Номер 709, страница 202 - гдз по алгебре 9 класс учебник Солтан, Солтан

Авторы: Солтан Г. Н., Солтан А. Е., Жумадилова А. Ж.
Тип: Учебник
Издательство: Кокшетау
Год издания: 2019 - 2025
Цвет обложки:
ISBN: 978-601-317-424-2
Рекомендовано Министерством образования и науки Республики Казахстан
Популярные ГДЗ в 9 классе
26. Формулы косинуса, синуса, тангенса и котангенса суммы и разности двух углов. IV. Тригонометрия - номер 709, страница 202.
№709 (с. 202)
Условие. №709 (с. 202)
скриншот условия

709. Докажите тождество:
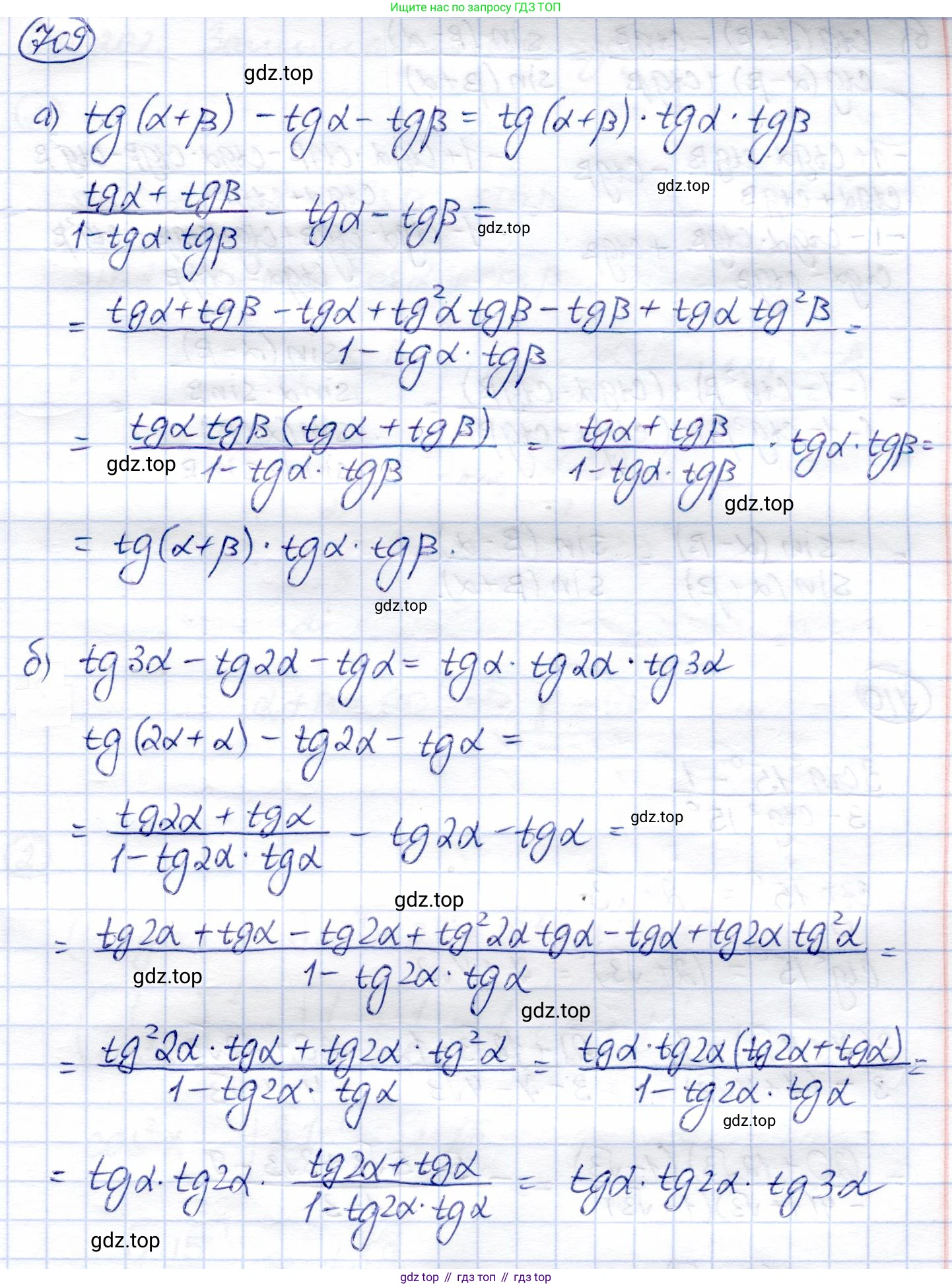
а) $ \operatorname{tg}(\alpha + \beta) - \operatorname{tg} \alpha - \operatorname{tg} \beta = \operatorname{tg}(\alpha + \beta) \cdot \operatorname{tg} \alpha \cdot \operatorname{tg} \beta; $
б) $ \operatorname{tg} 3\alpha - \operatorname{tg} 2\alpha - \operatorname{tg} \alpha = \operatorname{tg} \alpha \cdot \operatorname{tg} 2\alpha \cdot \operatorname{tg} 3\alpha; $
в) $ \frac{\operatorname{ctg}(\alpha+\beta)-\operatorname{ctg} \beta}{\operatorname{ctg}(\alpha-\beta)+\operatorname{ctg} \beta}=\frac{\sin (\beta-\alpha)}{\sin (\beta+\alpha)}. $
Решение. №709 (с. 202)


Решение 2 (rus). №709 (с. 202)
а) Для доказательства тождества преобразуем известную формулу тангенса суммы:
$ \text{tg}(\alpha + \beta) = \frac{\text{tg}\alpha + \text{tg}\beta}{1 - \text{tg}\alpha \cdot \text{tg}\beta} $
Домножим обе части равенства на знаменатель $ (1 - \text{tg}\alpha \cdot \text{tg}\beta) $, предполагая, что он не равен нулю:
$ \text{tg}(\alpha + \beta) \cdot (1 - \text{tg}\alpha \cdot \text{tg}\beta) = \text{tg}\alpha + \text{tg}\beta $
Раскроем скобки в левой части:
$ \text{tg}(\alpha + \beta) - \text{tg}(\alpha + \beta) \cdot \text{tg}\alpha \cdot \text{tg}\beta = \text{tg}\alpha + \text{tg}\beta $
Перегруппируем слагаемые, чтобы получить доказываемое тождество:
$ \text{tg}(\alpha + \beta) - \text{tg}\alpha - \text{tg}\beta = \text{tg}(\alpha + \beta) \cdot \text{tg}\alpha \cdot \text{tg}\beta $
Тождество доказано.
Ответ: Тождество доказано.
б) Данное тождество является частным случаем тождества из пункта а). Если представить $ 3\alpha $ как сумму $ \alpha + 2\alpha $, то можно применить тот же подход.
Рассмотрим $ \text{tg}(3\alpha) = \text{tg}(\alpha + 2\alpha) $.
По формуле тангенса суммы:
$ \text{tg}(3\alpha) = \frac{\text{tg}\alpha + \text{tg}2\alpha}{1 - \text{tg}\alpha \cdot \text{tg}2\alpha} $
Домножим обе части на знаменатель $ (1 - \text{tg}\alpha \cdot \text{tg}2\alpha) $:
$ \text{tg}(3\alpha) \cdot (1 - \text{tg}\alpha \cdot \text{tg}2\alpha) = \text{tg}\alpha + \text{tg}2\alpha $
Раскроем скобки:
$ \text{tg}(3\alpha) - \text{tg}(3\alpha) \cdot \text{tg}\alpha \cdot \text{tg}2\alpha = \text{tg}\alpha + \text{tg}2\alpha $
Перенесем слагаемые, чтобы привести равенство к требуемому виду:
$ \text{tg}3\alpha - \text{tg}2\alpha - \text{tg}\alpha = \text{tg}\alpha \cdot \text{tg}2\alpha \cdot \text{tg}3\alpha $
Тождество доказано.
Ответ: Тождество доказано.
в) Для доказательства преобразуем левую часть тождества, выразив котангенсы через синусы и косинусы по формуле $ \text{ctg}x = \frac{\cos x}{\sin x} $.
Сначала преобразуем числитель дроби:
$ \text{ctg}(\alpha + \beta) - \text{ctg}\beta = \frac{\cos(\alpha + \beta)}{\sin(\alpha + \beta)} - \frac{\cos\beta}{\sin\beta} = \frac{\cos(\alpha + \beta)\sin\beta - \sin(\alpha + \beta)\cos\beta}{\sin(\alpha + \beta)\sin\beta} $
Числитель полученного выражения представляет собой формулу синуса разности $ \sin(x - y) = \sin x \cos y - \cos x \sin y $, где $ x = \beta $ и $ y = \alpha + \beta $.
Следовательно, числитель равен $ \sin(\beta - (\alpha + \beta)) = \sin(\beta - \alpha - \beta) = \sin(-\alpha) = -\sin\alpha $.
Таким образом, весь числитель исходной дроби равен $ \frac{-\sin\alpha}{\sin(\alpha + \beta)\sin\beta} $.
Теперь преобразуем знаменатель исходной дроби:
$ \text{ctg}(\alpha - \beta) + \text{ctg}\beta = \frac{\cos(\alpha - \beta)}{\sin(\alpha - \beta)} + \frac{\cos\beta}{\sin\beta} = \frac{\cos(\alpha - \beta)\sin\beta + \sin(\alpha - \beta)\cos\beta}{\sin(\alpha - \beta)\sin\beta} $
Числитель этого выражения представляет собой формулу синуса суммы $ \sin(x + y) = \sin x \cos y + \cos x \sin y $, где $ x = \alpha - \beta $ и $ y = \beta $.
Следовательно, числитель равен $ \sin((\alpha - \beta) + \beta) = \sin\alpha $.
Таким образом, весь знаменатель исходной дроби равен $ \frac{\sin\alpha}{\sin(\alpha - \beta)\sin\beta} $.
Теперь разделим преобразованный числитель на преобразованный знаменатель:
$ \frac{\frac{-\sin\alpha}{\sin(\alpha + \beta)\sin\beta}}{\frac{\sin\alpha}{\sin(\alpha - \beta)\sin\beta}} = \frac{-\sin\alpha}{\sin(\alpha + \beta)\sin\beta} \cdot \frac{\sin(\alpha - \beta)\sin\beta}{\sin\alpha} = \frac{-\sin(\alpha - \beta)}{\sin(\alpha + \beta)} $
Используя свойство нечетности синуса $ -\sin x = \sin(-x) $, получаем:
$ \frac{\sin(-(\alpha - \beta))}{\sin(\alpha + \beta)} = \frac{\sin(\beta - \alpha)}{\sin(\alpha + \beta)} $
Так как $ \sin(\alpha + \beta) = \sin(\beta + \alpha) $, левая часть тождества равна правой. Тождество доказано.
Ответ: Тождество доказано.
Другие задания:
Помогло решение? Оставьте отзыв в комментариях ниже.
Присоединяйтесь к Телеграм-группе @top_gdz
ПрисоединитьсяМы подготовили для вас ответ c подробным объяснением домашего задания по алгебре за 9 класс, для упражнения номер 709 расположенного на странице 202 к учебнику 2019 года издания для учащихся школ и гимназий.
Теперь на нашем сайте ГДЗ.ТОП вы всегда легко и бесплатно найдёте условие с правильным ответом на вопрос «Как решить ДЗ» и «Как сделать» задание по алгебре к упражнению №709 (с. 202), авторов: Солтан (Генадий Николаевич), Солтан (Алла Евгеньевна), Жумадилова (Аманбала Жумадиловна), учебного пособия издательства Кокшетау.