Номер 668, страница 193 - гдз по алгебре 9 класс учебник Солтан, Солтан

Авторы: Солтан Г. Н., Солтан А. Е., Жумадилова А. Ж.
Тип: Учебник
Издательство: Кокшетау
Год издания: 2019 - 2025
Цвет обложки:
ISBN: 978-601-317-424-2
Рекомендовано Министерством образования и науки Республики Казахстан
Популярные ГДЗ в 9 классе
25. Формулы приведения. IV. Тригонометрия - номер 668, страница 193.
№668 (с. 193)
Условие. №668 (с. 193)
скриншот условия

668. a) Синус острого угла параллелограмма равен $\frac{\sqrt{3}}{3}$. Найдите косинус тупого угла параллелограмма.
б) Докажите, что в любом треугольнике синус любого угла равен синусу суммы двух других углов.
в) Тангенс суммы двух углов треугольника равен 3. Найдите синус третьего угла треугольника.
Решение. №668 (с. 193)

Решение 2 (rus). №668 (с. 193)
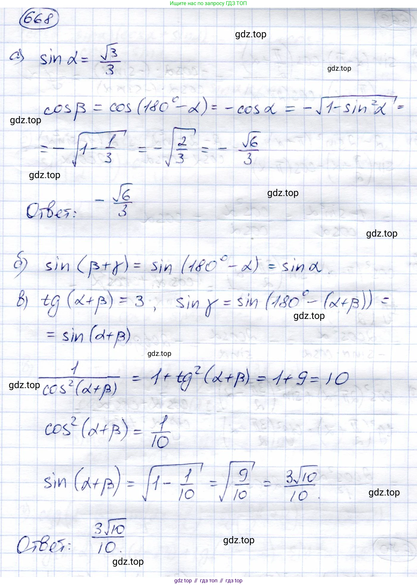
а) Пусть $\alpha$ - острый угол параллелограмма, а $\beta$ - тупой угол. Сумма смежных углов параллелограмма равна $180^\circ$, следовательно, $\alpha + \beta = 180^\circ$. Нам нужно найти косинус тупого угла $\beta$. Из соотношения углов следует, что $\cos(\beta) = \cos(180^\circ - \alpha)$. По формулам приведения, $\cos(180^\circ - \alpha) = -\cos(\alpha)$. Таким образом, задача сводится к нахождению $\cos(\alpha)$.
Мы знаем, что $\sin(\alpha) = \frac{\sqrt{3}}{3}$. Воспользуемся основным тригонометрическим тождеством $\sin^2(\alpha) + \cos^2(\alpha) = 1$. Так как $\alpha$ - острый угол (лежит в первой четверти), его косинус будет положительным.$\cos^2(\alpha) = 1 - \sin^2(\alpha) = 1 - \left(\frac{\sqrt{3}}{3}\right)^2 = 1 - \frac{3}{9} = 1 - \frac{1}{3} = \frac{2}{3}$.Следовательно, $\cos(\alpha) = \sqrt{\frac{2}{3}} = \frac{\sqrt{2}}{\sqrt{3}} = \frac{\sqrt{6}}{3}$.Тогда косинус тупого угла равен $\cos(\beta) = -\cos(\alpha) = -\frac{\sqrt{6}}{3}$.
Ответ: $-\frac{\sqrt{6}}{3}$.
б) Пусть $\alpha$, $\beta$ и $\gamma$ - углы произвольного треугольника. По теореме о сумме углов треугольника, их сумма равна $180^\circ$: $\alpha + \beta + \gamma = 180^\circ$.Рассмотрим любой угол, например $\gamma$. Выразим его через два других угла: $\gamma = 180^\circ - (\alpha + \beta)$.Найдем синус этого угла: $\sin(\gamma) = \sin(180^\circ - (\alpha + \beta))$.Согласно формуле приведения $\sin(180^\circ - x) = \sin(x)$, где в нашем случае $x = \alpha + \beta$.Следовательно, $\sin(\gamma) = \sin(\alpha + \beta)$.Это доказывает, что синус любого угла треугольника равен синусу суммы двух других углов. Аналогичные рассуждения можно провести для углов $\alpha$ и $\beta$. Что и требовалось доказать.
Ответ: Доказательство основано на том, что сумма углов треугольника равна $180^\circ$. Если углы треугольника равны $\alpha, \beta, \gamma$, то $\gamma = 180^\circ - (\alpha + \beta)$, и тогда $\sin(\gamma) = \sin(180^\circ - (\alpha + \beta)) = \sin(\alpha + \beta)$.
в) Пусть $\alpha$, $\beta$ и $\gamma$ - углы треугольника. По условию, тангенс суммы двух углов, например $\alpha + \beta$, равен 3: $\tan(\alpha + \beta) = 3$. Нам нужно найти синус третьего угла, то есть $\sin(\gamma)$.Как было доказано в пункте б), синус третьего угла равен синусу суммы двух других: $\sin(\gamma) = \sin(\alpha + \beta)$.Таким образом, задача сводится к нахождению $\sin(x)$ при известном $\tan(x) = 3$, где $x = \alpha + \beta$.Воспользуемся тождеством $1 + \tan^2(x) = \frac{1}{\cos^2(x)}$.$1 + 3^2 = 10$, значит $\frac{1}{\cos^2(x)} = 10$, откуда $\cos^2(x) = \frac{1}{10}$.Теперь найдем $\sin^2(x)$ из основного тригонометрического тождества: $\sin^2(x) = 1 - \cos^2(x) = 1 - \frac{1}{10} = \frac{9}{10}$.Так как $\alpha$ и $\beta$ являются углами треугольника, их сумма $x = \alpha + \beta$ удовлетворяет условию $0^\circ < x < 180^\circ$. Синус угла в этом диапазоне всегда положителен.Следовательно, $\sin(x) = \sqrt{\frac{9}{10}} = \frac{3}{\sqrt{10}} = \frac{3\sqrt{10}}{10}$.Поскольку $\sin(\gamma) = \sin(\alpha + \beta)$, то $\sin(\gamma) = \frac{3\sqrt{10}}{10}$.
Ответ: $\frac{3\sqrt{10}}{10}$.
Другие задания:
Помогло решение? Оставьте отзыв в комментариях ниже.
Присоединяйтесь к Телеграм-группе @top_gdz
ПрисоединитьсяМы подготовили для вас ответ c подробным объяснением домашего задания по алгебре за 9 класс, для упражнения номер 668 расположенного на странице 193 к учебнику 2019 года издания для учащихся школ и гимназий.
Теперь на нашем сайте ГДЗ.ТОП вы всегда легко и бесплатно найдёте условие с правильным ответом на вопрос «Как решить ДЗ» и «Как сделать» задание по алгебре к упражнению №668 (с. 193), авторов: Солтан (Генадий Николаевич), Солтан (Алла Евгеньевна), Жумадилова (Аманбала Жумадиловна), учебного пособия издательства Кокшетау.