Номер 675, страница 194 - гдз по алгебре 9 класс учебник Солтан, Солтан

Авторы: Солтан Г. Н., Солтан А. Е., Жумадилова А. Ж.
Тип: Учебник
Издательство: Кокшетау
Год издания: 2019 - 2025
Цвет обложки:
ISBN: 978-601-317-424-2
Рекомендовано Министерством образования и науки Республики Казахстан
Популярные ГДЗ в 9 классе
25. Формулы приведения. IV. Тригонометрия - номер 675, страница 194.
№675 (с. 194)
Условие. №675 (с. 194)
скриншот условия

675. Найдите значение выражения:
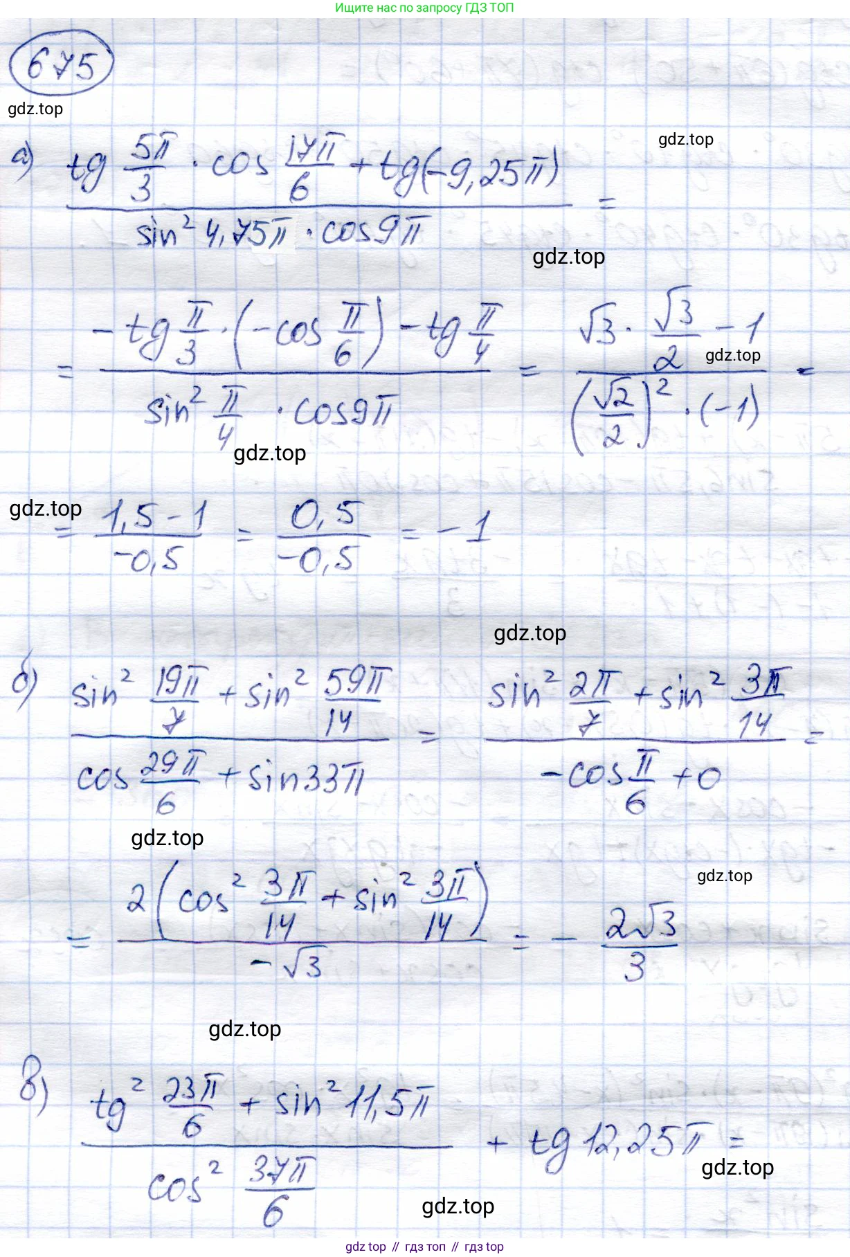
a) $\frac{\text{tg} \frac{5\pi}{3} \cdot \text{cos} \frac{17\pi}{6} + \text{tg}(-9,25\pi)}{\text{sin}^2 4,75\pi \cdot \text{cos} 9\pi}$;
б) $\frac{\text{sin}^2 \frac{19\pi}{7} + \text{sin}^2 \frac{59\pi}{14}}{\text{cos} \frac{29\pi}{6} + \text{sin} 33\pi}$;
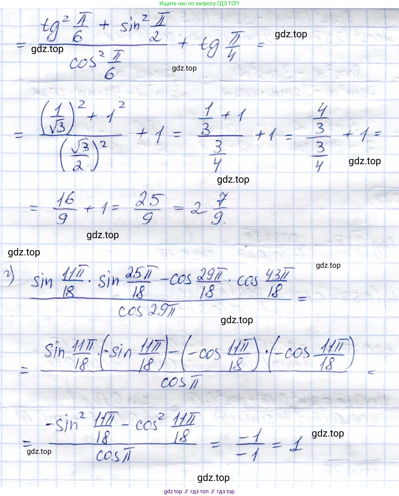
в) $\frac{\text{tg}^2 \frac{23\pi}{6} + \text{sin}^2 11,5\pi}{\text{cos}^2 \frac{37\pi}{6}} + \text{tg} 12,25\pi$;
г) $\frac{\text{sin} \frac{11\pi}{18} \cdot \text{sin} \frac{25\pi}{18} - \text{cos} \frac{29\pi}{18} \cdot \text{cos} \frac{43\pi}{18}}{\text{cos} 29\pi}$.
Решение. №675 (с. 194)


Решение 2 (rus). №675 (с. 194)
а)
Для нахождения значения выражения необходимо вычислить значение каждого тригонометрического выражения по отдельности, используя формулы приведения и свойства периодичности функций.
1. $ \text{tg} \frac{5\pi}{3} = \text{tg}(2\pi - \frac{\pi}{3}) = \text{tg}(-\frac{\pi}{3}) = -\text{tg}(\frac{\pi}{3}) = -\sqrt{3} $
2. $ \text{cos} \frac{17\pi}{6} = \text{cos}(3\pi - \frac{\pi}{6}) = \text{cos}(\pi - \frac{\pi}{6}) = -\text{cos}(\frac{\pi}{6}) = -\frac{\sqrt{3}}{2} $
3. $ \text{tg}(-9,25\pi) = -\text{tg}(9,25\pi) = -\text{tg}(8\pi + 1,25\pi) = -\text{tg}(1,25\pi) = -\text{tg}(\frac{5\pi}{4}) = -\text{tg}(\pi + \frac{\pi}{4}) = -\text{tg}(\frac{\pi}{4}) = -1 $
4. $ \text{sin}^2(4,75\pi) = \text{sin}^2(\frac{19\pi}{4}) = \text{sin}^2(4\pi + \frac{3\pi}{4}) = \text{sin}^2(\frac{3\pi}{4}) = (\frac{\sqrt{2}}{2})^2 = \frac{2}{4} = \frac{1}{2} $
5. $ \text{cos}(9\pi) = \text{cos}(8\pi + \pi) = \text{cos}(\pi) = -1 $
Теперь подставим найденные значения в исходное выражение:
$ \frac{\text{tg}\frac{5\pi}{3} \cdot \text{cos}\frac{17\pi}{6} + \text{tg}(-9,25\pi)}{\text{sin}^2(4,75\pi) \cdot \text{cos}(9\pi)} = \frac{(-\sqrt{3}) \cdot (-\frac{\sqrt{3}}{2}) + (-1)}{\frac{1}{2} \cdot (-1)} = \frac{\frac{3}{2} - 1}{-\frac{1}{2}} = \frac{\frac{1}{2}}{-\frac{1}{2}} = -1 $
Ответ: -1
б)
Упростим числитель и знаменатель дроби.
Сначала упростим числитель: $ \text{sin}^2\frac{19\pi}{7} + \text{sin}^2\frac{59\pi}{14} $.
Используем формулы приведения:
$ \text{sin}^2\frac{19\pi}{7} = \text{sin}^2(2\pi + \frac{5\pi}{7}) = \text{sin}^2\frac{5\pi}{7} $
$ \text{sin}^2\frac{59\pi}{14} = \text{sin}^2(4\pi + \frac{3\pi}{14}) = \text{sin}^2\frac{3\pi}{14} $
Представим угол $ \frac{5\pi}{7} $ как $ \frac{\pi}{2} + \frac{3\pi}{14} $. Тогда $ \text{sin}\frac{5\pi}{7} = \text{sin}(\frac{\pi}{2} + \frac{3\pi}{14}) = \text{cos}\frac{3\pi}{14} $.
Числитель принимает вид: $ \text{cos}^2\frac{3\pi}{14} + \text{sin}^2\frac{3\pi}{14} = 1 $ (согласно основному тригонометрическому тождеству).
Теперь упростим знаменатель: $ \text{cos}\frac{29\pi}{6} + \text{sin}(33\pi) $.
$ \text{cos}\frac{29\pi}{6} = \text{cos}(4\pi + \frac{5\pi}{6}) = \text{cos}\frac{5\pi}{6} = \text{cos}(\pi - \frac{\pi}{6}) = -\text{cos}\frac{\pi}{6} = -\frac{\sqrt{3}}{2} $
$ \text{sin}(33\pi) = \text{sin}(32\pi + \pi) = \text{sin}(\pi) = 0 $
Знаменатель равен $ -\frac{\sqrt{3}}{2} + 0 = -\frac{\sqrt{3}}{2} $.
Итоговое значение выражения: $ \frac{1}{-\frac{\sqrt{3}}{2}} = -\frac{2}{\sqrt{3}} = -\frac{2\sqrt{3}}{3} $.
Ответ: $ -\frac{2\sqrt{3}}{3} $
в)
Вычислим значение каждого слагаемого по отдельности.
Первое слагаемое (дробь): $ \frac{\text{tg}^2\frac{23\pi}{6} + \text{sin}^2(11,5\pi)}{\text{cos}^2\frac{37\pi}{6}} $.
Вычисляем числитель дроби:
$ \text{tg}^2\frac{23\pi}{6} = \text{tg}^2(4\pi - \frac{\pi}{6}) = \text{tg}^2(-\frac{\pi}{6}) = (-\text{tg}\frac{\pi}{6})^2 = (-\frac{1}{\sqrt{3}})^2 = \frac{1}{3} $
$ \text{sin}^2(11,5\pi) = \text{sin}^2(\frac{23\pi}{2}) = \text{sin}^2(11\pi + \frac{\pi}{2}) = (-\text{sin}\frac{\pi}{2})^2 = (-1)^2 = 1 $
Значение числителя: $ \frac{1}{3} + 1 = \frac{4}{3} $.
Вычисляем знаменатель дроби:
$ \text{cos}^2\frac{37\pi}{6} = \text{cos}^2(6\pi + \frac{\pi}{6}) = \text{cos}^2(\frac{\pi}{6}) = (\frac{\sqrt{3}}{2})^2 = \frac{3}{4} $
Значение дроби: $ \frac{4/3}{3/4} = \frac{4}{3} \cdot \frac{4}{3} = \frac{16}{9} $.
Второе слагаемое: $ \text{tg}(12,25\pi) $.
$ \text{tg}(12,25\pi) = \text{tg}(12\pi + 0,25\pi) = \text{tg}(0,25\pi) = \text{tg}(\frac{\pi}{4}) = 1 $.
Итоговое значение всего выражения: $ \frac{16}{9} + 1 = \frac{16+9}{9} = \frac{25}{9} $.
Ответ: $ \frac{25}{9} $
г)
Упростим числитель и знаменатель дроби $ \frac{\text{sin}\frac{11\pi}{18} \cdot \text{sin}\frac{25\pi}{18} - \text{cos}\frac{29\pi}{18} \cdot \text{cos}\frac{43\pi}{18}}{\text{cos}(29\pi)} $.
Знаменатель: $ \text{cos}(29\pi) = \text{cos}(28\pi + \pi) = \text{cos}(\pi) = -1 $.
Числитель: $ \text{sin}\frac{11\pi}{18} \cdot \text{sin}\frac{25\pi}{18} - \text{cos}\frac{29\pi}{18} \cdot \text{cos}\frac{43\pi}{18} $.
Применим формулы приведения к аргументам тригонометрических функций в числителе:
$ \text{sin}\frac{25\pi}{18} = \text{sin}(\pi + \frac{7\pi}{18}) = -\text{sin}\frac{7\pi}{18} $
$ \text{cos}\frac{29\pi}{18} = \text{cos}(\pi + \frac{11\pi}{18}) = -\text{cos}\frac{11\pi}{18} $
$ \text{cos}\frac{43\pi}{18} = \text{cos}(2\pi + \frac{7\pi}{18}) = \text{cos}\frac{7\pi}{18} $
Подставим упрощенные выражения в числитель:
$ \text{sin}\frac{11\pi}{18} \cdot (-\text{sin}\frac{7\pi}{18}) - (-\text{cos}\frac{11\pi}{18}) \cdot \text{cos}\frac{7\pi}{18} = -\text{sin}\frac{11\pi}{18}\text{sin}\frac{7\pi}{18} + \text{cos}\frac{11\pi}{18}\text{cos}\frac{7\pi}{18} $.
Полученное выражение соответствует формуле косинуса суммы: $ \text{cos}(\alpha + \beta) = \text{cos}\alpha\text{cos}\beta - \text{sin}\alpha\text{sin}\beta $. В нашем случае $ \alpha = \frac{11\pi}{18} $ и $ \beta = \frac{7\pi}{18} $.
Значение числителя: $ \text{cos}(\frac{11\pi}{18} + \frac{7\pi}{18}) = \text{cos}(\frac{18\pi}{18}) = \text{cos}(\pi) = -1 $.
Итоговое значение дроби: $ \frac{-1}{-1} = 1 $.
Ответ: 1
Другие задания:
Помогло решение? Оставьте отзыв в комментариях ниже.
Присоединяйтесь к Телеграм-группе @top_gdz
ПрисоединитьсяМы подготовили для вас ответ c подробным объяснением домашего задания по алгебре за 9 класс, для упражнения номер 675 расположенного на странице 194 к учебнику 2019 года издания для учащихся школ и гимназий.
Теперь на нашем сайте ГДЗ.ТОП вы всегда легко и бесплатно найдёте условие с правильным ответом на вопрос «Как решить ДЗ» и «Как сделать» задание по алгебре к упражнению №675 (с. 194), авторов: Солтан (Генадий Николаевич), Солтан (Алла Евгеньевна), Жумадилова (Аманбала Жумадиловна), учебного пособия издательства Кокшетау.