Номер 574, страница 168 - гдз по алгебре 9 класс учебник Солтан, Солтан

Авторы: Солтан Г. Н., Солтан А. Е., Жумадилова А. Ж.
Тип: Учебник
Издательство: Кокшетау
Год издания: 2019 - 2025
Цвет обложки:
ISBN: 978-601-317-424-2
Рекомендовано Министерством образования и науки Республики Казахстан
Популярные ГДЗ в 9 классе
22. Синус, косинус, тангенс и котангенс произвольного угла. IV. Тригонометрия - номер 574, страница 168.
№574 (с. 168)
Условие. №574 (с. 168)
скриншот условия

574. Найдите значение выражения:
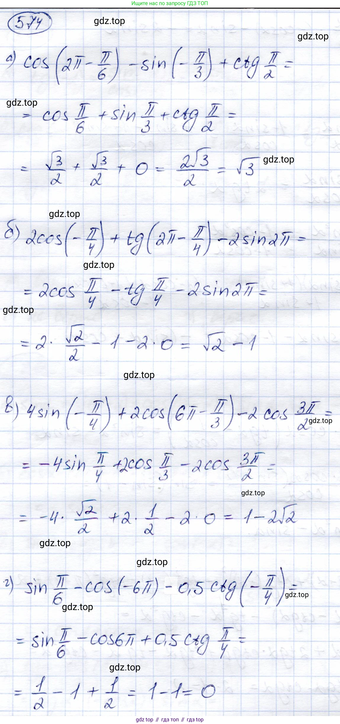
а) $\cos\left(2\pi - \frac{\pi}{6}\right) - \sin\left(-\frac{\pi}{3}\right) + \operatorname{ctg}\frac{\pi}{2};$
б) $2\cos\left(-\frac{\pi}{4}\right) + \operatorname{tg}\left(2\pi - \frac{\pi}{4}\right) - 2\sin 2\pi;$
в) $4\sin\left(-\frac{\pi}{4}\right) + 2\cos\left(6\pi - \frac{\pi}{3}\right) - 2\cos\frac{3\pi}{2};$
г) $\sin\frac{\pi}{6} - \cos(-6\pi) - 0,5\operatorname{ctg}\left(-\frac{\pi}{4}\right).$
Решение. №574 (с. 168)

Решение 2 (rus). №574 (с. 168)
а) Для нахождения значения выражения $cos(2\pi - \frac{\pi}{6}) - sin(-\frac{\pi}{3}) + ctg\frac{\pi}{2}$ воспользуемся формулами приведения и свойствами тригонометрических функций.
1. Используем формулу приведения $cos(2\pi - \alpha) = cos(\alpha)$.
$cos(2\pi - \frac{\pi}{6}) = cos(\frac{\pi}{6}) = \frac{\sqrt{3}}{2}$.
2. Используем свойство нечетности функции синус: $sin(-\alpha) = -sin(\alpha)$.
$sin(-\frac{\pi}{3}) = -sin(\frac{\pi}{3}) = -\frac{\sqrt{3}}{2}$.
3. Значение котангенса в точке $\frac{\pi}{2}$ равно нулю.
$ctg\frac{\pi}{2} = 0$.
4. Подставим полученные значения в исходное выражение:
$cos(2\pi - \frac{\pi}{6}) - sin(-\frac{\pi}{3}) + ctg\frac{\pi}{2} = \frac{\sqrt{3}}{2} - (-\frac{\sqrt{3}}{2}) + 0 = \frac{\sqrt{3}}{2} + \frac{\sqrt{3}}{2} = \frac{2\sqrt{3}}{2} = \sqrt{3}$.
Ответ: $\sqrt{3}$.
б) Для нахождения значения выражения $2cos(-\frac{\pi}{4}) + tg(2\pi - \frac{\pi}{4}) - 2sin(2\pi)$ упростим каждое слагаемое.
1. Используем свойство четности функции косинус: $cos(-\alpha) = cos(\alpha)$.
$2cos(-\frac{\pi}{4}) = 2cos(\frac{\pi}{4}) = 2 \cdot \frac{\sqrt{2}}{2} = \sqrt{2}$.
2. Используем формулу приведения для тангенса: $tg(2\pi - \alpha) = tg(-\alpha) = -tg(\alpha)$.
$tg(2\pi - \frac{\pi}{4}) = -tg(\frac{\pi}{4}) = -1$.
3. Вычислим значение $sin(2\pi)$.
$2sin(2\pi) = 2 \cdot 0 = 0$.
4. Подставим полученные значения в исходное выражение:
$2cos(-\frac{\pi}{4}) + tg(2\pi - \frac{\pi}{4}) - 2sin(2\pi) = \sqrt{2} + (-1) - 0 = \sqrt{2} - 1$.
Ответ: $\sqrt{2} - 1$.
в) Для нахождения значения выражения $4sin(-\frac{\pi}{4}) + 2cos(6\pi - \frac{\pi}{3}) - 2cos\frac{3\pi}{2}$ упростим каждое слагаемое.
1. Используем свойство нечетности функции синус: $sin(-\alpha) = -sin(\alpha)$.
$4sin(-\frac{\pi}{4}) = -4sin(\frac{\pi}{4}) = -4 \cdot \frac{\sqrt{2}}{2} = -2\sqrt{2}$.
2. Используем периодичность косинуса ($6\pi = 3 \cdot 2\pi$) и формулу приведения $cos(2k\pi - \alpha) = cos(-\alpha) = cos(\alpha)$.
$2cos(6\pi - \frac{\pi}{3}) = 2cos(\frac{\pi}{3}) = 2 \cdot \frac{1}{2} = 1$.
3. Вычислим значение $cos\frac{3\pi}{2}$.
$2cos\frac{3\pi}{2} = 2 \cdot 0 = 0$.
4. Подставим полученные значения в исходное выражение:
$4sin(-\frac{\pi}{4}) + 2cos(6\pi - \frac{\pi}{3}) - 2cos\frac{3\pi}{2} = -2\sqrt{2} + 1 - 0 = 1 - 2\sqrt{2}$.
Ответ: $1 - 2\sqrt{2}$.
г) Для нахождения значения выражения $sin\frac{\pi}{6} - cos(-6\pi) - 0.5ctg(-\frac{\pi}{4})$ вычислим каждое слагаемое.
1. $sin\frac{\pi}{6} = \frac{1}{2}$ (табличное значение).
2. Используем четность и периодичность косинуса: $cos(-6\pi) = cos(6\pi) = cos(0) = 1$.
3. Используем нечетность котангенса: $ctg(-\alpha) = -ctg(\alpha)$.
$0.5ctg(-\frac{\pi}{4}) = 0.5 \cdot (-ctg(\frac{\pi}{4})) = 0.5 \cdot (-1) = -0.5$.
4. Подставим полученные значения в исходное выражение:
$sin\frac{\pi}{6} - cos(-6\pi) - 0.5ctg(-\frac{\pi}{4}) = \frac{1}{2} - 1 - (-0.5) = 0.5 - 1 + 0.5 = 0$.
Ответ: $0$.
Другие задания:
Помогло решение? Оставьте отзыв в комментариях ниже.
Присоединяйтесь к Телеграм-группе @top_gdz
ПрисоединитьсяМы подготовили для вас ответ c подробным объяснением домашего задания по алгебре за 9 класс, для упражнения номер 574 расположенного на странице 168 к учебнику 2019 года издания для учащихся школ и гимназий.
Теперь на нашем сайте ГДЗ.ТОП вы всегда легко и бесплатно найдёте условие с правильным ответом на вопрос «Как решить ДЗ» и «Как сделать» задание по алгебре к упражнению №574 (с. 168), авторов: Солтан (Генадий Николаевич), Солтан (Алла Евгеньевна), Жумадилова (Аманбала Жумадиловна), учебного пособия издательства Кокшетау.