Номер 662, страница 192 - гдз по алгебре 9 класс учебник Солтан, Солтан

Авторы: Солтан Г. Н., Солтан А. Е., Жумадилова А. Ж.
Тип: Учебник
Издательство: Кокшетау
Год издания: 2019 - 2025
Цвет обложки:
ISBN: 978-601-317-424-2
Рекомендовано Министерством образования и науки Республики Казахстан
Популярные ГДЗ в 9 классе
25. Формулы приведения. IV. Тригонометрия - номер 662, страница 192.
№662 (с. 192)
Условие. №662 (с. 192)
скриншот условия

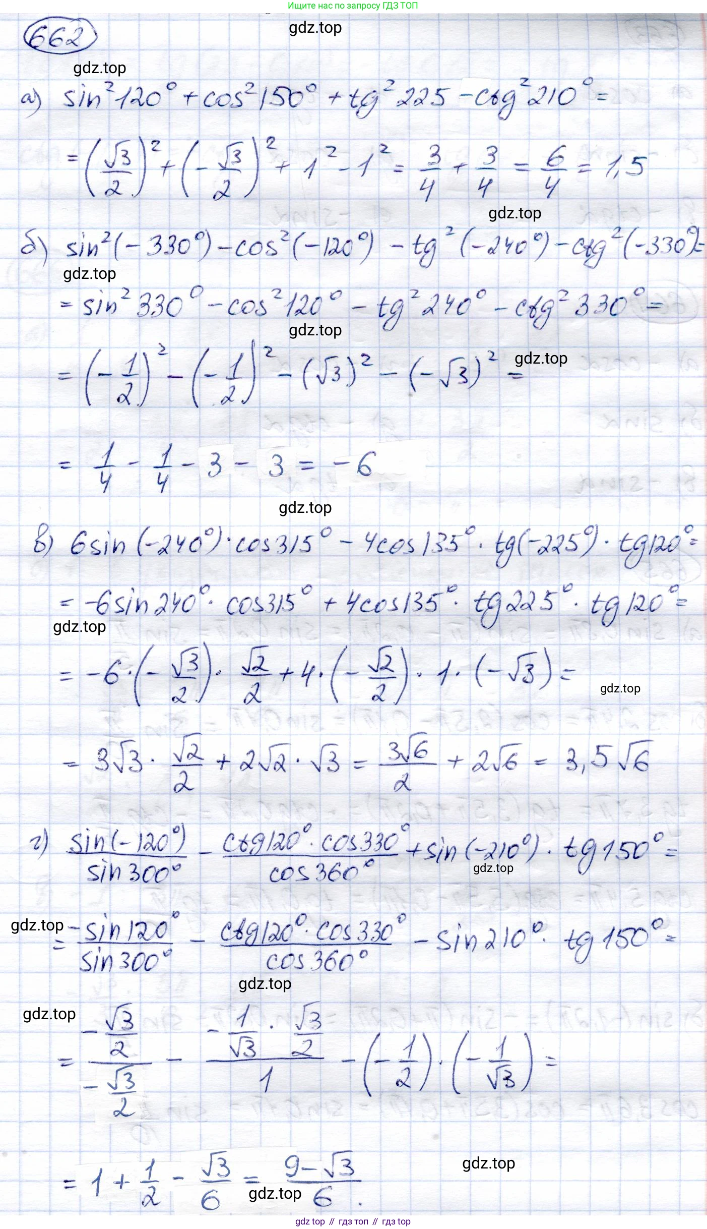
662. Найдите значение выражения:
a) $ \operatorname{sin}^2 120^\circ + \operatorname{cos}^2 150^\circ + \operatorname{tg}^2 225^\circ - \operatorname{ctg}^2 210^\circ $
б) $ \operatorname{sin}^2 (-330^\circ) - \operatorname{cos}^2 (-120^\circ) - \operatorname{tg}^2 (-240^\circ) - \operatorname{ctg}^2 (-330^\circ) $
в) $ 6 \operatorname{sin} (-240^\circ) \cdot \operatorname{cos} 315^\circ - 4 \operatorname{cos} 135^\circ \cdot \operatorname{tg} (-225^\circ) \cdot \operatorname{tg} 120^\circ $
г) $ \frac{\operatorname{sin} (-120^\circ)}{\operatorname{sin} 300^\circ} - \frac{\operatorname{ctg} 120^\circ \cdot \operatorname{cos} 330^\circ}{\operatorname{cos} 360^\circ} + \operatorname{sin} (-210^\circ) \cdot \operatorname{tg} 150^\circ $
Решение. №662 (с. 192)

Решение 2 (rus). №662 (с. 192)
а) Для вычисления значения выражения $ \sin^2 120^\circ + \cos^2 150^\circ + \tg^2 225^\circ - \ctg^2 210^\circ $ воспользуемся формулами приведения и значениями тригонометрических функций для стандартных углов. Вычислим значение каждого слагаемого: $ \sin 120^\circ = \sin(180^\circ - 60^\circ) = \sin 60^\circ = \frac{\sqrt{3}}{2} $, откуда $ \sin^2 120^\circ = (\frac{\sqrt{3}}{2})^2 = \frac{3}{4} $. Далее, $ \cos 150^\circ = \cos(180^\circ - 30^\circ) = -\cos 30^\circ = -\frac{\sqrt{3}}{2} $, откуда $ \cos^2 150^\circ = (-\frac{\sqrt{3}}{2})^2 = \frac{3}{4} $. Затем, $ \tg 225^\circ = \tg(180^\circ + 45^\circ) = \tg 45^\circ = 1 $, откуда $ \tg^2 225^\circ = 1^2 = 1 $. И, наконец, $ \ctg 210^\circ = \ctg(180^\circ + 30^\circ) = \ctg 30^\circ = \sqrt{3} $, откуда $ \ctg^2 210^\circ = (\sqrt{3})^2 = 3 $. Подставляем найденные значения в исходное выражение: $ \frac{3}{4} + \frac{3}{4} + 1 - 3 = \frac{6}{4} - 2 = \frac{3}{2} - 2 = \frac{3-4}{2} = -\frac{1}{2} $. Ответ: $ -\frac{1}{2} $.
б) Рассмотрим выражение $ \sin^2(-330^\circ) - \cos^2(-120^\circ) - \tg^2(-240^\circ) - \ctg^2(-330^\circ) $. Используем свойства четности и нечетности тригонометрических функций: $ \sin(-\alpha) = -\sin(\alpha) $, $ \cos(-\alpha) = \cos(\alpha) $, $ \tg(-\alpha) = -\tg(\alpha) $, $ \ctg(-\alpha) = -\ctg(\alpha) $. Так как все функции в выражении возведены в квадрат, знаки минуса при вынесении из-под функции исчезают, и выражение принимает вид: $ \sin^2(330^\circ) - \cos^2(120^\circ) - \tg^2(240^\circ) - \ctg^2(330^\circ) $. Вычислим значения, используя формулы приведения: $ \sin 330^\circ = \sin(360^\circ - 30^\circ) = -\sin 30^\circ = -\frac{1}{2} $, поэтому $ \sin^2 330^\circ = \frac{1}{4} $. $ \cos 120^\circ = \cos(180^\circ - 60^\circ) = -\cos 60^\circ = -\frac{1}{2} $, поэтому $ \cos^2 120^\circ = \frac{1}{4} $. $ \tg 240^\circ = \tg(180^\circ + 60^\circ) = \tg 60^\circ = \sqrt{3} $, поэтому $ \tg^2 240^\circ = 3 $. $ \ctg 330^\circ = \ctg(360^\circ - 30^\circ) = -\ctg 30^\circ = -\sqrt{3} $, поэтому $ \ctg^2 330^\circ = 3 $. Подставляем значения в выражение: $ \frac{1}{4} - \frac{1}{4} - 3 - 3 = 0 - 6 = -6 $. Ответ: $ -6 $.
в) Найдем значение выражения $ 6\sin(-240^\circ) \cdot \cos 315^\circ - 4\cos 135^\circ \cdot \tg(-225^\circ) \cdot \tg 120^\circ $. Сначала упростим каждый тригонометрический множитель: $ \sin(-240^\circ) = -\sin(240^\circ) = -\sin(180^\circ + 60^\circ) = -(-\sin 60^\circ) = \frac{\sqrt{3}}{2} $. $ \cos 315^\circ = \cos(360^\circ - 45^\circ) = \cos 45^\circ = \frac{\sqrt{2}}{2} $. $ \cos 135^\circ = \cos(180^\circ - 45^\circ) = -\cos 45^\circ = -\frac{\sqrt{2}}{2} $. $ \tg(-225^\circ) = -\tg(225^\circ) = -\tg(180^\circ + 45^\circ) = -\tg 45^\circ = -1 $. $ \tg 120^\circ = \tg(180^\circ - 60^\circ) = -\tg 60^\circ = -\sqrt{3} $. Теперь подставим эти значения в исходное выражение. Первое слагаемое: $ 6 \cdot \frac{\sqrt{3}}{2} \cdot \frac{\sqrt{2}}{2} = \frac{6\sqrt{6}}{4} = \frac{3\sqrt{6}}{2} $. Второе слагаемое (вычитаемое): $ 4\cos 135^\circ \cdot \tg(-225^\circ) \cdot \tg 120^\circ = 4 \cdot (-\frac{\sqrt{2}}{2}) \cdot (-1) \cdot (-\sqrt{3}) = -2\sqrt{6} $. Вычисляем разность: $ \frac{3\sqrt{6}}{2} - (-2\sqrt{6}) = \frac{3\sqrt{6}}{2} + 2\sqrt{6} = \frac{3\sqrt{6} + 4\sqrt{6}}{2} = \frac{7\sqrt{6}}{2} $. Ответ: $ \frac{7\sqrt{6}}{2} $.
г) Рассмотрим выражение $ \frac{\sin(-120^\circ)}{\sin 300^\circ} - \frac{\ctg 120^\circ \cdot \cos 330^\circ}{\cos 360^\circ} + \sin(-210^\circ) \cdot \tg 150^\circ $. Вычислим значение каждого слагаемого по отдельности. Первое слагаемое: $ \frac{\sin(-120^\circ)}{\sin 300^\circ} $. Так как $ \sin(-120^\circ) = -\sin(120^\circ) = -\frac{\sqrt{3}}{2} $ и $ \sin 300^\circ = \sin(360^\circ-60^\circ) = -\sin 60^\circ = -\frac{\sqrt{3}}{2} $, то значение дроби равно $ \frac{-\frac{\sqrt{3}}{2}}{-\frac{\sqrt{3}}{2}} = 1 $. Второе слагаемое (вычитаемое): $ \frac{\ctg 120^\circ \cdot \cos 330^\circ}{\cos 360^\circ} $. Имеем: $ \ctg 120^\circ = \ctg(180^\circ-60^\circ) = -\ctg 60^\circ = -\frac{1}{\sqrt{3}} $, $ \cos 330^\circ = \cos(360^\circ-30^\circ) = \cos 30^\circ = \frac{\sqrt{3}}{2} $, $ \cos 360^\circ = 1 $. Тогда значение дроби равно $ \frac{-\frac{1}{\sqrt{3}} \cdot \frac{\sqrt{3}}{2}}{1} = -\frac{1}{2} $. Третье слагаемое: $ \sin(-210^\circ) \cdot \tg 150^\circ $. Имеем: $ \sin(-210^\circ) = -\sin(210^\circ) = -\sin(180^\circ+30^\circ) = -(-\sin 30^\circ) = \frac{1}{2} $, $ \tg 150^\circ = \tg(180^\circ-30^\circ) = -\tg 30^\circ = -\frac{1}{\sqrt{3}} $. Произведение равно $ \frac{1}{2} \cdot (-\frac{1}{\sqrt{3}}) = -\frac{1}{2\sqrt{3}} = -\frac{\sqrt{3}}{6} $. Собираем все части вместе: $ 1 - (-\frac{1}{2}) + (-\frac{\sqrt{3}}{6}) = 1 + \frac{1}{2} - \frac{\sqrt{3}}{6} = \frac{3}{2} - \frac{\sqrt{3}}{6} = \frac{9}{6} - \frac{\sqrt{3}}{6} = \frac{9 - \sqrt{3}}{6} $. Ответ: $ \frac{9 - \sqrt{3}}{6} $.
Другие задания:
Помогло решение? Оставьте отзыв в комментариях ниже.
Присоединяйтесь к Телеграм-группе @top_gdz
ПрисоединитьсяМы подготовили для вас ответ c подробным объяснением домашего задания по алгебре за 9 класс, для упражнения номер 662 расположенного на странице 192 к учебнику 2019 года издания для учащихся школ и гимназий.
Теперь на нашем сайте ГДЗ.ТОП вы всегда легко и бесплатно найдёте условие с правильным ответом на вопрос «Как решить ДЗ» и «Как сделать» задание по алгебре к упражнению №662 (с. 192), авторов: Солтан (Генадий Николаевич), Солтан (Алла Евгеньевна), Жумадилова (Аманбала Жумадиловна), учебного пособия издательства Кокшетау.