Номер 705, страница 201 - гдз по алгебре 9 класс учебник Солтан, Солтан

Авторы: Солтан Г. Н., Солтан А. Е., Жумадилова А. Ж.
Тип: Учебник
Издательство: Кокшетау
Год издания: 2019 - 2025
Цвет обложки:
ISBN: 978-601-317-424-2
Рекомендовано Министерством образования и науки Республики Казахстан
Популярные ГДЗ в 9 классе
26. Формулы косинуса, синуса, тангенса и котангенса суммы и разности двух углов. IV. Тригонометрия - номер 705, страница 201.
№705 (с. 201)
Условие. №705 (с. 201)
скриншот условия

705. Докажите, что если для углов $\alpha, \beta, \gamma$ треугольника выполняется соотношение $\cos \frac{\gamma}{2} = 2\sin \frac{\alpha}{2} \cdot \cos \frac{\beta}{2}$, то он равнобедренный.
Решение. №705 (с. 201)


Решение 2 (rus). №705 (с. 201)
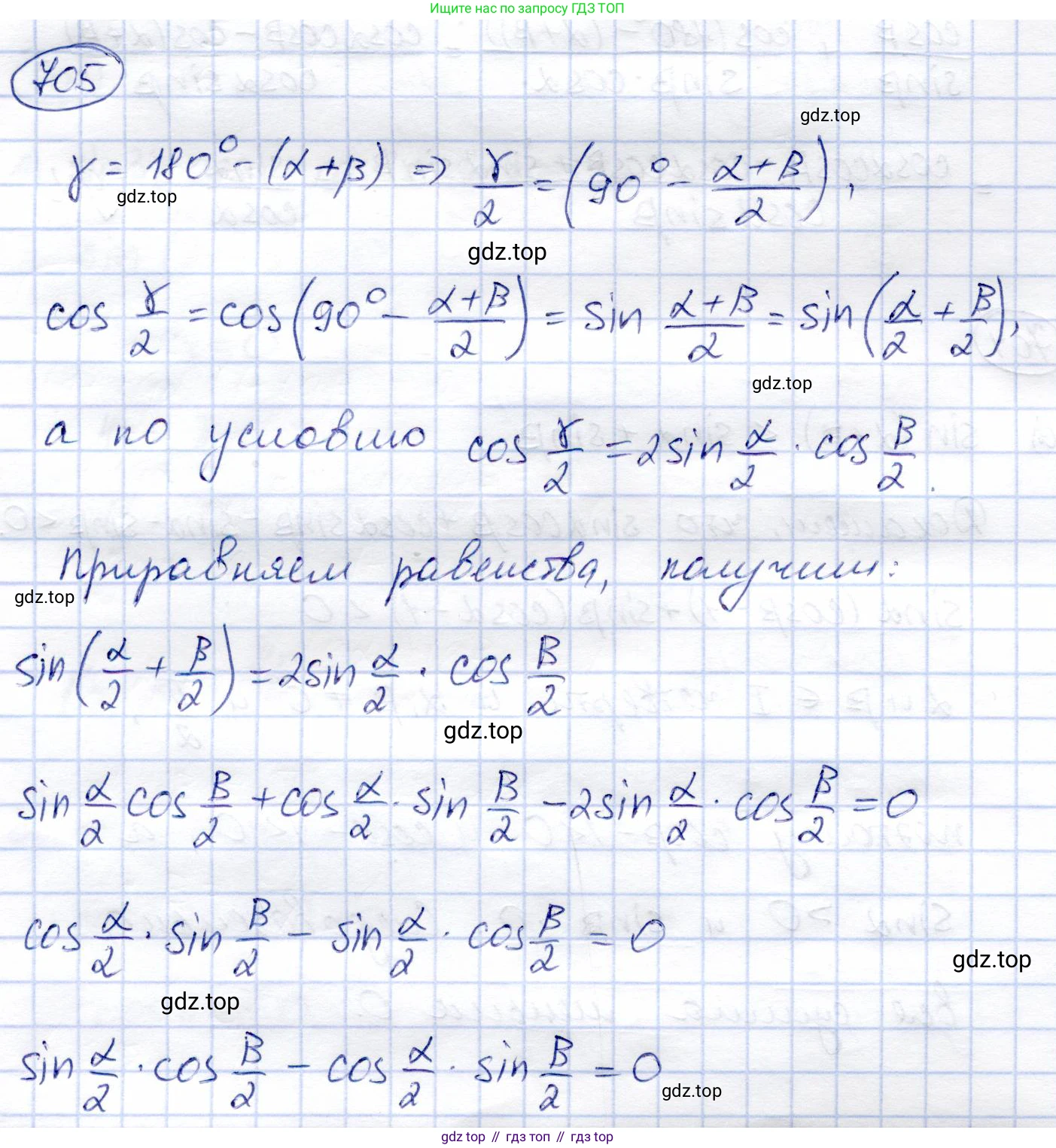
Пусть $\alpha$, $\beta$, $\gamma$ — углы треугольника. По условию задачи дано соотношение: $ \cos \frac{\gamma}{2} = 2\sin \frac{\alpha}{2} \cdot \cos \frac{\beta}{2} $
Сумма углов в треугольнике равна $\pi$, то есть $\alpha + \beta + \gamma = \pi$. Выразим отсюда угол $\gamma$: $\gamma = \pi - (\alpha + \beta)$. Тогда половина этого угла равна $\frac{\gamma}{2} = \frac{\pi - (\alpha + \beta)}{2} = \frac{\pi}{2} - \frac{\alpha + \beta}{2}$.
Используя формулу приведения для косинуса, $\cos(\frac{\pi}{2} - x) = \sin x$, мы можем преобразовать левую часть исходного равенства: $ \cos \frac{\gamma}{2} = \cos(\frac{\pi}{2} - \frac{\alpha + \beta}{2}) = \sin(\frac{\alpha + \beta}{2}) $
Теперь исходное соотношение принимает вид: $ \sin(\frac{\alpha + \beta}{2}) = 2\sin \frac{\alpha}{2} \cdot \cos \frac{\beta}{2} $
Применим формулу синуса суммы к левой части уравнения, $\sin(x+y) = \sin x \cos y + \cos x \sin y$: $ \sin(\frac{\alpha}{2} + \frac{\beta}{2}) = \sin \frac{\alpha}{2} \cos \frac{\beta}{2} + \cos \frac{\alpha}{2} \sin \frac{\beta}{2} $
Подставим это выражение в наше уравнение: $ \sin \frac{\alpha}{2} \cos \frac{\beta}{2} + \cos \frac{\alpha}{2} \sin \frac{\beta}{2} = 2\sin \frac{\alpha}{2} \cos \frac{\beta}{2} $
Перенесем все члены в одну сторону, чтобы получить: $ \cos \frac{\alpha}{2} \sin \frac{\beta}{2} - \sin \frac{\alpha}{2} \cos \frac{\beta}{2} = 0 $
Левая часть этого уравнения представляет собой формулу синуса разности, $\sin(y-x) = \sin y \cos x - \cos y \sin x$: $ \sin(\frac{\beta}{2} - \frac{\alpha}{2}) = 0 $
Это равенство выполняется, если аргумент синуса равен $k\pi$ для любого целого числа $k$: $ \frac{\beta - \alpha}{2} = k\pi $
Поскольку $\alpha$ и $\beta$ являются углами треугольника, они должны удовлетворять условиям $0 < \alpha < \pi$ и $0 < \beta < \pi$. Следовательно, для их половин справедливы неравенства: $0 < \frac{\alpha}{2} < \frac{\pi}{2}$ и $0 < \frac{\beta}{2} < \frac{\pi}{2}$. Тогда разность этих половин будет находиться в интервале: $ -\frac{\pi}{2} < \frac{\beta}{2} - \frac{\alpha}{2} < \frac{\pi}{2} $
Единственное значение $k\pi$, которое попадает в этот интервал $(-\frac{\pi}{2}, \frac{\pi}{2})$, соответствует $k=0$. Следовательно, $\frac{\beta - \alpha}{2} = 0$, откуда $\beta - \alpha = 0$, то есть $\alpha = \beta$.
Так как два угла треугольника равны, то этот треугольник является равнобедренным, что и требовалось доказать.
Ответ: Доказано, что если для углов треугольника выполняется данное соотношение, то треугольник является равнобедренным, так как из соотношения следует равенство углов $\alpha = \beta$.
Другие задания:
Помогло решение? Оставьте отзыв в комментариях ниже.
Присоединяйтесь к Телеграм-группе @top_gdz
ПрисоединитьсяМы подготовили для вас ответ c подробным объяснением домашего задания по алгебре за 9 класс, для упражнения номер 705 расположенного на странице 201 к учебнику 2019 года издания для учащихся школ и гимназий.
Теперь на нашем сайте ГДЗ.ТОП вы всегда легко и бесплатно найдёте условие с правильным ответом на вопрос «Как решить ДЗ» и «Как сделать» задание по алгебре к упражнению №705 (с. 201), авторов: Солтан (Генадий Николаевич), Солтан (Алла Евгеньевна), Жумадилова (Аманбала Жумадиловна), учебного пособия издательства Кокшетау.