Номер 523, страница 154 - гдз по алгебре 9 класс учебник Солтан, Солтан

Авторы: Солтан Г. Н., Солтан А. Е., Жумадилова А. Ж.
Тип: Учебник
Издательство: Кокшетау
Год издания: 2019 - 2025
Цвет обложки:
ISBN: 978-601-317-424-2
Рекомендовано Министерством образования и науки Республики Казахстан
Популярные ГДЗ в 9 классе
21. Градусная и радианная меры углов и дуг. IV. Тригонометрия - номер 523, страница 154.
№523 (с. 154)
Условие. №523 (с. 154)
скриншот условия

523. Найдите градусную и радианную меры углов:
а) прямоугольного треугольника, острые углы которого относятся как 3 : 2;
б) равнобедренного треугольника, два угла которого относятся как 1 : 2;
в) равнобедренной трапеции, два угла которой относятся как 5 : 4.
Решение. №523 (с. 154)


Решение 2 (rus). №523 (с. 154)
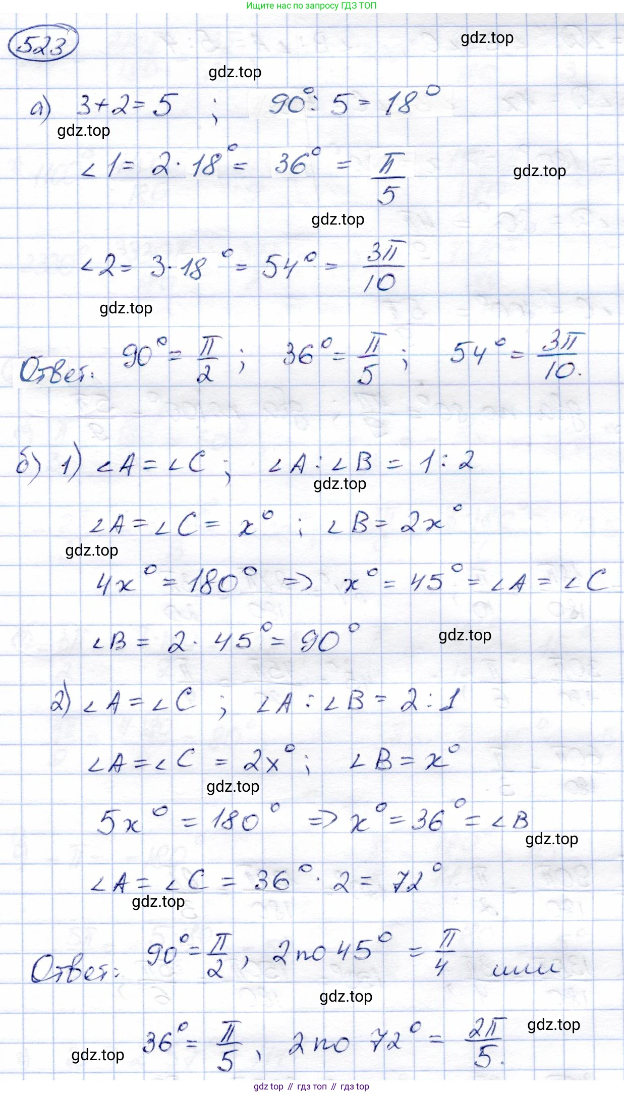
а) В прямоугольном треугольнике один угол равен $90^\circ$ (или $\frac{\pi}{2}$ радиан). Сумма двух других, острых, углов равна $180^\circ - 90^\circ = 90^\circ$. Пусть острые углы $\alpha$ и $\beta$ относятся как $3:2$. Обозначим их как $\alpha = 3x$ и $\beta = 2x$. Их сумма $3x + 2x = 90^\circ$, откуда $5x = 90^\circ$ и $x = 18^\circ$. Следовательно, острые углы равны $\alpha = 3 \cdot 18^\circ = 54^\circ$ и $\beta = 2 \cdot 18^\circ = 36^\circ$. Таким образом, углы треугольника в градусах: $36^\circ, 54^\circ, 90^\circ$. Переведем их в радианы по формуле $радианы = градусы \cdot \frac{\pi}{180}$: $36^\circ = 36 \cdot \frac{\pi}{180} = \frac{\pi}{5}$ радиан; $54^\circ = 54 \cdot \frac{\pi}{180} = \frac{3\pi}{10}$ радиан; $90^\circ = 90 \cdot \frac{\pi}{180} = \frac{\pi}{2}$ радиан.
Ответ: углы треугольника равны $36^\circ$, $54^\circ$, $90^\circ$ или в радианах $\frac{\pi}{5}$, $\frac{3\pi}{10}$, $\frac{\pi}{2}$.
б) В равнобедренном треугольнике углы при основании равны, а сумма всех углов составляет $180^\circ$. Условие, что два угла относятся как $1:2$, приводит к двум возможным случаям, так как не уточнено, какие именно углы имеются в виду.
Случай 1: Отношение угла при основании к углу при вершине равно $1:2$. Пусть угол при основании равен $x$, тогда второй угол при основании также равен $x$, а угол при вершине — $2x$. Сумма углов $x + x + 2x = 180^\circ$, что дает $4x = 180^\circ$ и $x = 45^\circ$. Углы треугольника: $45^\circ, 45^\circ, 90^\circ$. В радианах это $\frac{\pi}{4}, \frac{\pi}{4}, \frac{\pi}{2}$.
Случай 2: Отношение угла при вершине к углу при основании равно $1:2$. Пусть угол при вершине равен $x$, а углы при основании — $2x$. Сумма углов $x + 2x + 2x = 180^\circ$, что дает $5x = 180^\circ$ и $x = 36^\circ$. Углы треугольника: $36^\circ, 72^\circ, 72^\circ$. В радианах это $\frac{\pi}{5}, \frac{2\pi}{5}, \frac{2\pi}{5}$.
Ответ: возможны два варианта: 1) углы равны $45^\circ, 45^\circ, 90^\circ$ (в радианах $\frac{\pi}{4}, \frac{\pi}{4}, \frac{\pi}{2}$); 2) углы равны $36^\circ, 72^\circ, 72^\circ$ (в радианах $\frac{\pi}{5}, \frac{2\pi}{5}, \frac{2\pi}{5}$).
в) В равнобедренной трапеции углы при каждом основании равны между собой, а сумма углов, прилежащих к боковой стороне, равна $180^\circ$. Пусть углы при одном основании равны $\alpha$, а при другом — $\beta$. Тогда $\alpha + \beta = 180^\circ$. По условию, два угла относятся как $5:4$. Это могут быть только углы при разных основаниях, т.е. $\alpha$ и $\beta$. Пусть $\alpha = 5x$ и $\beta = 4x$. Из их суммы получаем уравнение $5x + 4x = 180^\circ$, откуда $9x = 180^\circ$ и $x = 20^\circ$. Тогда углы равны $\alpha = 5 \cdot 20^\circ = 100^\circ$ и $\beta = 4 \cdot 20^\circ = 80^\circ$. Таким образом, четыре угла трапеции: $80^\circ, 80^\circ, 100^\circ, 100^\circ$. Переведем в радианы: $80^\circ = 80 \cdot \frac{\pi}{180} = \frac{4\pi}{9}$ радиан; $100^\circ = 100 \cdot \frac{\pi}{180} = \frac{5\pi}{9}$ радиан.
Ответ: углы трапеции равны $80^\circ, 80^\circ, 100^\circ, 100^\circ$ или в радианах $\frac{4\pi}{9}, \frac{4\pi}{9}, \frac{5\pi}{9}, \frac{5\pi}{9}$.
Другие задания:
Помогло решение? Оставьте отзыв в комментариях ниже.
Присоединяйтесь к Телеграм-группе @top_gdz
ПрисоединитьсяМы подготовили для вас ответ c подробным объяснением домашего задания по алгебре за 9 класс, для упражнения номер 523 расположенного на странице 154 к учебнику 2019 года издания для учащихся школ и гимназий.
Теперь на нашем сайте ГДЗ.ТОП вы всегда легко и бесплатно найдёте условие с правильным ответом на вопрос «Как решить ДЗ» и «Как сделать» задание по алгебре к упражнению №523 (с. 154), авторов: Солтан (Генадий Николаевич), Солтан (Алла Евгеньевна), Жумадилова (Аманбала Жумадиловна), учебного пособия издательства Кокшетау.