Номер 727, страница 208 - гдз по алгебре 9 класс учебник Солтан, Солтан

Авторы: Солтан Г. Н., Солтан А. Е., Жумадилова А. Ж.
Тип: Учебник
Издательство: Кокшетау
Год издания: 2019 - 2025
Цвет обложки:
ISBN: 978-601-317-424-2
Рекомендовано Министерством образования и науки Республики Казахстан
Популярные ГДЗ в 9 классе
27. Формулы тригонометрических функций двойного и половинного углов. IV. Тригонометрия - номер 727, страница 208.
№727 (с. 208)
Условие. №727 (с. 208)
скриншот условия

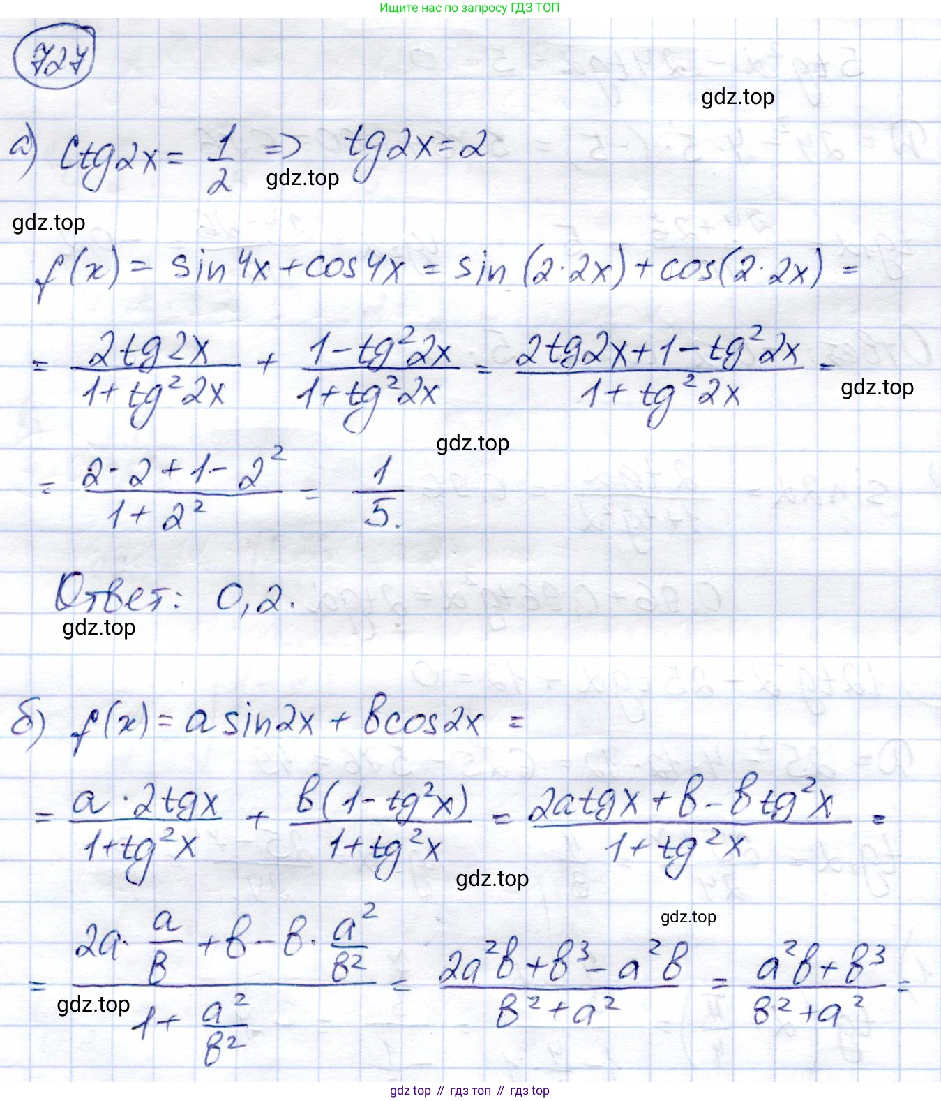
727. Вычислите значение функции:
a) $f(x) = \sin 4x + \cos 4x$, если $\operatorname{ctg} 2x = \frac{1}{2}$, $\frac{\pi}{8} < x < \frac{\pi}{4}$;
б) $f(x) = a \sin 2x + b \cos 2x$, если $\operatorname{tg} x = \frac{a}{b}$.
Решение. №727 (с. 208)


Решение 2 (rus). №727 (с. 208)
а) Нам нужно вычислить значение функции $f(x) = \sin 4x + \cos 4x$, зная, что $\text{ctg } 2x = \frac{1}{2}$ и $\frac{\pi}{8} < x < \frac{\pi}{4}$.
Аргумент функции $f(x)$ равен $4x$, а в условии дан котангенс угла $2x$. Мы можем использовать формулы двойного угла, чтобы выразить $\sin 4x$ и $\cos 4x$ через тригонометрические функции угла $2x$. В частности, удобно использовать формулы выражения синуса и косинуса через тангенс половинного угла:
$\sin(2\alpha) = \frac{2 \text{ tg } \alpha}{1 + \text{tg}^2 \alpha}$
$\cos(2\alpha) = \frac{1 - \text{tg}^2 \alpha}{1 + \text{tg}^2 \alpha}$
В нашем случае $\alpha = 2x$. Сначала найдем $\text{tg } 2x$:
$\text{tg } 2x = \frac{1}{\text{ctg } 2x} = \frac{1}{1/2} = 2$.
Теперь подставим значение $\text{tg } 2x$ в формулы для $\sin 4x$ и $\cos 4x$:
$\sin 4x = \frac{2 \text{ tg } 2x}{1 + \text{tg}^2 2x} = \frac{2 \cdot 2}{1 + 2^2} = \frac{4}{1 + 4} = \frac{4}{5}$.
$\cos 4x = \frac{1 - \text{tg}^2 2x}{1 + \text{tg}^2 2x} = \frac{1 - 2^2}{1 + 2^2} = \frac{1 - 4}{1 + 4} = -\frac{3}{5}$.
Наконец, вычислим значение функции $f(x)$:
$f(x) = \sin 4x + \cos 4x = \frac{4}{5} + \left(-\frac{3}{5}\right) = \frac{4-3}{5} = \frac{1}{5}$.
Условие $\frac{\pi}{8} < x < \frac{\pi}{4}$ можно использовать для проверки. Если умножить неравенство на 2, получим $\frac{\pi}{4} < 2x < \frac{\pi}{2}$. Это первая четверть, где тангенс положителен, что соответствует нашему значению $\text{tg } 2x = 2$.
Ответ: $\frac{1}{5}$.
б) Нам нужно вычислить значение функции $f(x) = a \sin 2x + b \cos 2x$, зная, что $\text{tg } x = \frac{a}{b}$.
Как и в предыдущем пункте, воспользуемся формулами двойного угла, выражающими синус и косинус через тангенс. Здесь $\alpha=x$.
$\sin 2x = \frac{2 \text{ tg } x}{1 + \text{tg}^2 x}$
$\cos 2x = \frac{1 - \text{tg}^2 x}{1 + \text{tg}^2 x}$
Подставим в эти формулы данное значение $\text{tg } x = \frac{a}{b}$ (предполагая, что $b \neq 0$):
$\sin 2x = \frac{2 \cdot \frac{a}{b}}{1 + \left(\frac{a}{b}\right)^2} = \frac{\frac{2a}{b}}{1 + \frac{a^2}{b^2}} = \frac{\frac{2a}{b}}{\frac{b^2+a^2}{b^2}} = \frac{2a}{b} \cdot \frac{b^2}{a^2+b^2} = \frac{2ab}{a^2+b^2}$.
$\cos 2x = \frac{1 - \left(\frac{a}{b}\right)^2}{1 + \left(\frac{a}{b}\right)^2} = \frac{1 - \frac{a^2}{b^2}}{1 + \frac{a^2}{b^2}} = \frac{\frac{b^2-a^2}{b^2}}{\frac{b^2+a^2}{b^2}} = \frac{b^2-a^2}{a^2+b^2}$.
Теперь подставим полученные выражения для $\sin 2x$ и $\cos 2x$ в исходную функцию:
$f(x) = a \sin 2x + b \cos 2x = a \left(\frac{2ab}{a^2+b^2}\right) + b \left(\frac{b^2-a^2}{a^2+b^2}\right)$.
Приведем к общему знаменателю:
$f(x) = \frac{a \cdot 2ab + b(b^2-a^2)}{a^2+b^2} = \frac{2a^2b + b^3 - a^2b}{a^2+b^2} = \frac{a^2b + b^3}{a^2+b^2}$.
Вынесем $b$ в числителе за скобки:
$f(x) = \frac{b(a^2 + b^2)}{a^2+b^2}$.
Сократим дробь на $(a^2+b^2)$, так как $a^2+b^2 \neq 0$ (если $a$ и $b$ не равны нулю одновременно, в этом случае задача не имеет смысла).
$f(x) = b$.
Если $b=0$, то $\text{tg } x$ не определен, что обычно означает $x = \frac{\pi}{2} + k\pi$. Тогда $\sin 2x = 0$, $\cos 2x = -1$. Функция $f(x) = a \cdot 0 + 0 \cdot (-1) = 0$. Наш ответ $f(x)=b$ также дает 0, так что формула верна и в этом случае.
Ответ: $b$.
Другие задания:
Помогло решение? Оставьте отзыв в комментариях ниже.
Присоединяйтесь к Телеграм-группе @top_gdz
ПрисоединитьсяМы подготовили для вас ответ c подробным объяснением домашего задания по алгебре за 9 класс, для упражнения номер 727 расположенного на странице 208 к учебнику 2019 года издания для учащихся школ и гимназий.
Теперь на нашем сайте ГДЗ.ТОП вы всегда легко и бесплатно найдёте условие с правильным ответом на вопрос «Как решить ДЗ» и «Как сделать» задание по алгебре к упражнению №727 (с. 208), авторов: Солтан (Генадий Николаевич), Солтан (Алла Евгеньевна), Жумадилова (Аманбала Жумадиловна), учебного пособия издательства Кокшетау.