Номер 551, страница 165 - гдз по алгебре 9 класс учебник Солтан, Солтан

Авторы: Солтан Г. Н., Солтан А. Е., Жумадилова А. Ж.
Тип: Учебник
Издательство: Кокшетау
Год издания: 2019 - 2025
Цвет обложки:
ISBN: 978-601-317-424-2
Рекомендовано Министерством образования и науки Республики Казахстан
Популярные ГДЗ в 9 классе
22. Синус, косинус, тангенс и котангенс произвольного угла. IV. Тригонометрия - номер 551, страница 165.
№551 (с. 165)
Условие. №551 (с. 165)
скриншот условия

551. Вычислите:
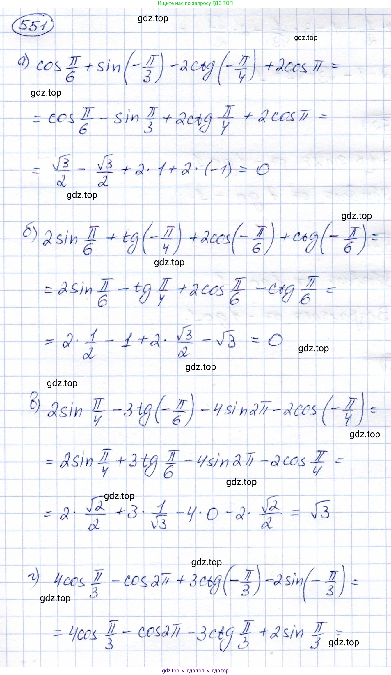
a) $\cos\frac{\pi}{6} + \sin\left(-\frac{\pi}{3}\right) - 2\operatorname{ctg}\left(-\frac{\pi}{4}\right) + 2\cos \pi$;
б) $2\sin\frac{\pi}{6} + \operatorname{tg}\left(-\frac{\pi}{4}\right) + 2\cos\left(-\frac{\pi}{6}\right) + \operatorname{ctg}\left(-\frac{\pi}{6}\right)$;
в) $2\sin\frac{\pi}{4} - 3\operatorname{tg}\left(-\frac{\pi}{6}\right) - 4\sin 2\pi - 2\cos\left(-\frac{\pi}{4}\right)$;
г) $4\cos\frac{\pi}{3} - \cos 2\pi + 3\operatorname{ctg}\left(-\frac{\pi}{3}\right) - 2\sin\left(-\frac{\pi}{3}\right)$.
Решение. №551 (с. 165)


Решение 2 (rus). №551 (с. 165)
а) $ \cos\frac{\pi}{6} + \sin(-\frac{\pi}{3}) - 2\mathrm{ctg}(-\frac{\pi}{4}) + 2\cos\pi $
Для решения воспользуемся свойствами четности и нечетности тригонометрических функций: $ \sin(-x) = -\sin x $ (нечетная функция) и $ \mathrm{ctg}(-x) = -\mathrm{ctg} x $ (нечетная функция).
Преобразуем исходное выражение:
$ \cos\frac{\pi}{6} - \sin\frac{\pi}{3} - 2(-\mathrm{ctg}\frac{\pi}{4}) + 2\cos\pi = \cos\frac{\pi}{6} - \sin\frac{\pi}{3} + 2\mathrm{ctg}\frac{\pi}{4} + 2\cos\pi $
Теперь подставим табличные значения тригонометрических функций: $ \cos\frac{\pi}{6} = \frac{\sqrt{3}}{2} $, $ \sin\frac{\pi}{3} = \frac{\sqrt{3}}{2} $, $ \mathrm{ctg}\frac{\pi}{4} = 1 $, $ \cos\pi = -1 $.
Подставляем значения в выражение и вычисляем:
$ \frac{\sqrt{3}}{2} - \frac{\sqrt{3}}{2} + 2 \cdot 1 + 2 \cdot (-1) = 0 + 2 - 2 = 0 $
Ответ: 0
б) $ 2\sin\frac{\pi}{6} + \mathrm{tg}(-\frac{\pi}{4}) + 2\cos(-\frac{\pi}{6}) + \mathrm{ctg}(-\frac{\pi}{6}) $
Используем свойства четности и нечетности: $ \mathrm{tg}(-x) = -\mathrm{tg} x $ (нечетная), $ \cos(-x) = \cos x $ (четная), $ \mathrm{ctg}(-x) = -\mathrm{ctg} x $ (нечетная).
Преобразуем выражение:
$ 2\sin\frac{\pi}{6} - \mathrm{tg}\frac{\pi}{4} + 2\cos\frac{\pi}{6} - \mathrm{ctg}\frac{\pi}{6} $
Подставим табличные значения: $ \sin\frac{\pi}{6} = \frac{1}{2} $, $ \mathrm{tg}\frac{\pi}{4} = 1 $, $ \cos\frac{\pi}{6} = \frac{\sqrt{3}}{2} $, $ \mathrm{ctg}\frac{\pi}{6} = \sqrt{3} $.
Подставляем значения и вычисляем:
$ 2 \cdot \frac{1}{2} - 1 + 2 \cdot \frac{\sqrt{3}}{2} - \sqrt{3} = 1 - 1 + \sqrt{3} - \sqrt{3} = 0 $
Ответ: 0
в) $ 2\sin\frac{\pi}{4} - 3\mathrm{tg}(-\frac{\pi}{6}) - 4\sin 2\pi - 2\cos(-\frac{\pi}{4}) $
Используем свойства четности и нечетности: $ \mathrm{tg}(-x) = -\mathrm{tg} x $ и $ \cos(-x) = \cos x $.
Преобразуем выражение:
$ 2\sin\frac{\pi}{4} - 3(-\mathrm{tg}\frac{\pi}{6}) - 4\sin 2\pi - 2\cos\frac{\pi}{4} = 2\sin\frac{\pi}{4} + 3\mathrm{tg}\frac{\pi}{6} - 4\sin 2\pi - 2\cos\frac{\pi}{4} $
Подставим табличные значения: $ \sin\frac{\pi}{4} = \frac{\sqrt{2}}{2} $, $ \mathrm{tg}\frac{\pi}{6} = \frac{\sqrt{3}}{3} $, $ \sin 2\pi = 0 $, $ \cos\frac{\pi}{4} = \frac{\sqrt{2}}{2} $.
Подставляем значения и вычисляем:
$ 2 \cdot \frac{\sqrt{2}}{2} + 3 \cdot \frac{\sqrt{3}}{3} - 4 \cdot 0 - 2 \cdot \frac{\sqrt{2}}{2} = \sqrt{2} + \sqrt{3} - 0 - \sqrt{2} = \sqrt{3} $
Ответ: $ \sqrt{3} $
г) $ 4\cos\frac{\pi}{3} - \cos 2\pi + 3\mathrm{ctg}(-\frac{\pi}{3}) - 2\sin(-\frac{\pi}{3}) $
Используем свойства нечетности функций синус и котангенс: $ \mathrm{ctg}(-x) = -\mathrm{ctg} x $ и $ \sin(-x) = -\sin x $.
Преобразуем выражение:
$ 4\cos\frac{\pi}{3} - \cos 2\pi + 3(-\mathrm{ctg}\frac{\pi}{3}) - 2(-\sin\frac{\pi}{3}) = 4\cos\frac{\pi}{3} - \cos 2\pi - 3\mathrm{ctg}\frac{\pi}{3} + 2\sin\frac{\pi}{3} $
Подставим табличные значения: $ \cos\frac{\pi}{3} = \frac{1}{2} $, $ \cos 2\pi = 1 $, $ \mathrm{ctg}\frac{\pi}{3} = \frac{\sqrt{3}}{3} $, $ \sin\frac{\pi}{3} = \frac{\sqrt{3}}{2} $.
Подставляем значения и вычисляем:
$ 4 \cdot \frac{1}{2} - 1 - 3 \cdot \frac{\sqrt{3}}{3} + 2 \cdot \frac{\sqrt{3}}{2} = 2 - 1 - \sqrt{3} + \sqrt{3} = 1 $
Ответ: 1
Другие задания:
Помогло решение? Оставьте отзыв в комментариях ниже.
Присоединяйтесь к Телеграм-группе @top_gdz
ПрисоединитьсяМы подготовили для вас ответ c подробным объяснением домашего задания по алгебре за 9 класс, для упражнения номер 551 расположенного на странице 165 к учебнику 2019 года издания для учащихся школ и гимназий.
Теперь на нашем сайте ГДЗ.ТОП вы всегда легко и бесплатно найдёте условие с правильным ответом на вопрос «Как решить ДЗ» и «Как сделать» задание по алгебре к упражнению №551 (с. 165), авторов: Солтан (Генадий Николаевич), Солтан (Алла Евгеньевна), Жумадилова (Аманбала Жумадиловна), учебного пособия издательства Кокшетау.