Номер 605, страница 179 - гдз по алгебре 9 класс учебник Солтан, Солтан

Авторы: Солтан Г. Н., Солтан А. Е., Жумадилова А. Ж.
Тип: Учебник
Издательство: Кокшетау
Год издания: 2019 - 2025
Цвет обложки:
ISBN: 978-601-317-424-2
Рекомендовано Министерством образования и науки Республики Казахстан
Популярные ГДЗ в 9 классе
23. Тригонометрические функции и их свойства. IV. Тригонометрия - номер 605, страница 179.
№605 (с. 179)
Условие. №605 (с. 179)
скриншот условия

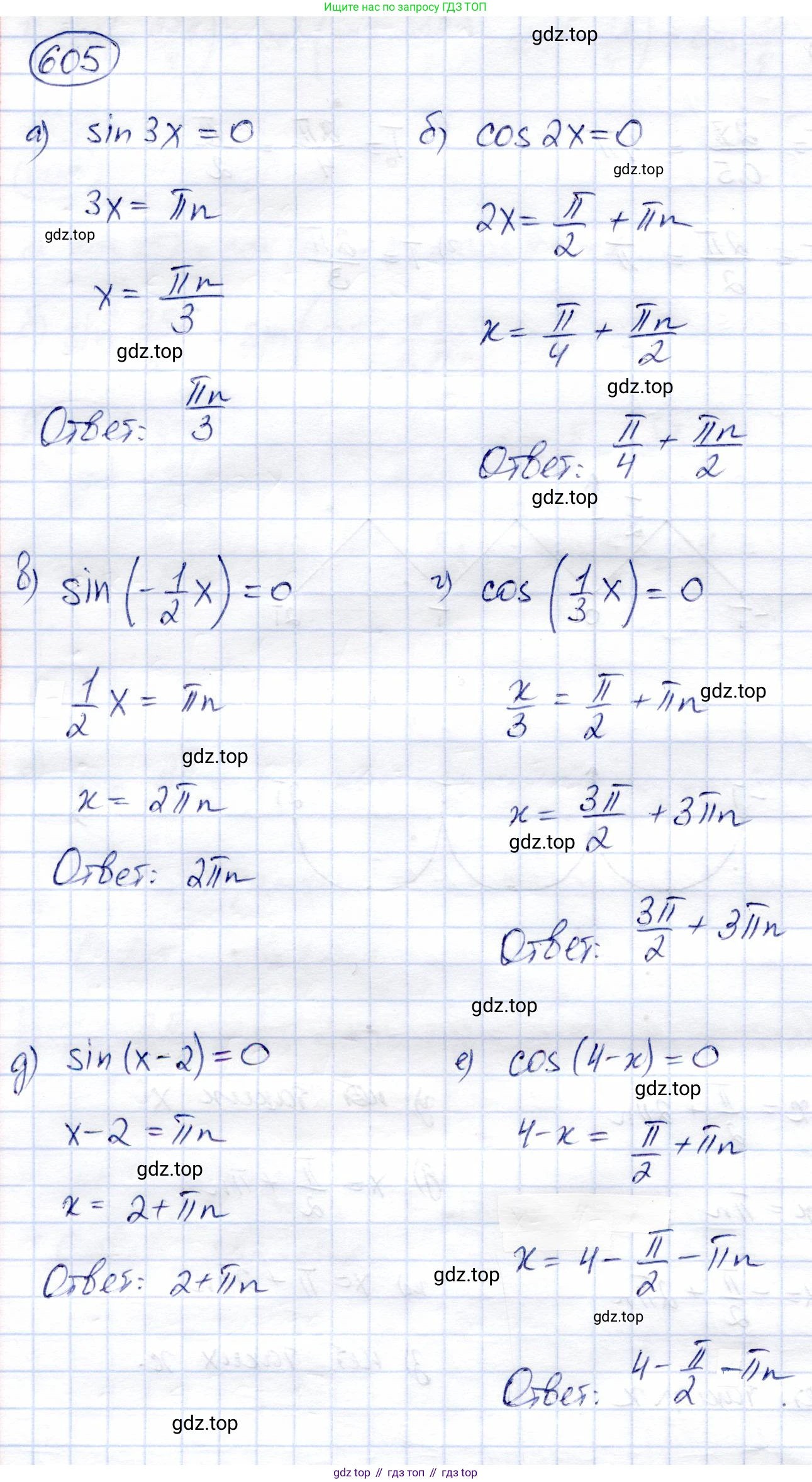
605. Найдите нули функции:
а) $y = \sin 3x;$
в) $y = \sin\left(-\frac{1}{2}x\right);$
д) $y = \sin(x - 2);$
б) $y = \cos 2x;$
г) $y = \cos\left(\frac{1}{3}x\right);$
е) $y = \cos(4 - x).$
Решение. №605 (с. 179)

Решение 2 (rus). №605 (с. 179)
Нули функции – это значения аргумента $x$, при которых значение функции $y$ равно нулю. Чтобы найти нули функции, нужно приравнять ее к нулю и решить полученное уравнение.
а) $y = \sin 3x$
Приравниваем функцию к нулю: $\sin 3x = 0$.
Решаем уравнение относительно $3x$. Аргумент синуса равен нулю, когда он равен $\pi n$, где $n$ – любое целое число ($n \in \mathbb{Z}$).
$3x = \pi n, n \in \mathbb{Z}$
Теперь выражаем $x$:
$x = \frac{\pi n}{3}, n \in \mathbb{Z}$
Ответ: $x = \frac{\pi n}{3}, n \in \mathbb{Z}$.
б) $y = \cos 2x$
Приравниваем функцию к нулю: $\cos 2x = 0$.
Решаем уравнение относительно $2x$. Аргумент косинуса равен нулю, когда он равен $\frac{\pi}{2} + \pi n$, где $n \in \mathbb{Z}$.
$2x = \frac{\pi}{2} + \pi n, n \in \mathbb{Z}$
Выражаем $x$:
$x = \frac{\pi}{4} + \frac{\pi n}{2}, n \in \mathbb{Z}$
Ответ: $x = \frac{\pi}{4} + \frac{\pi n}{2}, n \in \mathbb{Z}$.
в) $y = \sin(-\frac{1}{2}x)$
Приравниваем функцию к нулю: $\sin(-\frac{1}{2}x) = 0$.
Так как синус – нечетная функция, $\sin(-a) = -\sin(a)$, то уравнение можно переписать как $-\sin(\frac{1}{2}x) = 0$, что равносильно $\sin(\frac{1}{2}x) = 0$.
Решаем уравнение относительно $\frac{1}{2}x$:
$\frac{1}{2}x = \pi n, n \in \mathbb{Z}$
Выражаем $x$:
$x = 2\pi n, n \in \mathbb{Z}$
Ответ: $x = 2\pi n, n \in \mathbb{Z}$.
г) $y = \cos(\frac{1}{3}x)$
Приравниваем функцию к нулю: $\cos(\frac{1}{3}x) = 0$.
Решаем уравнение относительно $\frac{1}{3}x$:
$\frac{1}{3}x = \frac{\pi}{2} + \pi n, n \in \mathbb{Z}$
Выражаем $x$:
$x = 3(\frac{\pi}{2} + \pi n) = \frac{3\pi}{2} + 3\pi n, n \in \mathbb{Z}$
Ответ: $x = \frac{3\pi}{2} + 3\pi n, n \in \mathbb{Z}$.
д) $y = \sin(x - 2)$
Приравниваем функцию к нулю: $\sin(x - 2) = 0$.
Решаем уравнение относительно $(x - 2)$:
$x - 2 = \pi n, n \in \mathbb{Z}$
Выражаем $x$:
$x = 2 + \pi n, n \in \mathbb{Z}$
Ответ: $x = 2 + \pi n, n \in \mathbb{Z}$.
е) $y = \cos(4 - x)$
Приравниваем функцию к нулю: $\cos(4 - x) = 0$.
Так как косинус – четная функция, $\cos(-a) = \cos(a)$, то $\cos(4 - x) = \cos(-(x - 4)) = \cos(x - 4)$.
Получаем уравнение $\cos(x - 4) = 0$.
Решаем уравнение относительно $(x - 4)$:
$x - 4 = \frac{\pi}{2} + \pi n, n \in \mathbb{Z}$
Выражаем $x$:
$x = 4 + \frac{\pi}{2} + \pi n, n \in \mathbb{Z}$
Ответ: $x = 4 + \frac{\pi}{2} + \pi n, n \in \mathbb{Z}$.
Другие задания:
Помогло решение? Оставьте отзыв в комментариях ниже.
Присоединяйтесь к Телеграм-группе @top_gdz
ПрисоединитьсяМы подготовили для вас ответ c подробным объяснением домашего задания по алгебре за 9 класс, для упражнения номер 605 расположенного на странице 179 к учебнику 2019 года издания для учащихся школ и гимназий.
Теперь на нашем сайте ГДЗ.ТОП вы всегда легко и бесплатно найдёте условие с правильным ответом на вопрос «Как решить ДЗ» и «Как сделать» задание по алгебре к упражнению №605 (с. 179), авторов: Солтан (Генадий Николаевич), Солтан (Алла Евгеньевна), Жумадилова (Аманбала Жумадиловна), учебного пособия издательства Кокшетау.