумадилова А. Ж.
Тип: Учебник
Издательство: Кокшетау
Год издания: 2019 - 2025
Цвет обложки:
ISBN: 978-601-317-424-2
Рекомендовано Министерством образования и науки Республики Казахстан
Популярные ГДЗ в 9 классе
20. Упражнения на повторение раздела «Последовательности». III. Последовательности - номер 518, страница 145.
№518 (с. 145)
Условие. №518 (с. 145)
скриншот условия

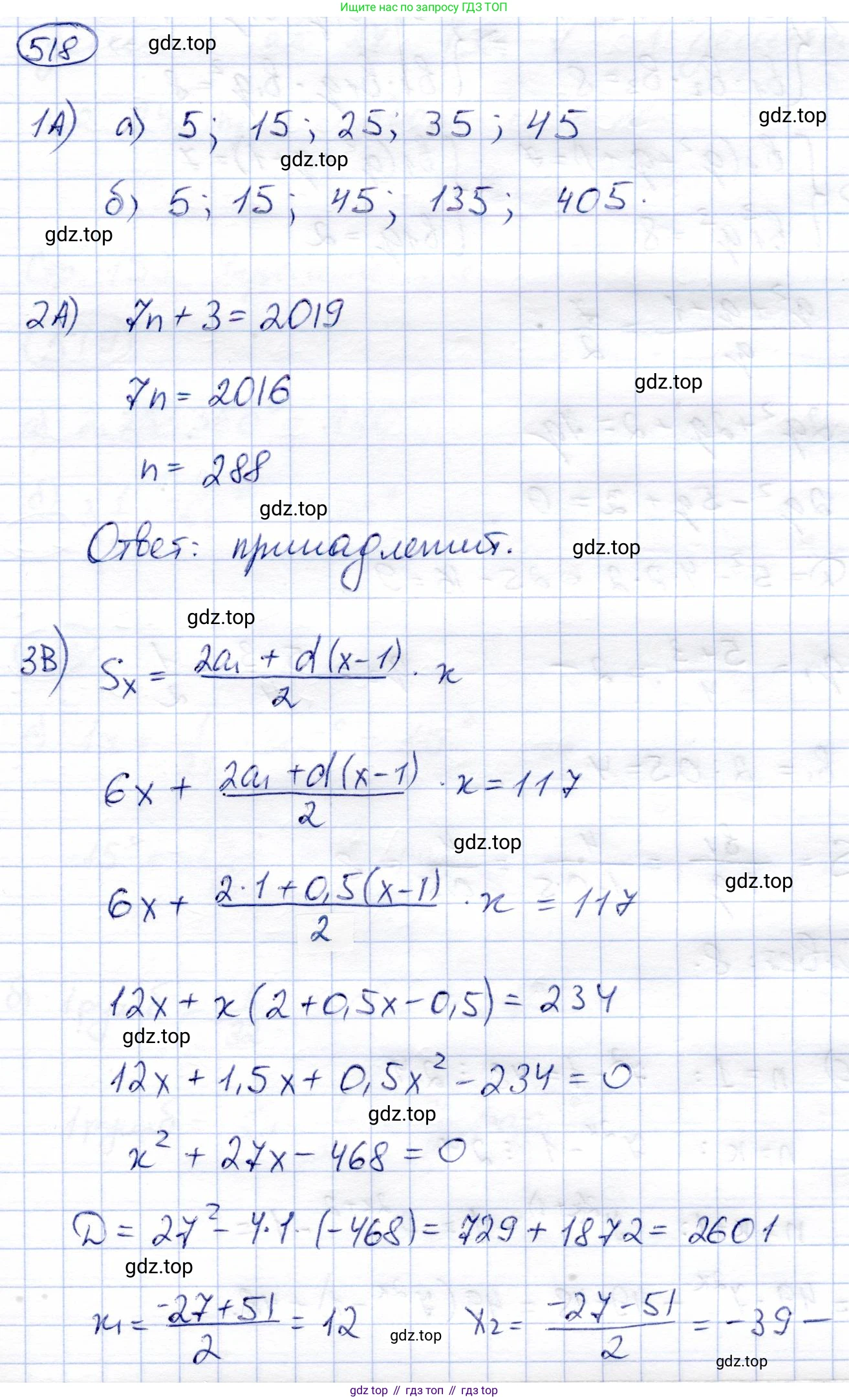
518. 1А) Последовательность ($a_n$) начинается так: 5; 15; ... Запишите первые пять членов этой последовательности, если она является: а) арифметической прогрессией; б) геометрической прогрессией.
2А) Последовательность задана формулой $a_n = 7n + 3$ ее n-го члена. Установите, принадлежит ли этой последовательности число 2019.
3В) Из двух пунктов, расстояние между которыми равно 117 м, одновременно навстречу друг другу начали двигаться два жука. За первую минуту один из них прошел 1 м, а в каждую последующую минуту на 0,5 м больше, чем в предыдущую. Другой жук проходил за каждую минуту 6 м. Через сколько минут они встретятся?
4В) Найдите сумму бесконечно убывающей геометрической прогрессии, сумма первых трех членов которой равна 7, а их произведение равно 8.
5С) Докажите, что при любом $n \in N$ значение выражения $7^{2n} - 1$ делится на 24.
Решение. №518 (с. 145)



Решение 2 (rus). №518 (с. 145)
1А)
а) В случае, если последовательность является арифметической прогрессией, каждый следующий член получается из предыдущего прибавлением постоянного числа $d$ (разности прогрессии).
Найдем разность $d$, зная первые два члена $a_1=5$ и $a_2=15$:
$d = a_2 - a_1 = 15 - 5 = 10$.
Теперь найдем третий, четвертый и пятый члены последовательности:
$a_3 = a_2 + d = 15 + 10 = 25$
$a_4 = a_3 + d = 25 + 10 = 35$
$a_5 = a_4 + d = 35 + 10 = 45$
Таким образом, первые пять членов последовательности: 5, 15, 25, 35, 45.
Ответ: 5, 15, 25, 35, 45.
б) В случае, если последовательность является геометрической прогрессией, каждый следующий член получается из предыдущего умножением на постоянное число $q$ (знаменатель прогрессии).
Найдем знаменатель $q$, зная первые два члена $a_1=5$ и $a_2=15$:
$q = a_2 / a_1 = 15 / 5 = 3$.
Теперь найдем третий, четвертый и пятый члены последовательности:
$a_3 = a_2 \cdot q = 15 \cdot 3 = 45$
$a_4 = a_3 \cdot q = 45 \cdot 3 = 135$
$a_5 = a_4 \cdot q = 135 \cdot 3 = 405$
Таким образом, первые пять членов последовательности: 5, 15, 45, 135, 405.
Ответ: 5, 15, 45, 135, 405.
2А)
Чтобы определить, принадлежит ли число 2019 последовательности, заданной формулой $a_n = 7n + 3$, нужно проверить, существует ли такое натуральное число $n$ (номер члена последовательности), при котором $a_n$ будет равно 2019.
Составим и решим уравнение:
$a_n = 2019$
$7n + 3 = 2019$
$7n = 2019 - 3$
$7n = 2016$
$n = \frac{2016}{7}$
$n = 288$
Поскольку мы получили в результате натуральное число $n=288$, это означает, что число 2019 является 288-м членом данной последовательности.
Ответ: Да, принадлежит.
3В)
Пусть $t$ — время в минутах, через которое жуки встретятся.
Движение первого жука описывается арифметической прогрессией, где первый член $a_1 = 1$ м (путь за первую минуту), а разность $d = 0,5$ м. Расстояние $S_1(t)$, которое пройдет первый жук за время $t$, равно сумме первых $t$ членов этой прогрессии:
$S_1(t) = \frac{2a_1 + d(t-1)}{2} \cdot t = \frac{2 \cdot 1 + 0,5(t-1)}{2} \cdot t = \frac{2 + 0,5t - 0,5}{2} \cdot t = \frac{1,5 + 0,5t}{2} \cdot t$.
Второй жук двигается с постоянной скоростью 6 м/мин. Расстояние $S_2(t)$, которое он пройдет за время $t$, равно:
$S_2(t) = 6t$.
В момент встречи суммарное расстояние, пройденное обоими жуками, будет равно начальному расстоянию между ними, то есть 117 м. Составим уравнение:
$S_1(t) + S_2(t) = 117$
$\frac{t(1,5 + 0,5t)}{2} + 6t = 117$.
Решим это уравнение. Умножим обе части на 2:
$t(1,5 + 0,5t) + 12t = 234$
$1,5t + 0,5t^2 + 12t - 234 = 0$
$0,5t^2 + 13,5t - 234 = 0$.
Умножим уравнение на 2, чтобы избавиться от десятичных дробей:
$t^2 + 27t - 468 = 0$.
Найдем дискриминант квадратного уравнения:
$D = b^2 - 4ac = 27^2 - 4 \cdot 1 \cdot (-468) = 729 + 1872 = 2601$.
$\sqrt{D} = \sqrt{2601} = 51$.
Найдем корни уравнения:
$t_1 = \frac{-27 + 51}{2} = \frac{24}{2} = 12$
$t_2 = \frac{-27 - 51}{2} = \frac{-78}{2} = -39$.
Так как время не может быть отрицательным, физический смысл имеет только корень $t = 12$.
Ответ: Через 12 минут.
4В)
Пусть $b_1, b_2, b_3$ - первые три члена бесконечно убывающей геометрической прогрессии со знаменателем $q$, где $|q|<1$. Их можно записать как $b_1$, $b_1q$, $b_1q^2$.
Из условия задачи имеем систему уравнений:
1) $b_1 + b_1q + b_1q^2 = 7$
2) $b_1 \cdot b_1q \cdot b_1q^2 = 8$
Упростим второе уравнение:
$(b_1)^3 q^3 = 8$
$(b_1q)^3 = 8$
Поскольку $b_2 = b_1q$, то $b_2^3 = 8$, откуда $b_2 = \sqrt[3]{8} = 2$.
Теперь подставим $b_2=2$ в первое уравнение. Выразим $b_1$ и $b_3$ через $b_2$ и $q$: $b_1 = b_2/q = 2/q$ и $b_3 = b_2q = 2q$.
$\frac{2}{q} + 2 + 2q = 7$.
Решим это уравнение относительно $q$:
$\frac{2}{q} + 2q = 7 - 2$
$\frac{2}{q} + 2q = 5$
Умножим обе части на $q$ (где $q \neq 0$):
$2 + 2q^2 = 5q$
$2q^2 - 5q + 2 = 0$.
Найдем корни квадратного уравнения по формуле:
$D = (-5)^2 - 4 \cdot 2 \cdot 2 = 25 - 16 = 9$
$q_1 = \frac{5 + \sqrt{9}}{2 \cdot 2} = \frac{5+3}{4} = 2$
$q_2 = \frac{5 - \sqrt{9}}{2 \cdot 2} = \frac{5-3}{4} = \frac{2}{4} = 0,5$.
Поскольку прогрессия является бесконечно убывающей, ее знаменатель должен удовлетворять условию $|q|<1$. Этому условию удовлетворяет только $q = 0,5$.
Найдем первый член прогрессии $b_1$:
$b_1 = \frac{b_2}{q} = \frac{2}{0,5} = 4$.
Теперь найдем сумму бесконечно убывающей геометрической прогрессии по формуле $S = \frac{b_1}{1-q}$:
$S = \frac{4}{1 - 0,5} = \frac{4}{0,5} = 8$.
Ответ: 8.
5С)
Требуется доказать, что выражение $7^{2n} - 1$ делится на 24 для любого натурального числа $n \in N$.
Преобразуем данное выражение, используя свойство степеней $a^{bc} = (a^b)^c$:
$7^{2n} - 1 = (7^2)^n - 1 = 49^n - 1$.
Воспользуемся формулой разности n-ых степеней: $a^k - b^k = (a-b)(a^{k-1} + a^{k-2}b + \dots + ab^{k-2} + b^{k-1})$.
Применим ее для $a=49$, $b=1$ и степени $k=n$:
$49^n - 1^n = (49-1)(49^{n-1} \cdot 1^0 + 49^{n-2} \cdot 1^1 + \dots + 1^{n-1})$
$49^n - 1 = 48 \cdot (49^{n-1} + 49^{n-2} + \dots + 49 + 1)$.
Так как $n$ — натуральное число, то выражение в скобках является суммой натуральных чисел, и, следовательно, само является натуральным числом. Обозначим его как $K$.
Тогда $7^{2n} - 1 = 48K$.
Поскольку $48 = 2 \cdot 24$, мы можем переписать выражение как $24 \cdot (2K)$.
Так как $K$ — целое число, то $2K$ также является целым числом. Это означает, что выражение $7^{2n} - 1$ представимо в виде произведения числа 24 и целого числа $2K$, следовательно, оно делится на 24 нацело при любом натуральном $n$. Что и требовалось доказать.
Ответ: Утверждение доказано.
Другие задания:
Помогло решение? Оставьте отзыв в комментариях ниже.
Присоединяйтесь к Телеграм-группе @top_gdz
ПрисоединитьсяМы подготовили для вас ответ c подробным объяснением домашего задания по алгебре за 9 класс, для упражнения номер 518 расположенного на странице 145 к учебнику 2019 года издания для учащихся школ и гимназий.
Теперь на нашем сайте ГДЗ.ТОП вы всегда легко и бесплатно найдёте условие с правильным ответом на вопрос «Как решить ДЗ» и «Как сделать» задание по алгебре к упражнению №518 (с. 145), авторов: Солтан (Генадий Николаевич), Солтан (Алла Евгеньевна), Жумадилова (Аманбала Жумадиловна), учебного пособия издательства Кокшетау.