Номер 685, страница 199 - гдз по алгебре 9 класс учебник Солтан, Солтан

Авторы: Солтан Г. Н., Солтан А. Е., Жумадилова А. Ж.
Тип: Учебник
Издательство: Кокшетау
Год издания: 2019 - 2025
Цвет обложки:
ISBN: 978-601-317-424-2
Рекомендовано Министерством образования и науки Республики Казахстан
Популярные ГДЗ в 9 классе
26. Формулы косинуса, синуса, тангенса и котангенса суммы и разности двух углов. IV. Тригонометрия - номер 685, страница 199.
№685 (с. 199)
Условие. №685 (с. 199)
скриншот условия

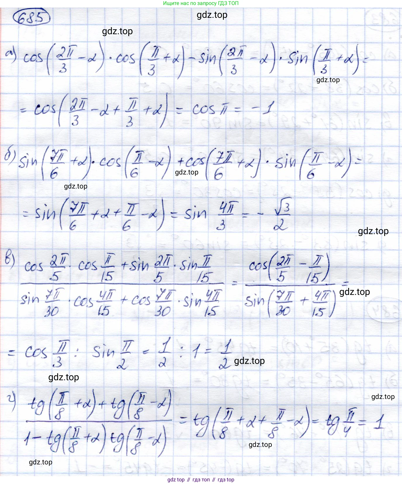
685. Замените выражение тригонометрической функцией суммы или разности углов и найдите его значение:
а) $ \cos(\frac{2\pi}{3} - \alpha) \cdot \cos(\frac{\pi}{3} + \alpha) - \sin(\frac{2\pi}{3} - \alpha) \cdot \sin(\frac{\pi}{3} + \alpha); $
б) $ \sin(\frac{7\pi}{6} + \alpha) \cdot \cos(\frac{\pi}{6} - \alpha) + \cos(\frac{7\pi}{6} + \alpha) \cdot \sin(\frac{\pi}{6} - \alpha); $
в) $ \frac{\cos\frac{2\pi}{5} \cdot \cos\frac{\pi}{15} + \sin\frac{2\pi}{5} \cdot \sin\frac{\pi}{15}}{\sin\frac{7\pi}{30} \cdot \cos\frac{4\pi}{15} + \cos\frac{7\pi}{30} \cdot \sin\frac{4\pi}{15}}; $
г) $ \frac{\operatorname{tg}(\frac{\pi}{8} + \alpha) + \operatorname{tg}(\frac{\pi}{8} - \alpha)}{1 - \operatorname{tg}(\frac{\pi}{8} + \alpha) \cdot \operatorname{tg}(\frac{\pi}{8} - \alpha)}. $
Решение. №685 (с. 199)

Решение 2 (rus). №685 (с. 199)
а) Исходное выражение представляет собой формулу косинуса суммы двух углов: $cos(x+y) = cos(x)cos(y) - sin(x)sin(y)$.
В данном случае, пусть $x = \frac{2\pi}{3} - \alpha$ и $y = \frac{\pi}{3} + \alpha$.
Тогда выражение можно преобразовать следующим образом:
$cos(\frac{2\pi}{3} - \alpha) \cdot cos(\frac{\pi}{3} + \alpha) - sin(\frac{2\pi}{3} - \alpha) \cdot sin(\frac{\pi}{3} + \alpha) = cos((\frac{2\pi}{3} - \alpha) + (\frac{\pi}{3} + \alpha))$
Складываем аргументы:
$cos(\frac{2\pi}{3} + \frac{\pi}{3} - \alpha + \alpha) = cos(\frac{3\pi}{3}) = cos(\pi)$.
Значение косинуса пи равно -1.
$cos(\pi) = -1$.
Ответ: -1
б) Исходное выражение представляет собой формулу синуса суммы двух углов: $sin(x+y) = sin(x)cos(y) + cos(x)sin(y)$.
В данном случае, пусть $x = \frac{7\pi}{6} + \alpha$ и $y = \frac{\pi}{6} - \alpha$.
Тогда выражение можно преобразовать:
$sin(\frac{7\pi}{6} + \alpha) \cdot cos(\frac{\pi}{6} - \alpha) + cos(\frac{7\pi}{6} + \alpha) \cdot sin(\frac{\pi}{6} - \alpha) = sin((\frac{7\pi}{6} + \alpha) + (\frac{\pi}{6} - \alpha))$
Складываем аргументы:
$sin(\frac{7\pi}{6} + \frac{\pi}{6} + \alpha - \alpha) = sin(\frac{8\pi}{6}) = sin(\frac{4\pi}{3})$.
Угол $\frac{4\pi}{3}$ находится в третьей четверти. Используя формулы приведения, получаем:
$sin(\frac{4\pi}{3}) = sin(\pi + \frac{\pi}{3}) = -sin(\frac{\pi}{3}) = -\frac{\sqrt{3}}{2}$.
Ответ: $-\frac{\sqrt{3}}{2}$
в) Рассмотрим числитель и знаменатель дроби по отдельности.
Числитель: $cos\frac{2\pi}{5} \cdot cos\frac{\pi}{15} + sin\frac{2\pi}{5} \cdot sin\frac{\pi}{15}$.
Это формула косинуса разности: $cos(x-y) = cos(x)cos(y) + sin(x)sin(y)$.
$cos(\frac{2\pi}{5} - \frac{\pi}{15}) = cos(\frac{6\pi}{15} - \frac{\pi}{15}) = cos(\frac{5\pi}{15}) = cos(\frac{\pi}{3}) = \frac{1}{2}$.
Знаменатель: $sin\frac{7\pi}{30} \cdot cos\frac{4\pi}{15} + cos\frac{7\pi}{30} \cdot sin\frac{4\pi}{15}$.
Это формула синуса суммы: $sin(x+y) = sin(x)cos(y) + cos(x)sin(y)$.
$sin(\frac{7\pi}{30} + \frac{4\pi}{15}) = sin(\frac{7\pi}{30} + \frac{8\pi}{30}) = sin(\frac{15\pi}{30}) = sin(\frac{\pi}{2}) = 1$.
Теперь найдем значение всего выражения, разделив значение числителя на значение знаменателя:
$\frac{1/2}{1} = \frac{1}{2}$.
Ответ: $\frac{1}{2}$
г) Исходное выражение представляет собой формулу тангенса суммы двух углов: $tg(x+y) = \frac{tg(x)+tg(y)}{1-tg(x)tg(y)}$.
В данном случае, пусть $x = \frac{\pi}{8} + \alpha$ и $y = \frac{\pi}{8} - \alpha$.
Тогда выражение можно преобразовать:
$\frac{tg(\frac{\pi}{8} + \alpha) + tg(\frac{\pi}{8} - \alpha)}{1 - tg(\frac{\pi}{8} + \alpha) \cdot tg(\frac{\pi}{8} - \alpha)} = tg((\frac{\pi}{8} + \alpha) + (\frac{\pi}{8} - \alpha))$
Складываем аргументы:
$tg(\frac{\pi}{8} + \frac{\pi}{8} + \alpha - \alpha) = tg(\frac{2\pi}{8}) = tg(\frac{\pi}{4})$.
Значение тангенса $\frac{\pi}{4}$ равно 1.
$tg(\frac{\pi}{4}) = 1$.
Ответ: 1
Другие задания:
Помогло решение? Оставьте отзыв в комментариях ниже.
Присоединяйтесь к Телеграм-группе @top_gdz
ПрисоединитьсяМы подготовили для вас ответ c подробным объяснением домашего задания по алгебре за 9 класс, для упражнения номер 685 расположенного на странице 199 к учебнику 2019 года издания для учащихся школ и гимназий.
Теперь на нашем сайте ГДЗ.ТОП вы всегда легко и бесплатно найдёте условие с правильным ответом на вопрос «Как решить ДЗ» и «Как сделать» задание по алгебре к упражнению №685 (с. 199), авторов: Солтан (Генадий Николаевич), Солтан (Алла Евгеньевна), Жумадилова (Аманбала Жумадиловна), учебного пособия издательства Кокшетау.