Номер 72, страница 25 - гдз по алгебре 9 класс учебник Солтан, Солтан

Авторы: Солтан Г. Н., Солтан А. Е., Жумадилова А. Ж.
Тип: Учебник
Издательство: Кокшетау
Год издания: 2019 - 2025
Цвет обложки:
ISBN: 978-601-317-424-2
Рекомендовано Министерством образования и науки Республики Казахстан
Популярные ГДЗ в 9 классе
1. Нелинейные уравнения с двумя переменными. I. Уравнения, неравенства с двумя переменными и их системы - номер 72, страница 25.
№72 (с. 25)
Условие. №72 (с. 25)
скриншот условия

72. Исследуйте, при каких значениях $x \in \mathbb{R}$ и $y \in \mathbb{R}$ верно равенство:
a) $x^2 + 6x + y^2 - 10y + 34 = 0;$
б) $x^2 + 5y^2 + 4xy + 2y + 1 = 0;$
в) $y^2 - 6y + 9 + x - 4\sqrt{x} + 4 = 0;$
г) $x^2 + 2\sqrt{2}x + y - 2\sqrt{y} + 3 = 0.$
Решение. №72 (с. 25)


Решение 2 (rus). №72 (с. 25)
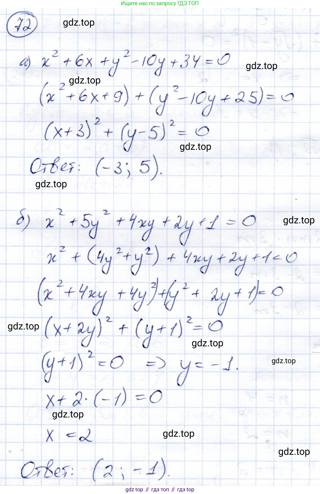
а) $x^2 + 6x + y^2 - 10y + 34 = 0$
Перегруппируем слагаемые, чтобы выделить полные квадраты для переменных $x$ и $y$.
$(x^2 + 6x) + (y^2 - 10y) + 34 = 0$
Дополним выражения в скобках до полных квадратов. Для $(x^2 + 6x)$ нужно добавить $(\frac{6}{2})^2 = 9$. Для $(y^2 - 10y)$ нужно добавить $(\frac{-10}{2})^2 = 25$.
$(x^2 + 6x + 9) - 9 + (y^2 - 10y + 25) - 25 + 34 = 0$
Сворачиваем полные квадраты и упрощаем числовые слагаемые:
$(x + 3)^2 + (y - 5)^2 - 9 - 25 + 34 = 0$
$(x + 3)^2 + (y - 5)^2 = 0$
Выражения $(x + 3)^2$ и $(y - 5)^2$ являются квадратами действительных чисел, поэтому они всегда неотрицательны, то есть $(x + 3)^2 \ge 0$ и $(y - 5)^2 \ge 0$. Сумма двух неотрицательных слагаемых равна нулю только в том случае, если каждое из них равно нулю.
Следовательно, мы получаем систему уравнений:
$\begin{cases} (x+3)^2 = 0 \\ (y-5)^2 = 0 \end{cases}$
Из этой системы находим:
$x + 3 = 0 \Rightarrow x = -3$
$y - 5 = 0 \Rightarrow y = 5$
Ответ: $x = -3, y = 5$.
б) $x^2 + 5y^2 + 4xy + 2y + 1 = 0$
Перегруппируем слагаемые таким образом, чтобы выделить полные квадраты. Заметим член $4xy$, который является удвоенным произведением $x$ и $2y$.
Представим $5y^2$ как $4y^2 + y^2$ и сгруппируем слагаемые:
$(x^2 + 4xy + 4y^2) + (y^2 + 2y + 1) = 0$
Теперь каждое выражение в скобках является полным квадратом:
$(x + 2y)^2 + (y + 1)^2 = 0$
Сумма двух неотрицательных выражений равна нулю, только если каждое из них равно нулю.
Получаем систему уравнений:
$\begin{cases} (y+1)^2 = 0 \\ (x+2y)^2 = 0 \end{cases}$
Из первого уравнения находим $y$:
$y + 1 = 0 \Rightarrow y = -1$
Подставляем значение $y$ во второе уравнение:
$x + 2(-1) = 0 \Rightarrow x - 2 = 0 \Rightarrow x = 2$
Ответ: $x = 2, y = -1$.
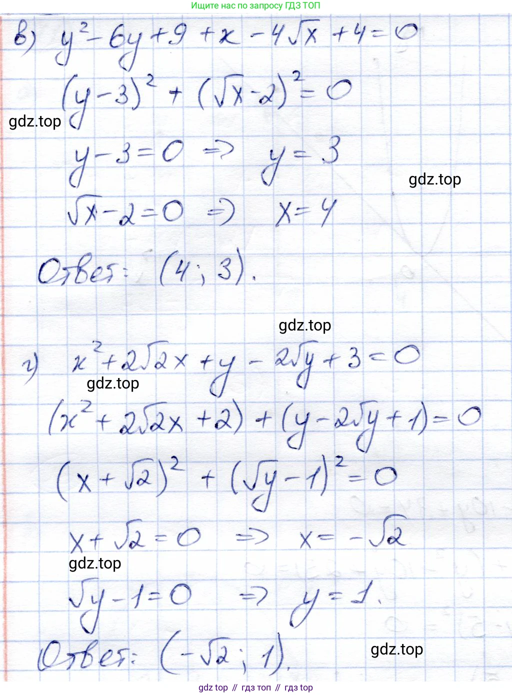
в) $y^2 - 6y + 9 + x - 4\sqrt{x} + 4 = 0$
Заметим, что из-за наличия $\sqrt{x}$ областью допустимых значений для $x$ является $x \ge 0$.
Сгруппируем слагаемые по переменным:
$(y^2 - 6y + 9) + (x - 4\sqrt{x} + 4) = 0$
Каждое из выражений в скобках представляет собой полный квадрат. Первое выражение — это квадрат разности $y$ и $3$. Второе выражение можно рассматривать как квадратный трехчлен относительно $\sqrt{x}$: $(\sqrt{x})^2 - 2 \cdot 2 \cdot \sqrt{x} + 2^2$.
$(y - 3)^2 + (\sqrt{x} - 2)^2 = 0$
Сумма двух квадратов равна нулю, только если оба слагаемых равны нулю.
$\begin{cases} (y-3)^2 = 0 \\ (\sqrt{x}-2)^2 = 0 \end{cases}$
Из системы находим:
$y - 3 = 0 \Rightarrow y = 3$
$\sqrt{x} - 2 = 0 \Rightarrow \sqrt{x} = 2 \Rightarrow x = 4$
Найденное значение $x=4$ удовлетворяет условию $x \ge 0$.
Ответ: $x = 4, y = 3$.
г) $x^2 + 2\sqrt{2}x + y - 2\sqrt{y} + 3 = 0$
Область допустимых значений для $y$ определяется наличием $\sqrt{y}$, то есть $y \ge 0$.
Перегруппируем слагаемые и выделим полные квадраты. Представим $3$ как $2+1$.
$(x^2 + 2\sqrt{2}x + 2) + (y - 2\sqrt{y} + 1) = 0$
Первое выражение в скобках — это полный квадрат $(x + \sqrt{2})^2$.
Второе выражение в скобках — это полный квадрат $(\sqrt{y} - 1)^2$.
Уравнение принимает вид:
$(x + \sqrt{2})^2 + (\sqrt{y} - 1)^2 = 0$
Сумма двух неотрицательных слагаемых равна нулю, только если каждое из них равно нулю.
$\begin{cases} (x+\sqrt{2})^2 = 0 \\ (\sqrt{y}-1)^2 = 0 \end{cases}$
Решаем систему:
$x + \sqrt{2} = 0 \Rightarrow x = -\sqrt{2}$
$\sqrt{y} - 1 = 0 \Rightarrow \sqrt{y} = 1 \Rightarrow y = 1$
Найденное значение $y=1$ удовлетворяет условию $y \ge 0$.
Ответ: $x = -\sqrt{2}, y = 1$.
Другие задания:
Помогло решение? Оставьте отзыв в комментариях ниже.
Присоединяйтесь к Телеграм-группе @top_gdz
ПрисоединитьсяМы подготовили для вас ответ c подробным объяснением домашего задания по алгебре за 9 класс, для упражнения номер 72 расположенного на странице 25 к учебнику 2019 года издания для учащихся школ и гимназий.
Теперь на нашем сайте ГДЗ.ТОП вы всегда легко и бесплатно найдёте условие с правильным ответом на вопрос «Как решить ДЗ» и «Как сделать» задание по алгебре к упражнению №72 (с. 25), авторов: Солтан (Генадий Николаевич), Солтан (Алла Евгеньевна), Жумадилова (Аманбала Жумадиловна), учебного пособия издательства Кокшетау.