Номер 700, страница 201 - гдз по алгебре 9 класс учебник Солтан, Солтан

Авторы: Солтан Г. Н., Солтан А. Е., Жумадилова А. Ж.
Тип: Учебник
Издательство: Кокшетау
Год издания: 2019 - 2025
Цвет обложки:
ISBN: 978-601-317-424-2
Рекомендовано Министерством образования и науки Республики Казахстан
Популярные ГДЗ в 9 классе
26. Формулы косинуса, синуса, тангенса и котангенса суммы и разности двух углов. IV. Тригонометрия - номер 700, страница 201.
№700 (с. 201)
Условие. №700 (с. 201)
скриншот условия

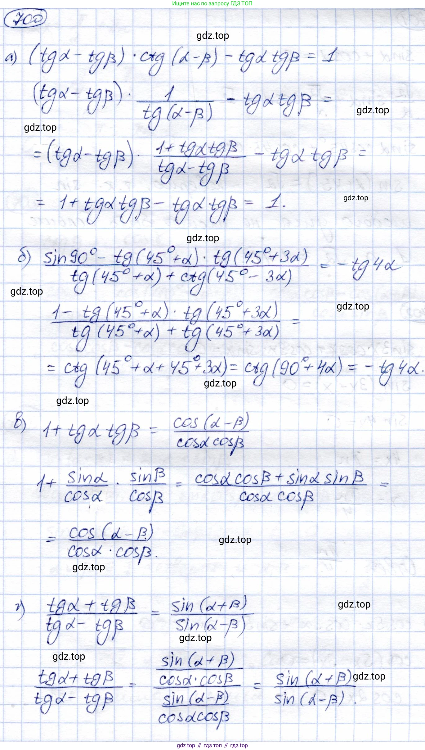
700. Докажите тождество:
a) $(\text{tg } \alpha - \text{tg } \beta) \cdot \text{ctg}(\alpha - \beta) - \text{tg } \alpha \cdot \text{tg } \beta = 1;$
б) $\frac{\sin 90^{\circ} - \text{tg}(45^{\circ} + \alpha) \cdot \text{tg}(45^{\circ} + 3\alpha)}{\text{tg}(45^{\circ} + \alpha) + \text{ctg}(45^{\circ} - 3\alpha)} = -\text{tg } 4\alpha;$
в) $1 + \text{tg } \alpha \cdot \text{tg } \beta = \frac{\cos(\alpha - \beta)}{\cos \alpha \cdot \cos \beta};$
г) $\frac{\text{tg } \alpha + \text{tg } \beta}{\text{tg } \alpha - \text{tg } \beta} = \frac{\sin(\alpha + \beta)}{\sin(\alpha - \beta)}.$
Решение. №700 (с. 201)

Решение 2 (rus). №700 (с. 201)
а) Преобразуем левую часть тождества. Воспользуемся формулой тангенса разности $ \text{tg}(\alpha - \beta) = \frac{\text{tg } \alpha - \text{tg } \beta}{1 + \text{tg } \alpha \text{tg } \beta} $. Из этой формулы можно выразить разность тангенсов: $ \text{tg } \alpha - \text{tg } \beta = \text{tg}(\alpha - \beta) \cdot (1 + \text{tg } \alpha \text{tg } \beta) $. Подставим это выражение в левую часть исходного тождества:$ (\text{tg}(\alpha - \beta) \cdot (1 + \text{tg } \alpha \text{tg } \beta)) \cdot \text{ctg}(\alpha - \beta) - \text{tg } \alpha \cdot \text{tg } \beta $.Поскольку произведение тангенса и котангенса одного и того же угла равно единице, то есть $ \text{tg}(\alpha - \beta) \cdot \text{ctg}(\alpha - \beta) = 1 $, выражение упрощается:$ 1 \cdot (1 + \text{tg } \alpha \text{tg } \beta) - \text{tg } \alpha \cdot \text{tg } \beta = 1 + \text{tg } \alpha \text{tg } \beta - \text{tg } \alpha \text{tg } \beta = 1 $.Левая часть равна $1$, что соответствует правой части тождества. Тождество доказано.Ответ:
б) Преобразуем левую часть тождества. Сначала упростим некоторые его части.Знаем, что $ \sin 90^\circ = 1 $.Используем формулу приведения для котангенса: $ \text{ctg}(90^\circ - x) = \text{tg } x $. Применим ее к слагаемому в знаменателе: $ \text{ctg}(45^\circ - 3\alpha) = \text{tg}(90^\circ - (45^\circ - 3\alpha)) = \text{tg}(90^\circ - 45^\circ + 3\alpha) = \text{tg}(45^\circ + 3\alpha) $.Теперь исходное выражение можно переписать в виде:$ \frac{1 - \text{tg}(45^\circ + \alpha) \cdot \text{tg}(45^\circ + 3\alpha)}{\text{tg}(45^\circ + \alpha) + \text{tg}(45^\circ + 3\alpha)} $.Это выражение является обратным к формуле тангенса суммы $ \text{tg}(A+B) = \frac{\text{tg } A + \text{tg } B}{1 - \text{tg } A \text{tg } B} $.Пусть $ A = 45^\circ + \alpha $ и $ B = 45^\circ + 3\alpha $. Тогда левая часть тождества равна:$ \frac{1}{\text{tg}((45^\circ + \alpha) + (45^\circ + 3\alpha))} = \frac{1}{\text{tg}(90^\circ + 4\alpha)} $.Используя формулу приведения $ \text{tg}(90^\circ + x) = -\text{ctg } x $, получаем:$ \frac{1}{-\text{ctg } 4\alpha} = -\frac{1}{\text{ctg } 4\alpha} = -\text{tg } 4\alpha $.Левая часть равна правой, тождество доказано.Ответ:
в) Преобразуем левую часть тождества, заменив тангенсы на отношение синуса к косинусу:$ 1 + \text{tg } \alpha \cdot \text{tg } \beta = 1 + \frac{\sin \alpha}{\cos \alpha} \cdot \frac{\sin \beta}{\cos \beta} = 1 + \frac{\sin \alpha \sin \beta}{\cos \alpha \cos \beta} $.Приведем к общему знаменателю $ \cos \alpha \cos \beta $:$ \frac{\cos \alpha \cos \beta}{\cos \alpha \cos \beta} + \frac{\sin \alpha \sin \beta}{\cos \alpha \cos \beta} = \frac{\cos \alpha \cos \beta + \sin \alpha \sin \beta}{\cos \alpha \cos \beta} $.Числитель полученной дроби является развернутой формулой косинуса разности: $ \cos \alpha \cos \beta + \sin \alpha \sin \beta = \cos(\alpha - \beta) $.Таким образом, левая часть тождества равна $ \frac{\cos(\alpha - \beta)}{\cos \alpha \cos \beta} $, что полностью совпадает с правой частью. Тождество доказано.Ответ:
г) Преобразуем левую часть тождества. Для этого выразим тангенсы в числителе и знаменателе через синусы и косинусы.Преобразуем числитель:$ \text{tg } \alpha + \text{tg } \beta = \frac{\sin \alpha}{\cos \alpha} + \frac{\sin \beta}{\cos \beta} = \frac{\sin \alpha \cos \beta + \cos \alpha \sin \beta}{\cos \alpha \cos \beta} = \frac{\sin(\alpha + \beta)}{\cos \alpha \cos \beta} $.Преобразуем знаменатель:$ \text{tg } \alpha - \text{tg } \beta = \frac{\sin \alpha}{\cos \alpha} - \frac{\sin \beta}{\cos \beta} = \frac{\sin \alpha \cos \beta - \cos \alpha \sin \beta}{\cos \alpha \cos \beta} = \frac{\sin(\alpha - \beta)}{\cos \alpha \cos \beta} $.Теперь разделим преобразованный числитель на преобразованный знаменатель:$ \frac{\frac{\sin(\alpha + \beta)}{\cos \alpha \cos \beta}}{\frac{\sin(\alpha - \beta)}{\cos \alpha \cos \beta}} $.Сократив общий множитель $ \cos \alpha \cos \beta $ в знаменателях числителя и знаменателя дроби, получим:$ \frac{\sin(\alpha + \beta)}{\sin(\alpha - \beta)} $.Левая часть равна правой. Тождество доказано.Ответ:
Другие задания:
Помогло решение? Оставьте отзыв в комментариях ниже.
Присоединяйтесь к Телеграм-группе @top_gdz
ПрисоединитьсяМы подготовили для вас ответ c подробным объяснением домашего задания по алгебре за 9 класс, для упражнения номер 700 расположенного на странице 201 к учебнику 2019 года издания для учащихся школ и гимназий.
Теперь на нашем сайте ГДЗ.ТОП вы всегда легко и бесплатно найдёте условие с правильным ответом на вопрос «Как решить ДЗ» и «Как сделать» задание по алгебре к упражнению №700 (с. 201), авторов: Солтан (Генадий Николаевич), Солтан (Алла Евгеньевна), Жумадилова (Аманбала Жумадиловна), учебного пособия издательства Кокшетау.