Номер 57, страница 23 - гдз по алгебре 9 класс учебник Солтан, Солтан

Авторы: Солтан Г. Н., Солтан А. Е., Жумадилова А. Ж.
Тип: Учебник
Издательство: Кокшетау
Год издания: 2019 - 2025
Цвет обложки:
ISBN: 978-601-317-424-2
Рекомендовано Министерством образования и науки Республики Казахстан
Популярные ГДЗ в 9 классе
1. Нелинейные уравнения с двумя переменными. I. Уравнения, неравенства с двумя переменными и их системы - номер 57, страница 23.
№57 (с. 23)
Условие. №57 (с. 23)
скриншот условия

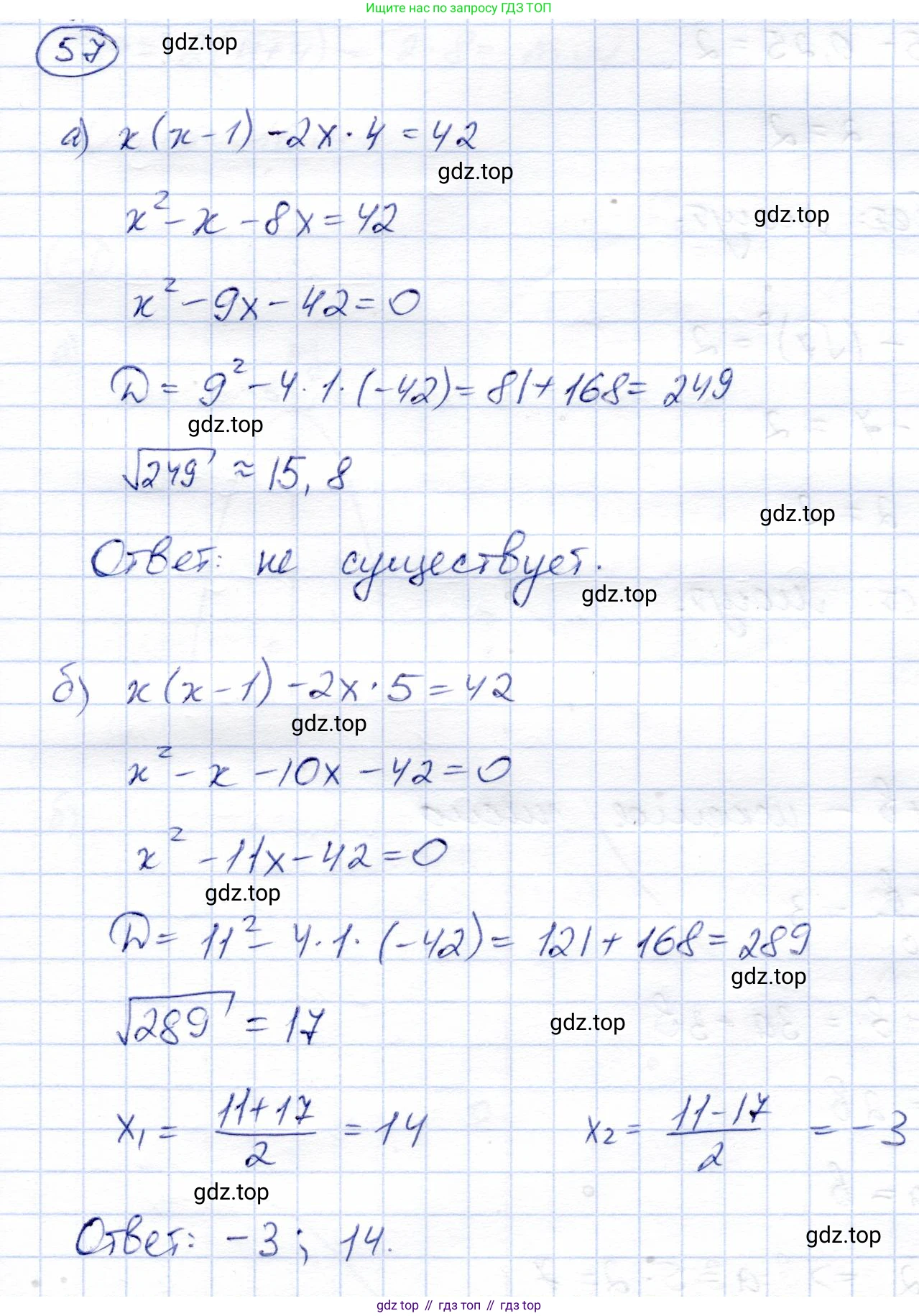
57. Исследуйте, существует ли целое значение x такое, что решением уравнения $x(x-1) - 2xy = 42$ является пара чисел:
а) $(x; 4)$;
б) $(x; 5)$.
Решение. №57 (с. 23)

Решение 2 (rus). №57 (с. 23)
а) (x; 4)
Чтобы проверить, может ли пара чисел $(x; 4)$ быть решением уравнения при целом $x$, подставим значение $y=4$ в исходное уравнение $x(x - 1) - 2xy = 42$.
$x(x - 1) - 2x(4) = 42$
Раскроем скобки и упростим выражение:
$x^2 - x - 8x = 42$
$x^2 - 9x - 42 = 0$
Мы получили квадратное уравнение. Чтобы найти его корни, вычислим дискриминант $D$:
$D = b^2 - 4ac = (-9)^2 - 4 \cdot 1 \cdot (-42) = 81 + 168 = 249$
Корни уравнения вычисляются по формуле $x = \frac{-b \pm \sqrt{D}}{2a}$. В нашем случае $x = \frac{9 \pm \sqrt{249}}{2}$.
Чтобы значение $x$ было целым, необходимо, чтобы дискриминант $D$ был полным квадратом целого числа. Однако, $\sqrt{249}$ не является целым числом, так как $15^2 = 225$, а $16^2 = 256$. Следовательно, корни этого уравнения не являются целыми числами.
Ответ: не существует.
б) (x; 5)
Теперь проверим, может ли пара чисел $(x; 5)$ быть решением уравнения при целом $x$. Подставим значение $y=5$ в исходное уравнение $x(x - 1) - 2xy = 42$.
$x(x - 1) - 2x(5) = 42$
Раскроем скобки и упростим выражение:
$x^2 - x - 10x = 42$
$x^2 - 11x - 42 = 0$
Мы получили квадратное уравнение. Вычислим его дискриминант $D$:
$D = b^2 - 4ac = (-11)^2 - 4 \cdot 1 \cdot (-42) = 121 + 168 = 289$
Дискриминант $D=289$ является полным квадратом, так как $17^2 = 289$. Следовательно, уравнение имеет целые корни. Найдем их:
$x_1 = \frac{-b + \sqrt{D}}{2a} = \frac{11 + 17}{2} = \frac{28}{2} = 14$
$x_2 = \frac{-b - \sqrt{D}}{2a} = \frac{11 - 17}{2} = \frac{-6}{2} = -3$
Мы нашли два целых значения $x$, при которых пара $(x; 5)$ является решением уравнения: $x=14$ и $x=-3$.
Ответ: существует, например, при $x=14$ или $x=-3$.
Другие задания:
Помогло решение? Оставьте отзыв в комментариях ниже.
Присоединяйтесь к Телеграм-группе @top_gdz
ПрисоединитьсяМы подготовили для вас ответ c подробным объяснением домашего задания по алгебре за 9 класс, для упражнения номер 57 расположенного на странице 23 к учебнику 2019 года издания для учащихся школ и гимназий.
Теперь на нашем сайте ГДЗ.ТОП вы всегда легко и бесплатно найдёте условие с правильным ответом на вопрос «Как решить ДЗ» и «Как сделать» задание по алгебре к упражнению №57 (с. 23), авторов: Солтан (Генадий Николаевич), Солтан (Алла Евгеньевна), Жумадилова (Аманбала Жумадиловна), учебного пособия издательства Кокшетау.