Номер 693, страница 200 - гдз по алгебре 9 класс учебник Солтан, Солтан

Авторы: Солтан Г. Н., Солтан А. Е., Жумадилова А. Ж.
Тип: Учебник
Издательство: Кокшетау
Год издания: 2019 - 2025
Цвет обложки:
ISBN: 978-601-317-424-2
Рекомендовано Министерством образования и науки Республики Казахстан
Популярные ГДЗ в 9 классе
26. Формулы косинуса, синуса, тангенса и котангенса суммы и разности двух углов. IV. Тригонометрия - номер 693, страница 200.
№693 (с. 200)
Условие. №693 (с. 200)
скриншот условия

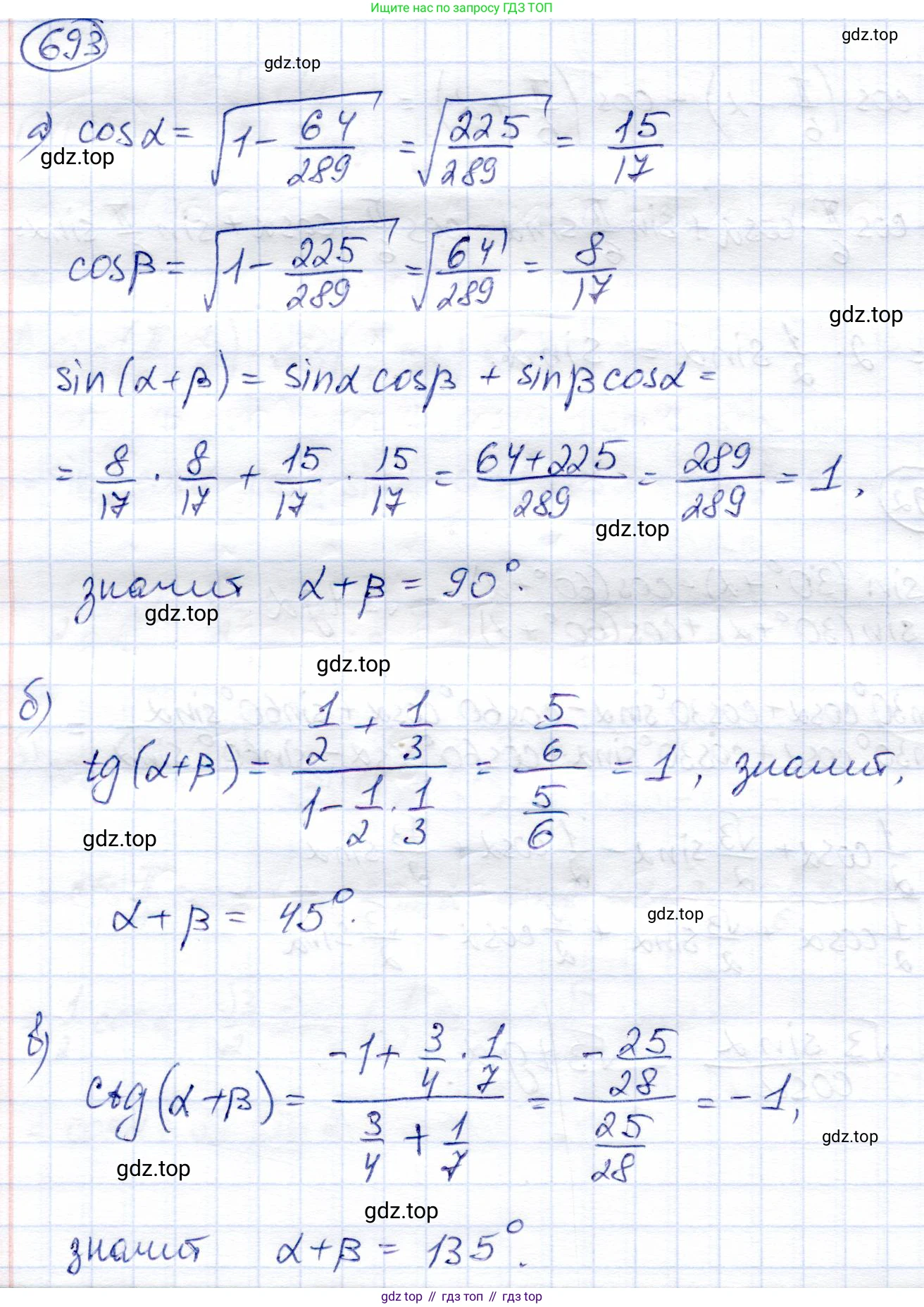
693. Установите, что если $\alpha$ и $\beta$ – положительные острые углы и:
a) $\sin \alpha = \frac{8}{17}$, а $\sin \beta = \frac{15}{17}$, то $\alpha + \beta = 90^\circ$;
б) $\text{tg} \alpha = \frac{1}{2}$, а $\text{tg} \beta = \frac{1}{3}$, то $\alpha + \beta = 45^\circ$;
в) $\text{ctg} \alpha = \frac{3}{4}$, а $\text{ctg} \beta = \frac{1}{7}$, то $\alpha + \beta = 135^\circ$.
Решение. №693 (с. 200)

Решение 2 (rus). №693 (с. 200)
а) По условию, $\alpha$ и $\beta$ – положительные острые углы, значит $0^\circ < \alpha < 90^\circ$ и $0^\circ < \beta < 90^\circ$. Дано, что $\sin \alpha = \frac{8}{17}$ и $\sin \beta = \frac{15}{17}$. Найдем косинус угла $\beta$, учитывая, что он является острым и его косинус положителен. Используем основное тригонометрическое тождество $\sin^2 \beta + \cos^2 \beta = 1$:
$\cos \beta = \sqrt{1 - \sin^2 \beta} = \sqrt{1 - (\frac{15}{17})^2} = \sqrt{1 - \frac{225}{289}} = \sqrt{\frac{289-225}{289}} = \sqrt{\frac{64}{289}} = \frac{8}{17}$.
Мы видим, что $\sin \alpha = \frac{8}{17}$ и $\cos \beta = \frac{8}{17}$, следовательно, $\sin \alpha = \cos \beta$.
Для острых углов это равенство выполняется тогда и только тогда, когда они дополняют друг друга до $90^\circ$, то есть $\alpha + \beta = 90^\circ$. Это следует из формулы приведения $\cos \beta = \sin(90^\circ - \beta)$, из которой получаем $\sin \alpha = \sin(90^\circ - \beta)$. Так как углы $\alpha$ и $90^\circ - \beta$ оба находятся в интервале $(0^\circ, 90^\circ)$, то $\alpha = 90^\circ - \beta$, или $\alpha + \beta = 90^\circ$.
Ответ: Равенство доказано.
б) По условию, $\alpha$ и $\beta$ – положительные острые углы. Дано, что $\tg \alpha = \frac{1}{2}$ и $\tg \beta = \frac{1}{3}$.
Поскольку $\tg 45^\circ = 1$, а значения тангенсов $\tg \alpha < 1$ и $\tg \beta < 1$, то оба угла меньше $45^\circ$. Таким образом, $0^\circ < \alpha < 45^\circ$ и $0^\circ < \beta < 45^\circ$. Отсюда следует, что их сумма $\alpha + \beta$ находится в интервале $0^\circ < \alpha + \beta < 90^\circ$.
Применим формулу тангенса суммы углов: $\tg(\alpha + \beta) = \frac{\tg \alpha + \tg \beta}{1 - \tg \alpha \tg \beta}$.
Подставим данные значения:
$\tg(\alpha + \beta) = \frac{\frac{1}{2} + \frac{1}{3}}{1 - \frac{1}{2} \cdot \frac{1}{3}} = \frac{\frac{3+2}{6}}{1 - \frac{1}{6}} = \frac{\frac{5}{6}}{\frac{5}{6}} = 1$.
Поскольку $0^\circ < \alpha + \beta < 90^\circ$ и $\tg(\alpha + \beta) = 1$, единственным возможным значением для суммы углов является $45^\circ$.
Следовательно, $\alpha + \beta = 45^\circ$.
Ответ: Равенство доказано.
в) По условию, $\alpha$ и $\beta$ – положительные острые углы. Дано, что $\ctg \alpha = \frac{3}{4}$ и $\ctg \beta = \frac{1}{7}$.
Поскольку $\ctg 45^\circ = 1$, а значения котангенсов $\ctg \alpha < 1$ и $\ctg \beta < 1$, то оба угла больше $45^\circ$. Таким образом, $45^\circ < \alpha < 90^\circ$ и $45^\circ < \beta < 90^\circ$. Отсюда следует, что их сумма $\alpha + \beta$ находится в интервале $90^\circ < \alpha + \beta < 180^\circ$.
Применим формулу котангенса суммы углов: $\ctg(\alpha + \beta) = \frac{\ctg \alpha \ctg \beta - 1}{\ctg \alpha + \ctg \beta}$.
Подставим данные значения:
$\ctg(\alpha + \beta) = \frac{\frac{3}{4} \cdot \frac{1}{7} - 1}{\frac{3}{4} + \frac{1}{7}} = \frac{\frac{3}{28} - \frac{28}{28}}{\frac{21+4}{28}} = \frac{-\frac{25}{28}}{\frac{25}{28}} = -1$.
Поскольку $90^\circ < \alpha + \beta < 180^\circ$ и $\ctg(\alpha + \beta) = -1$, единственным возможным значением для суммы углов является $135^\circ$.
Следовательно, $\alpha + \beta = 135^\circ$.
Ответ: Равенство доказано.
Другие задания:
Помогло решение? Оставьте отзыв в комментариях ниже.
Присоединяйтесь к Телеграм-группе @top_gdz
ПрисоединитьсяМы подготовили для вас ответ c подробным объяснением домашего задания по алгебре за 9 класс, для упражнения номер 693 расположенного на странице 200 к учебнику 2019 года издания для учащихся школ и гимназий.
Теперь на нашем сайте ГДЗ.ТОП вы всегда легко и бесплатно найдёте условие с правильным ответом на вопрос «Как решить ДЗ» и «Как сделать» задание по алгебре к упражнению №693 (с. 200), авторов: Солтан (Генадий Николаевич), Солтан (Алла Евгеньевна), Жумадилова (Аманбала Жумадиловна), учебного пособия издательства Кокшетау.