Номер 613, страница 180 - гдз по алгебре 9 класс учебник Солтан, Солтан

Авторы: Солтан Г. Н., Солтан А. Е., Жумадилова А. Ж.
Тип: Учебник
Издательство: Кокшетау
Год издания: 2019 - 2025
Цвет обложки:
ISBN: 978-601-317-424-2
Рекомендовано Министерством образования и науки Республики Казахстан
Популярные ГДЗ в 9 классе
23. Тригонометрические функции и их свойства. IV. Тригонометрия - номер 613, страница 180.
№613 (с. 180)
Условие. №613 (с. 180)
скриншот условия

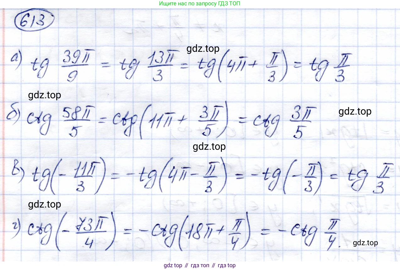
613. Используя периодичность тригонометрических функций, запишите значение функции так, чтобы аргумент был выражен наименьшим положительным числом:
а) $tg \frac{39\pi}{9}$;
б) $ctg \frac{58\pi}{5}$;
в) $tg \left(-\frac{11\pi}{3}\right)$;
г) $ctg \left(-\frac{73\pi}{4}\right)$.
Решение. №613 (с. 180)

Решение 2 (rus). №613 (с. 180)
Основной период для функций тангенса ($tg(x)$) и котангенса ($ctg(x)$) равен $π$. Это означает, что для любого целого числа $k$ выполняются равенства:
$tg(x + kπ) = tg(x)$
$ctg(x + kπ) = ctg(x)$
Наша задача — для каждого выражения найти такое целое $k$, чтобы новый аргумент стал наименьшим положительным числом, то есть принадлежал интервалу $(0, \pi]$.
а) $tg\frac{39\pi}{9}$
Сначала упростим дробь в аргументе: $\frac{39\pi}{9} = \frac{13\pi}{3}$.
Теперь представим аргумент в виде суммы, выделив целое число периодов. Разделим 13 на 3:
$13 : 3 = 4$ с остатком 1.
Таким образом, $\frac{13\pi}{3} = \frac{12\pi + \pi}{3} = \frac{12\pi}{3} + \frac{\pi}{3} = 4\pi + \frac{\pi}{3}$.
Используя периодичность тангенса, отбросим целое число периодов $4\pi$ (здесь $k=4$):
$tg(\frac{39\pi}{9}) = tg(\frac{13\pi}{3}) = tg(4\pi + \frac{\pi}{3}) = tg(\frac{\pi}{3})$.
Аргумент $\frac{\pi}{3}$ является наименьшим положительным числом.
Ответ: $tg(\frac{\pi}{3})$.
б) $ctg\frac{58\pi}{5}$
Представим аргумент в виде суммы, выделив целое число периодов. Разделим 58 на 5:
$58 : 5 = 11$ с остатком 3.
Таким образом, $\frac{58\pi}{5} = \frac{55\pi + 3\pi}{5} = \frac{55\pi}{5} + \frac{3\pi}{5} = 11\pi + \frac{3\pi}{5}$.
Используя периодичность котангенса, отбросим целое число периодов $11\pi$ (здесь $k=11$):
$ctg(\frac{58\pi}{5}) = ctg(11\pi + \frac{3\pi}{5}) = ctg(\frac{3\pi}{5})$.
Аргумент $\frac{3\pi}{5}$ является наименьшим положительным числом.
Ответ: $ctg(\frac{3\pi}{5})$.
в) $tg(-\frac{11\pi}{3})$
Аргумент функции отрицательный. Чтобы сделать его положительным, нужно прибавить целое число периодов $k\pi$ так, чтобы результат был наименьшим положительным числом.
Найдем такое наименьшее целое $k$, чтобы выполнялось неравенство: $-\frac{11\pi}{3} + k\pi > 0$.
$k\pi > \frac{11\pi}{3}$
$k > \frac{11}{3}$, то есть $k > 3.66...$
Наименьшее целое $k$, удовлетворяющее этому условию, это $k=4$.
Прибавим $4\pi$ к аргументу:
$tg(-\frac{11\pi}{3}) = tg(-\frac{11\pi}{3} + 4\pi) = tg(-\frac{11\pi}{3} + \frac{12\pi}{3}) = tg(\frac{\pi}{3})$.
Аргумент $\frac{\pi}{3}$ является наименьшим положительным числом.
Ответ: $tg(\frac{\pi}{3})$.
г) $ctg(-\frac{73\pi}{4})$
Аргумент функции отрицательный. Прибавим целое число периодов $k\pi$, чтобы получить наименьший положительный аргумент.
Найдем такое наименьшее целое $k$, чтобы выполнялось неравенство: $-\frac{73\pi}{4} + k\pi > 0$.
$k\pi > \frac{73\pi}{4}$
$k > \frac{73}{4}$, то есть $k > 18.25$
Наименьшее целое $k$, удовлетворяющее этому условию, это $k=19$.
Прибавим $19\pi$ к аргументу:
$ctg(-\frac{73\pi}{4}) = ctg(-\frac{73\pi}{4} + 19\pi) = ctg(-\frac{73\pi}{4} + \frac{76\pi}{4}) = ctg(\frac{3\pi}{4})$.
Аргумент $\frac{3\pi}{4}$ является наименьшим положительным числом.
Ответ: $ctg(\frac{3\pi}{4})$.
Другие задания:
Помогло решение? Оставьте отзыв в комментариях ниже.
Присоединяйтесь к Телеграм-группе @top_gdz
ПрисоединитьсяМы подготовили для вас ответ c подробным объяснением домашего задания по алгебре за 9 класс, для упражнения номер 613 расположенного на странице 180 к учебнику 2019 года издания для учащихся школ и гимназий.
Теперь на нашем сайте ГДЗ.ТОП вы всегда легко и бесплатно найдёте условие с правильным ответом на вопрос «Как решить ДЗ» и «Как сделать» задание по алгебре к упражнению №613 (с. 180), авторов: Солтан (Генадий Николаевич), Солтан (Алла Евгеньевна), Жумадилова (Аманбала Жумадиловна), учебного пособия издательства Кокшетау.