Номер 669, страница 193 - гдз по алгебре 9 класс учебник Солтан, Солтан

Авторы: Солтан Г. Н., Солтан А. Е., Жумадилова А. Ж.
Тип: Учебник
Издательство: Кокшетау
Год издания: 2019 - 2025
Цвет обложки:
ISBN: 978-601-317-424-2
Рекомендовано Министерством образования и науки Республики Казахстан
Популярные ГДЗ в 9 классе
25. Формулы приведения. IV. Тригонометрия - номер 669, страница 193.
№669 (с. 193)
Условие. №669 (с. 193)
скриншот условия

669. Упростите выражение:
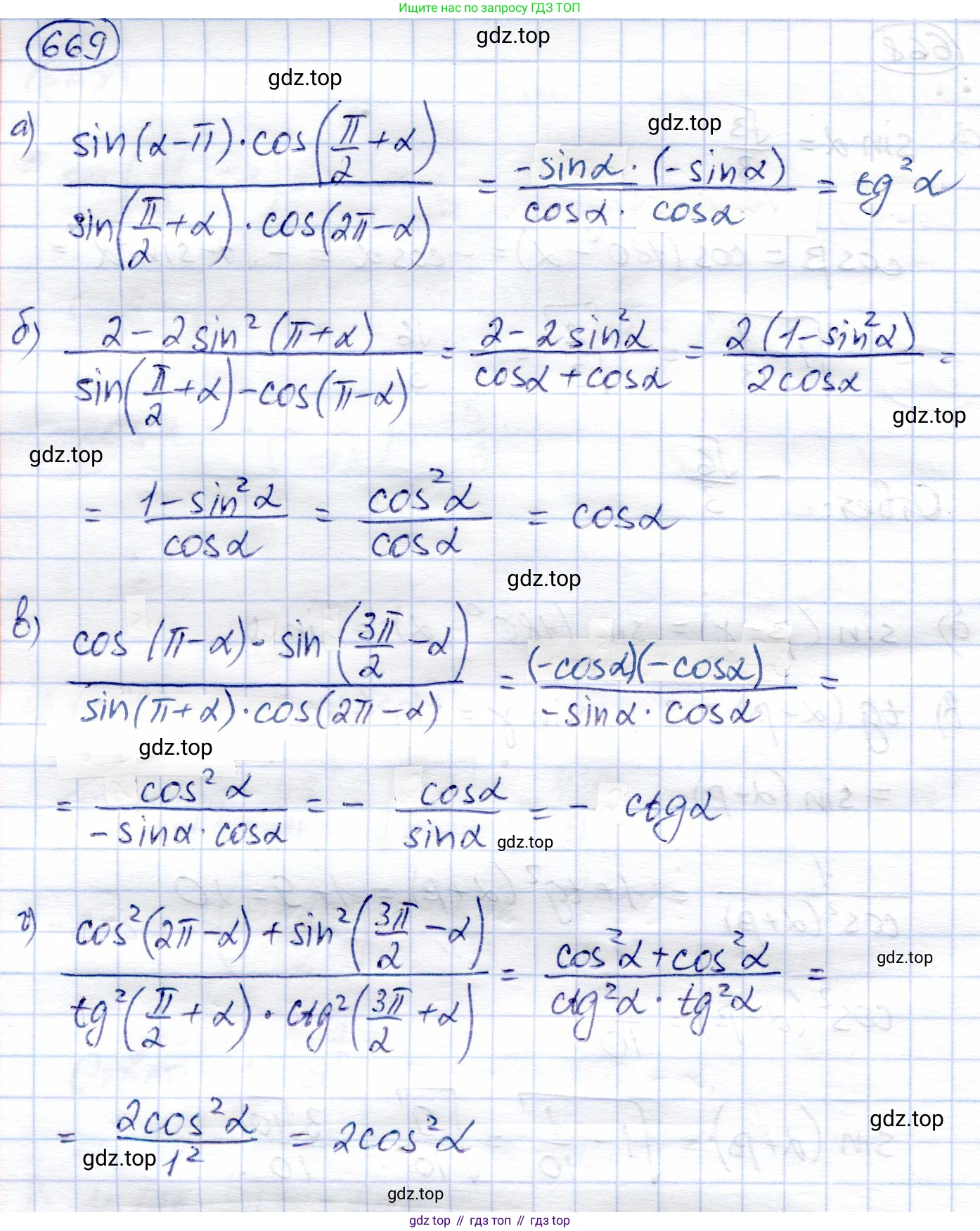
а) $\frac{\sin(\alpha - \pi) \cdot \cos(\frac{\pi}{2} + \alpha)}{\sin(\frac{\pi}{2} + \alpha) \cdot \cos(2\pi - \alpha)};$
б) $\frac{2 - 2 \sin^2(\pi + \alpha)}{\sin(\frac{\pi}{2} + \alpha) - \cos(\pi - \alpha)};$
в) $\frac{\cos(\pi - \alpha) \cdot \sin(\frac{3\pi}{2} - \alpha)}{\sin(\pi + \alpha) \cdot \cos(2\pi - \alpha)};$
г) $\frac{\cos^2(2\pi - \alpha) + \sin^2(\frac{3\pi}{2} - \alpha)}{\operatorname{tg}^2(\frac{\pi}{2} + \alpha) \cdot \operatorname{ctg}^2(\frac{3\pi}{2} + \alpha)}.$
Решение. №669 (с. 193)

Решение 2 (rus). №669 (с. 193)
а)
Дано выражение: $ \frac{\sin(\alpha - \pi) \cdot \cos(\frac{\pi}{2} + \alpha)}{\sin(\frac{\pi}{2} + \alpha) \cdot \cos(2\pi - \alpha)} $.
Для упрощения выражения воспользуемся формулами приведения для каждой тригонометрической функции.
1. $ \sin(\alpha - \pi) = \sin(-(\pi - \alpha)) = -\sin(\pi - \alpha) $. Угол $ (\pi - \alpha) $ находится во II четверти, где синус положителен. Значит, $ \sin(\pi - \alpha) = \sin(\alpha) $. Следовательно, $ \sin(\alpha - \pi) = -\sin(\alpha) $.
2. $ \cos(\frac{\pi}{2} + \alpha) $. Угол $ (\frac{\pi}{2} + \alpha) $ находится во II четверти, где косинус отрицателен. Так как в формуле присутствует $ \frac{\pi}{2} $, функция меняется на синус. Получаем $ \cos(\frac{\pi}{2} + \alpha) = -\sin(\alpha) $.
3. $ \sin(\frac{\pi}{2} + \alpha) $. Угол $ (\frac{\pi}{2} + \alpha) $ находится во II четверти, где синус положителен. Функция меняется на косинус. Получаем $ \sin(\frac{\pi}{2} + \alpha) = \cos(\alpha) $.
4. $ \cos(2\pi - \alpha) $. Угол $ (2\pi - \alpha) $ находится в IV четверти, где косинус положителен. Функция не меняется. Получаем $ \cos(2\pi - \alpha) = \cos(\alpha) $.
Подставляем упрощенные выражения обратно в дробь:
$ \frac{(-\sin(\alpha)) \cdot (-\sin(\alpha))}{\cos(\alpha) \cdot \cos(\alpha)} = \frac{\sin^2(\alpha)}{\cos^2(\alpha)} = \text{tg}^2(\alpha) $.
Ответ: $ \text{tg}^2(\alpha) $.
б)
Дано выражение: $ \frac{2 - 2\sin^2(\pi + \alpha)}{\sin(\frac{\pi}{2} + \alpha) - \cos(\pi - \alpha)} $.
Упростим числитель и знаменатель по отдельности.
Числитель: $ 2 - 2\sin^2(\pi + \alpha) $.
Сначала упростим $ \sin(\pi + \alpha) $. Угол $ (\pi + \alpha) $ находится в III четверти, где синус отрицателен. Функция не меняется. Значит, $ \sin(\pi + \alpha) = -\sin(\alpha) $.
Тогда $ \sin^2(\pi + \alpha) = (-\sin(\alpha))^2 = \sin^2(\alpha) $.
Числитель принимает вид: $ 2 - 2\sin^2(\alpha) = 2(1 - \sin^2(\alpha)) $. Используя основное тригонометрическое тождество $ \sin^2(\alpha) + \cos^2(\alpha) = 1 $, получаем $ 1 - \sin^2(\alpha) = \cos^2(\alpha) $. Таким образом, числитель равен $ 2\cos^2(\alpha) $.
Знаменатель: $ \sin(\frac{\pi}{2} + \alpha) - \cos(\pi - \alpha) $.
1. $ \sin(\frac{\pi}{2} + \alpha) = \cos(\alpha) $ (как в пункте а).
2. $ \cos(\pi - \alpha) $. Угол $ (\pi - \alpha) $ находится во II четверти, где косинус отрицателен. Функция не меняется. Значит, $ \cos(\pi - \alpha) = -\cos(\alpha) $.
Знаменатель принимает вид: $ \cos(\alpha) - (-\cos(\alpha)) = \cos(\alpha) + \cos(\alpha) = 2\cos(\alpha) $.
Теперь разделим упрощенный числитель на знаменатель:
$ \frac{2\cos^2(\alpha)}{2\cos(\alpha)} = \cos(\alpha) $.
Ответ: $ \cos(\alpha) $.
в)
Дано выражение: $ \frac{\cos(\pi - \alpha) \cdot \sin(\frac{3\pi}{2} - \alpha)}{\sin(\pi + \alpha) \cdot \cos(2\pi - \alpha)} $.
Упростим каждую функцию с помощью формул приведения.
1. $ \cos(\pi - \alpha) = -\cos(\alpha) $ (II четверть, косинус отрицателен).
2. $ \sin(\frac{3\pi}{2} - \alpha) $. Угол $ (\frac{3\pi}{2} - \alpha) $ находится в III четверти, где синус отрицателен. Функция меняется на косинус. Получаем $ \sin(\frac{3\pi}{2} - \alpha) = -\cos(\alpha) $.
3. $ \sin(\pi + \alpha) = -\sin(\alpha) $ (III четверть, синус отрицателен).
4. $ \cos(2\pi - \alpha) = \cos(\alpha) $ (IV четверть, косинус положителен).
Подставляем упрощенные выражения в дробь:
$ \frac{(-\cos(\alpha)) \cdot (-\cos(\alpha))}{(-\sin(\alpha)) \cdot \cos(\alpha)} = \frac{\cos^2(\alpha)}{-\sin(\alpha)\cos(\alpha)} $.
Сокращаем на $ \cos(\alpha) $ (при условии, что $ \cos(\alpha) \neq 0 $):
$ \frac{\cos(\alpha)}{-\sin(\alpha)} = -\cot(\alpha) $.
Ответ: $ -\cot(\alpha) $.
г)
Дано выражение: $ \frac{\cos^2(2\pi - \alpha) + \sin^2(\frac{3\pi}{2} - \alpha)}{\text{tg}^2(\frac{\pi}{2} + \alpha) \cdot \text{ctg}^2(\frac{3\pi}{2} + \alpha)} $.
Упростим числитель и знаменатель по отдельности.
Числитель: $ \cos^2(2\pi - \alpha) + \sin^2(\frac{3\pi}{2} - \alpha) $.
1. $ \cos(2\pi - \alpha) = \cos(\alpha) $. Тогда $ \cos^2(2\pi - \alpha) = \cos^2(\alpha) $.
2. $ \sin(\frac{3\pi}{2} - \alpha) = -\cos(\alpha) $. Тогда $ \sin^2(\frac{3\pi}{2} - \alpha) = (-\cos(\alpha))^2 = \cos^2(\alpha) $.
Числитель равен: $ \cos^2(\alpha) + \cos^2(\alpha) = 2\cos^2(\alpha) $.
Знаменатель: $ \text{tg}^2(\frac{\pi}{2} + \alpha) \cdot \text{ctg}^2(\frac{3\pi}{2} + \alpha) $.
1. $ \text{tg}(\frac{\pi}{2} + \alpha) $. Угол $ (\frac{\pi}{2} + \alpha) $ находится во II четверти, где тангенс отрицателен. Функция меняется на котангенс. Получаем $ \text{tg}(\frac{\pi}{2} + \alpha) = -\cot(\alpha) $. Тогда $ \text{tg}^2(\frac{\pi}{2} + \alpha) = (-\cot(\alpha))^2 = \cot^2(\alpha) $.
2. $ \text{ctg}(\frac{3\pi}{2} + \alpha) $. Угол $ (\frac{3\pi}{2} + \alpha) $ находится в IV четверти, где котангенс отрицателен. Функция меняется на тангенс. Получаем $ \text{ctg}(\frac{3\pi}{2} + \alpha) = -\tan(\alpha) $. Тогда $ \text{ctg}^2(\frac{3\pi}{2} + \alpha) = (-\tan(\alpha))^2 = \tan^2(\alpha) $.
Знаменатель равен: $ \cot^2(\alpha) \cdot \tan^2(\alpha) $. Так как $ \cot(\alpha) \cdot \tan(\alpha) = 1 $, то $ \cot^2(\alpha) \cdot \tan^2(\alpha) = 1^2 = 1 $.
Теперь разделим упрощенный числитель на знаменатель:
$ \frac{2\cos^2(\alpha)}{1} = 2\cos^2(\alpha) $.
Ответ: $ 2\cos^2(\alpha) $.
Другие задания:
Помогло решение? Оставьте отзыв в комментариях ниже.
Присоединяйтесь к Телеграм-группе @top_gdz
ПрисоединитьсяМы подготовили для вас ответ c подробным объяснением домашего задания по алгебре за 9 класс, для упражнения номер 669 расположенного на странице 193 к учебнику 2019 года издания для учащихся школ и гимназий.
Теперь на нашем сайте ГДЗ.ТОП вы всегда легко и бесплатно найдёте условие с правильным ответом на вопрос «Как решить ДЗ» и «Как сделать» задание по алгебре к упражнению №669 (с. 193), авторов: Солтан (Генадий Николаевич), Солтан (Алла Евгеньевна), Жумадилова (Аманбала Жумадиловна), учебного пособия издательства Кокшетау.